SEC Update: Week 8
December 29, 2025The SEC enters Week 8 with teams showing diverse trending patterns. This analysis examines each team’s performance trends using MACD (Moving Average Convergence Divergence) indicators to identify not just where teams stand, but where they’re headed.

Figure 1: Efficiency margin trends for SEC teams throughout the season. Teams trending upward show improving performance, while downward trends indicate struggles.
Conference Snapshot
- Week Dates: December 22 – December 28, 2025
- Trending Up (Efficiency): Arkansas, Florida, Georgia, Kentucky, LSU
- Trending Down (Efficiency): Alabama, Auburn, Missouri, Ole Miss
Team-by-Team Analysis
Alabama
Record: 9-3 | Elo: 1724.7 (ranked 9 of 365) | Efficiency Margin: +25.44 (ranked 26 of 365)
Offensive Trends:
- Turnovers (Turnovers): Currently ranked 21 of 365 in D1. Trending down strongly 🟢.
- FG Pct (Field Goal Percentage (FGM/FGA)): Currently ranked 99 of 365 in D1. Trending down strongly 🔴.
Defensive Trends:
- Opp Turnovers (Opp Turnovers): Currently ranked 323 of 365 in D1. Trending up strongly 🔴.
- Def Reb Pct (Defensive Rebounding): Currently ranked 259 of 365 in D1. Trending down strongly 🔴.
Arkansas
Record: 9-3 | Elo: 1629.1 (ranked 47 of 365) | Efficiency Margin: +21.27 (ranked 34 of 365)
Offensive Trends:
- Shooting (Shooting): Currently ranked 52 of 365 in D1. Trending up strongly 🟢.
- Off Reb Pct (Offensive Rebounding): Currently ranked 117 of 365 in D1. Trending up strongly 🟢.
Defensive Trends:
- Opp Shooting (Opp Shooting): Currently ranked 79 of 365 in D1. Trending up strongly 🔴.
- Opp FGM Per Poss (Opp FG Makes Per Possession (%)): Currently ranked 180 of 365 in D1. Trending up strongly 🔴.
Auburn
Record: 8-4 | Elo: 1723.8 (ranked 10 of 365) | Efficiency Margin: +14.78 (ranked 60 of 365)
Offensive Trends:
- Turnovers (Turnovers): Currently ranked 114 of 365 in D1. Trending up strongly 🔴.
- FT Rate (FTA/FGA (%)): Currently ranked 31 of 365 in D1. Trending up strongly 🟢.
Defensive Trends:
- Opp Shooting (Opp Shooting): Currently ranked 184 of 365 in D1. Trending up strongly 🔴.
- Opp FT Rate (Opp FTA/FGA (%)): Currently ranked 40 of 365 in D1. Trending down strongly 🟢.
Florida
Record: 8-4 | Elo: 1727.1 (ranked 8 of 365) | Efficiency Margin: +28.20 (ranked 20 of 365)
Offensive Trends:
- Off Reb Pct (Offensive Rebounding): Currently ranked 3 of 365 in D1. Trending up strongly 🟢.
- Adj Off Eff (Adjusted Offensive Efficiency): Currently ranked 39 of 365 in D1. Trending down strongly 🔴.
Defensive Trends:
- Def Reb Pct (Defensive Rebounding): Currently ranked 4 of 365 in D1. Trending up strongly 🟢.
- Opp FT Rate (Opp FTA/FGA (%)): Currently ranked 137 of 365 in D1. Trending down strongly 🟢.
Georgia
Record: 11-1 | Elo: 1617.0 (ranked 56 of 365) | Efficiency Margin: +31.93 (ranked 13 of 365)
Offensive Trends:
- Shooting (Shooting): Currently ranked 44 of 365 in D1. Trending up strongly 🟢.
- Off Reb Pct (Offensive Rebounding): Currently ranked 17 of 365 in D1. Trending up strongly 🟢.
Defensive Trends:
- Def Reb Pct (Defensive Rebounding): Currently ranked 151 of 365 in D1. Trending up strongly 🟢.
- Opp 2Pt Rate (Opp 2 Point Attempts/FGA (%)): Currently ranked 292 of 365 in D1. Trending up strongly 🔴.
Kentucky
Record: 9-4 | Elo: 1641.9 (ranked 36 of 365) | Efficiency Margin: +27.26 (ranked 21 of 365)
Offensive Trends:
- Off Reb Pct (Offensive Rebounding): Currently ranked 48 of 365 in D1. Trending up strongly 🟢.
- FTM Per Poss (Free Throw Makes Per Possession (%)): Currently ranked 143 of 365 in D1. Trending up strongly 🟢.
Defensive Trends:
- Opp Turnovers (Opp Turnovers): Currently ranked 218 of 365 in D1. Trending up strongly 🔴.
- Opp FT Rate (Opp FTA/FGA (%)): Currently ranked 159 of 365 in D1. Trending up strongly 🔴.
LSU
Record: 11-1 | Elo: 1566.0 (ranked 102 of 365) | Efficiency Margin: +14.51 (ranked 62 of 365)
Offensive Trends:
- Shooting (Shooting): Currently ranked 19 of 365 in D1. Trending up strongly 🟢.
- Turnovers (Turnovers): Currently ranked 93 of 365 in D1. Trending down strongly 🟢.
Defensive Trends:
- Def Reb Pct (Defensive Rebounding): Currently ranked 84 of 365 in D1. Trending up strongly 🟢.
- Opp 2PA Per Poss (Opp 2 Point Attempts Per Possession (%)): Currently ranked 246 of 365 in D1. Trending down strongly 🟢.
Miss St
Record: 7-5 | Elo: 1585.1 (ranked 86 of 365) | Efficiency Margin: +3.39 (ranked 134 of 365)
Offensive Trends:
- Off Reb Pct (Offensive Rebounding): Currently ranked 215 of 365 in D1. Trending down strongly 🔴.
- Adj Off Eff (Adjusted Offensive Efficiency): Currently ranked 135 of 365 in D1. Trending down strongly 🔴.
Defensive Trends:
- Opp FT Rate (Opp FTA/FGA (%)): Currently ranked 33 of 365 in D1. Trending down strongly 🟢.
- Opp FGA Per Poss (Opp FG Attempts Per Possession (%)): Currently ranked 356 of 365 in D1. Trending up strongly 🔴.
Missouri
Record: 10-3 | Elo: 1575.2 (ranked 94 of 365) | Efficiency Margin: +8.48 (ranked 103 of 365)
Offensive Trends:
- FT Rate (FTA/FGA (%)): Currently ranked 107 of 365 in D1. Trending down strongly 🔴.
- FTM Per Poss (Free Throw Makes Per Possession (%)): Currently ranked 164 of 365 in D1. Trending down strongly 🔴.
Defensive Trends:
- Opp 2Pt Rate (Opp 2 Point Attempts/FGA (%)): Currently ranked 25 of 365 in D1. Trending down strongly 🟢.
- Opp 2PM Per Poss (Opp 2 Point Makes Per Possession (%)): Currently ranked 7 of 365 in D1. Trending down strongly 🟢.
Oklahoma
Record: 9-3 | Elo: 1597.3 (ranked 72 of 365) | Efficiency Margin: +18.62 (ranked 44 of 365)
Offensive Trends:
- Shooting (Shooting): Currently ranked 55 of 365 in D1. Trending up strongly 🟢.
- Turnovers (Turnovers): Currently ranked 8 of 365 in D1. Trending down strongly 🟢.
Defensive Trends:
- Opp Shooting (Opp Shooting): Currently ranked 90 of 365 in D1. Trending down strongly 🟢.
- Opp FGM Per Poss (Opp FG Makes Per Possession (%)): Currently ranked 128 of 365 in D1. Trending down strongly 🟢.
Ole Miss
Record: 7-5 | Elo: 1585.8 (ranked 84 of 365) | Efficiency Margin: +9.05 (ranked 97 of 365)
Offensive Trends:
- Turnovers (Turnovers): Currently ranked 84 of 365 in D1. Trending up strongly 🔴.
- FGA Per Poss (Field Goal Attempts Per Possession (%)): Currently ranked 242 of 365 in D1. Trending down strongly 🔴.
Defensive Trends:
- Opp FT Pct (Opp FTM/FTA (%)): Currently ranked 51 of 365 in D1. Trending down strongly 🟢.
- Opp Turnovers (Opp Turnovers): Currently ranked 84 of 365 in D1. Trending up moderately 🔴.
South Carolina
Record: 8-4 | Elo: 1512.0 (ranked 168 of 365) | Efficiency Margin: +9.92 (ranked 91 of 365)
Offensive Trends:
- Shooting (Shooting): Currently ranked 112 of 365 in D1. Trending up strongly 🟢.
- Off Reb Pct (Offensive Rebounding): Currently ranked 144 of 365 in D1. Trending up strongly 🟢.
Defensive Trends:
- Opp Shooting (Opp Shooting): Currently ranked 44 of 365 in D1. Trending down strongly 🟢.
- Opp FGM Per Poss (Opp FG Makes Per Possession (%)): Currently ranked 127 of 365 in D1. Trending down strongly 🟢.
Tennessee
Record: 9-3 | Elo: 1704.8 (ranked 15 of 365) | Efficiency Margin: +29.57 (ranked 17 of 365)
Offensive Trends:
- Off Reb Pct (Offensive Rebounding): Currently ranked 1 of 365 in D1. Trending up strongly 🟢.
- FGM Per Poss (Field Goal Makes Per Possession (%)): Currently ranked 39 of 365 in D1. Trending up strongly 🟢.
Defensive Trends:
- Def Reb Pct (Defensive Rebounding): Currently ranked 45 of 365 in D1. Trending up strongly 🟢.
- Opp 2PA Per Poss (Opp 2 Point Attempts Per Possession (%)): Currently ranked 56 of 365 in D1. Trending down strongly 🟢.
Texas
Record: 8-4 | Elo: 1576.4 (ranked 90 of 365) | Efficiency Margin: +19.54 (ranked 41 of 365)
Offensive Trends:
- Shooting (Shooting): Currently ranked 73 of 365 in D1. Trending up strongly 🟢.
- Off Reb Pct (Offensive Rebounding): Currently ranked 15 of 365 in D1. Trending up strongly 🟢.
Defensive Trends:
- Def Reb Pct (Defensive Rebounding): Currently ranked 19 of 365 in D1. Trending up strongly 🟢.
- Opp 2Pt Rate (Opp 2 Point Attempts/FGA (%)): Currently ranked 346 of 365 in D1. Trending up strongly 🔴.
Texas A&M
Record: 9-3 | Elo: 1637.0 (ranked 40 of 365) | Efficiency Margin: +14.47 (ranked 63 of 365)
Offensive Trends:
- Shooting (Shooting): Currently ranked 27 of 365 in D1. Trending up strongly 🟢.
- Adj Off Eff (Adjusted Offensive Efficiency): Currently ranked 45 of 365 in D1. Trending up strongly 🟢.
Defensive Trends:
- Opp 3PM Per Poss (Opp 3 Point Makes Per Possession (%)): Currently ranked 240 of 365 in D1. Trending down strongly 🟢.
- Opp 3Pt Pct (Opp 3 Point FGM/FGA (%)): Currently ranked 257 of 365 in D1. Trending down strongly 🟢.
Vanderbilt
Record: 12-0 | Elo: 1649.7 (ranked 29 of 365) | Efficiency Margin: +30.40 (ranked 15 of 365)
Offensive Trends:
- Shooting (Shooting): Currently ranked 10 of 365 in D1. Trending up strongly 🟢.
- Off Reb Pct (Offensive Rebounding): Currently ranked 158 of 365 in D1. Trending down strongly 🔴.
Defensive Trends:
- Opp Shooting (Opp Shooting): Currently ranked 19 of 365 in D1. Trending down strongly 🟢.
- Opp FT Rate (Opp FTA/FGA (%)): Currently ranked 335 of 365 in D1. Trending up strongly 🔴.

Figure 2: Offensive Four Factors comparison across SEC teams. The radar chart shows each team’s shooting efficiency (eFG%), ball security (TOV%), offensive rebounding (OREB%), and free throw generation (FT Rate).

Figure 3: Defensive Four Factors comparison across SEC teams. The radar chart shows each team’s opponent shooting defense (Opp eFG%), ball disruption (forcing TOV%), defensive rebounding (DREB%), and opponent free throw prevention (Opp FT Rate).

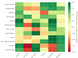
Figure 4: MACD trends heatmap showing which metrics are improving (green) or declining (red) for each team. Stronger colors indicate more pronounced trends.
Looking Ahead
As SEC teams continue their season, the MACD trending indicators will help identify which teams are genuinely improving versus those riding unsustainable momentum. Check back next week for updated analysis.
Metrics Glossary
Four Factors (Dean Oliver’s framework for basketball success):
- eFG% (Effective Field Goal %): Field goal percentage adjusted for 3-pointers being worth more (FGM + 0.5×3PM) / FGA. Higher is better offensively, lower is better defensively.
- TOV% (Turnover Rate): Turnovers per 100 possessions. Lower is better offensively (taking care of the ball), higher is better defensively (forcing turnovers).
- OREB% / DREB% (Offensive/Defensive Rebound Rate): Percentage of available rebounds grabbed. Offensive rebounds create second-chance points; defensive rebounds end opponent possessions.
- FTR (Free Throw Rate): Free throws made per field goal attempt (FTM/FGA). Measures ability to get to the line AND convert. Higher is better offensively, lower is better defensively.
Other Metrics:
- Elo Rating: Chess-style rating system that updates based on game results and opponent strength. Higher Elo indicates stronger team.
- Efficiency Margin: Point differential per 100 possessions (Offensive Efficiency – Defensive Efficiency). Accounts for pace of play.
- MACD (Moving Average Convergence Divergence): Trend indicator comparing 12-game and 26-game exponential moving averages. Positive MACD = improving trend, Negative MACD = declining trend.
Analysis powered by HoopSci’s advanced metrics and MACD trending indicators.

