Summit League Update: Week 8
December 29, 2025The Summit League enters Week 8 with teams showing diverse trending patterns. This analysis examines each team’s performance trends using MACD (Moving Average Convergence Divergence) indicators to identify not just where teams stand, but where they’re headed.

Figure 1: Efficiency margin trends for Summit League teams throughout the season. Teams trending upward show improving performance, while downward trends indicate struggles.
Conference Snapshot
- Week Dates: December 22 – December 28, 2025
- Trending Up (Efficiency): Denver, South Dakota, South Dakota St, St. Thomas – Minnesota
- Trending Down (Efficiency): North Dakota, North Dakota St, Omaha, Oral Roberts, UM Kansas City
Team-by-Team Analysis
Denver
Record: 7-8 | Elo: 1409.1 (ranked 303 of 365) | Efficiency Margin: -15.84 (ranked 286 of 365)
Offensive Trends:
- Shooting (Shooting): Currently ranked 135 of 365 in D1. Trending up strongly 🟢.
- Off Reb Pct (Offensive Rebounding): Currently ranked 204 of 365 in D1. Trending up strongly 🟢.
Defensive Trends:
- Opp Turnovers (Opp Turnovers): Currently ranked 307 of 365 in D1. Trending down strongly 🟢.
- Def Reb Pct (Defensive Rebounding): Currently ranked 342 of 365 in D1. Trending down strongly 🔴.
North Dakota
Record: 6-10 | Elo: 1393.9 (ranked 316 of 365) | Efficiency Margin: -20.55 (ranked 324 of 365)
Offensive Trends:
- Off Reb Pct (Offensive Rebounding): Currently ranked 310 of 365 in D1. Trending up strongly 🟢.
- Adj Off Eff (Adjusted Offensive Efficiency): Currently ranked 323 of 365 in D1. Trending down strongly 🔴.
Defensive Trends:
- Def Reb Pct (Defensive Rebounding): Currently ranked 267 of 365 in D1. Trending down strongly 🔴.
- Opp FT Rate (Opp FTA/FGA (%)): Currently ranked 340 of 365 in D1. Trending up strongly 🔴.
North Dakota St
Record: 10-5 | Elo: 1550.3 (ranked 113 of 365) | Efficiency Margin: +0.75 (ranked 156 of 365)
Offensive Trends:
- Turnovers (Turnovers): Currently ranked 173 of 365 in D1. Trending up strongly 🔴.
- Off Reb Pct (Offensive Rebounding): Currently ranked 95 of 365 in D1. Trending up strongly 🟢.
Defensive Trends:
- Opp Turnovers (Opp Turnovers): Currently ranked 44 of 365 in D1. Trending up strongly 🔴.
- Opp FT Rate (Opp FTA/FGA (%)): Currently ranked 119 of 365 in D1. Trending up strongly 🔴.
Omaha
Record: 4-8 | Elo: 1489.9 (ranked 198 of 365) | Efficiency Margin: -14.06 (ranked 274 of 365)
Offensive Trends:
- Shooting (Shooting): Currently ranked 179 of 365 in D1. Trending down strongly 🔴.
- FGM Per Poss (Field Goal Makes Per Possession (%)): Currently ranked 262 of 365 in D1. Trending down strongly 🔴.
Defensive Trends:
- Def Reb Pct (Defensive Rebounding): Currently ranked 225 of 365 in D1. Trending down strongly 🔴.
- Opp FT Rate (Opp FTA/FGA (%)): Currently ranked 143 of 365 in D1. Trending down strongly 🟢.
Oral Roberts
Record: 5-10 | Elo: 1358.1 (ranked 349 of 365) | Efficiency Margin: -18.24 (ranked 312 of 365)
Offensive Trends:
- Shooting (Shooting): Currently ranked 268 of 365 in D1. Trending down strongly 🔴.
- Turnovers (Turnovers): Currently ranked 313 of 365 in D1. Trending up strongly 🔴.
Defensive Trends:
- Opp Turnovers (Opp Turnovers): Currently ranked 181 of 365 in D1. Trending up strongly 🔴.
- Def Reb Pct (Defensive Rebounding): Currently ranked 346 of 365 in D1. Trending down strongly 🔴.
South Dakota
Record: 7-7 | Elo: 1453.3 (ranked 249 of 365) | Efficiency Margin: -14.57 (ranked 275 of 365)
Offensive Trends:
- Turnovers (Turnovers): Currently ranked 259 of 365 in D1. Trending up strongly 🔴.
- Off Reb Pct (Offensive Rebounding): Currently ranked 83 of 365 in D1. Trending up strongly 🟢.
Defensive Trends:
- Opp Shooting (Opp Shooting): Currently ranked 315 of 365 in D1. Trending up strongly 🔴.
- Opp FGM Per Poss (Opp FG Makes Per Possession (%)): Currently ranked 344 of 365 in D1. Trending up strongly 🔴.
South Dakota St
Record: 7-7 | Elo: 1520.3 (ranked 154 of 365) | Efficiency Margin: -1.31 (ranked 178 of 365)
Offensive Trends:
- Turnovers (Turnovers): Currently ranked 223 of 365 in D1. Trending down strongly 🟢.
- 3PM Per Poss (3 Point Makes Per Possession (%)): Currently ranked 140 of 365 in D1. Trending up strongly 🟢.
Defensive Trends:
- Def Reb Pct (Defensive Rebounding): Currently ranked 69 of 365 in D1. Trending down strongly 🔴.
- Opp FGM Per Poss (Opp FG Makes Per Possession (%)): Currently ranked 113 of 365 in D1. Trending up strongly 🔴.
St. Thomas – Minnesota
Record: 11-4 | Elo: 1569.9 (ranked 98 of 365) | Efficiency Margin: +2.97 (ranked 137 of 365)
Offensive Trends:
- Shooting (Shooting): Currently ranked 33 of 365 in D1. Trending up strongly 🟢.
- Off Reb Pct (Offensive Rebounding): Currently ranked 365 of 365 in D1. Trending up strongly 🟢.
Defensive Trends:
- Opp 2Pt Rate (Opp 2 Point Attempts/FGA (%)): Currently ranked 144 of 365 in D1. Trending up strongly 🔴.
- Opp 3Pt Rate (Opp 3 Point Attempts/FGA (%)): Currently ranked 222 of 365 in D1. Trending down strongly 🟢.
UM Kansas City
Record: 2-11 | Elo: 1353.4 (ranked 351 of 365) | Efficiency Margin: -22.25 (ranked 331 of 365)
Offensive Trends:
- Off Reb Pct (Offensive Rebounding): Currently ranked 248 of 365 in D1. Trending up strongly 🟢.
- FT Rate (FTA/FGA (%)): Currently ranked 248 of 365 in D1. Trending up strongly 🟢.
Defensive Trends:
- Opp Shooting (Opp Shooting): Currently ranked 299 of 365 in D1. Trending up strongly 🔴.
- Def Reb Pct (Defensive Rebounding): Currently ranked 349 of 365 in D1. Trending down strongly 🔴.

Figure 2: Offensive Four Factors comparison across Summit League teams. The radar chart shows each team’s shooting efficiency (eFG%), ball security (TOV%), offensive rebounding (OREB%), and free throw generation (FT Rate).

Figure 3: Defensive Four Factors comparison across Summit League teams. The radar chart shows each team’s opponent shooting defense (Opp eFG%), ball disruption (forcing TOV%), defensive rebounding (DREB%), and opponent free throw prevention (Opp FT Rate).

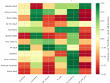
Figure 4: MACD trends heatmap showing which metrics are improving (green) or declining (red) for each team. Stronger colors indicate more pronounced trends.
Looking Ahead
As Summit League teams continue their season, the MACD trending indicators will help identify which teams are genuinely improving versus those riding unsustainable momentum. Check back next week for updated analysis.
Metrics Glossary
Four Factors (Dean Oliver’s framework for basketball success):
- eFG% (Effective Field Goal %): Field goal percentage adjusted for 3-pointers being worth more (FGM + 0.5×3PM) / FGA. Higher is better offensively, lower is better defensively.
- TOV% (Turnover Rate): Turnovers per 100 possessions. Lower is better offensively (taking care of the ball), higher is better defensively (forcing turnovers).
- OREB% / DREB% (Offensive/Defensive Rebound Rate): Percentage of available rebounds grabbed. Offensive rebounds create second-chance points; defensive rebounds end opponent possessions.
- FTR (Free Throw Rate): Free throws made per field goal attempt (FTM/FGA). Measures ability to get to the line AND convert. Higher is better offensively, lower is better defensively.
Other Metrics:
- Elo Rating: Chess-style rating system that updates based on game results and opponent strength. Higher Elo indicates stronger team.
- Efficiency Margin: Point differential per 100 possessions (Offensive Efficiency – Defensive Efficiency). Accounts for pace of play.
- MACD (Moving Average Convergence Divergence): Trend indicator comparing 12-game and 26-game exponential moving averages. Positive MACD = improving trend, Negative MACD = declining trend.
Analysis powered by HoopSci’s advanced metrics and MACD trending indicators.

