ACC Update: Week 9
January 5, 2026The ACC enters Week 9 with teams showing diverse trending patterns. This analysis examines each team’s performance trends using MACD (Moving Average Convergence Divergence) indicators to identify not just where teams stand, but where they’re headed.

Figure 1: Efficiency margin trends for ACC teams throughout the season. Teams trending upward show improving performance, while downward trends indicate struggles.
Conference Snapshot
- Week Dates: December 29 – January 04, 2026
- Trending Up (Efficiency): Clemson, Florida State, Georgia Tech, Louisville, Miami
- Trending Down (Efficiency): Boston College, Duke, Notre Dame, Syracuse, Wake Forest
Team-by-Team Analysis
Boston College
Record: 7-7 | Elo: 1461.5 (ranked 238 of 365) | Efficiency Margin: +1.13 (ranked 151 of 365)
Offensive Trends:
- Shooting (Shooting): Currently ranked 330 of 365 in D1. Trending down strongly 🔴.
- FT Rate (FTA/FGA (%)): Currently ranked 181 of 365 in D1. Trending up strongly 🟢.
Defensive Trends:
- Opp Shooting (Opp Shooting): Currently ranked 11 of 365 in D1. Trending down strongly 🟢.
- Opp FGM Per Poss (Opp FG Makes Per Possession (%)): Currently ranked 57 of 365 in D1. Trending down strongly 🟢.
Cal
Record: 13-2 | Elo: 1524.5 (ranked 149 of 365) | Efficiency Margin: +16.36 (ranked 54 of 365)
Offensive Trends:
- Turnovers (Turnovers): Currently ranked 21 of 365 in D1. Trending down strongly 🟢.
- Off Reb Pct (Offensive Rebounding): Currently ranked 284 of 365 in D1. Trending down strongly 🔴.
Defensive Trends:
- Opp FG Pct (%) (Opp FGM/FGA (%)): Currently ranked 46 of 365 in D1. Trending down strongly 🟢.
- Opp 2Pt Rate (Opp 2 Point Attempts/FGA (%)): Currently ranked 196 of 365 in D1. Trending down strongly 🟢.
Clemson
Record: 12-3 | Elo: 1692.1 (ranked 18 of 365) | Efficiency Margin: +23.91 (ranked 29 of 365)
Offensive Trends:
- Off Reb Pct (Offensive Rebounding): Currently ranked 167 of 365 in D1. Trending down strongly 🔴.
- FT Rate (FTA/FGA (%)): Currently ranked 108 of 365 in D1. Trending up strongly 🟢.
Defensive Trends:
- Def Reb Pct (Defensive Rebounding): Currently ranked 30 of 365 in D1. Trending up strongly 🟢.
- Opp FT Rate (Opp FTA/FGA (%)): Currently ranked 164 of 365 in D1. Trending up strongly 🔴.
Duke
Record: 13-1 | Elo: 1787.0 (ranked 2 of 365) | Efficiency Margin: +39.51 (ranked 3 of 365)
Offensive Trends:
- Turnovers (Turnovers): Currently ranked 160 of 365 in D1. Trending up strongly 🔴.
- Off Reb Pct (Offensive Rebounding): Currently ranked 23 of 365 in D1. Trending up strongly 🟢.
Defensive Trends:
- Opp Shooting (Opp Shooting): Currently ranked 25 of 365 in D1. Trending up strongly 🔴.
- Opp FGM Per Poss (Opp FG Makes Per Possession (%)): Currently ranked 28 of 365 in D1. Trending up strongly 🔴.
Florida State
Record: 7-8 | Elo: 1505.7 (ranked 183 of 365) | Efficiency Margin: +5.73 (ranked 121 of 365)
Offensive Trends:
- Off Reb Pct (Offensive Rebounding): Currently ranked 75 of 365 in D1. Trending up strongly 🟢.
- FGA Per Poss (Field Goal Attempts Per Possession (%)): Currently ranked 53 of 365 in D1. Trending up strongly 🟢.
Defensive Trends:
- Opp 2Pt Rate (Opp 2 Point Attempts/FGA (%)): Currently ranked 100 of 365 in D1. Trending down strongly 🟢.
- Opp 2Pt Pct (Opp 2 Point FGM/FGA (%)): Currently ranked 238 of 365 in D1. Trending up strongly 🔴.
Georgia Tech
Record: 10-5 | Elo: 1530.5 (ranked 141 of 365) | Efficiency Margin: +3.58 (ranked 135 of 365)
Offensive Trends:
- Shooting (Shooting): Currently ranked 167 of 365 in D1. Trending up strongly 🟢.
- FT Rate (FTA/FGA (%)): Currently ranked 187 of 365 in D1. Trending up strongly 🟢.
Defensive Trends:
- Opp Shooting (Opp Shooting): Currently ranked 23 of 365 in D1. Trending down strongly 🟢.
- Opp FG Pct (%) (Opp FGM/FGA (%)): Currently ranked 18 of 365 in D1. Trending down strongly 🟢.
Louisville
Record: 11-3 | Elo: 1641.4 (ranked 37 of 365) | Efficiency Margin: +36.26 (ranked 6 of 365)
Offensive Trends:
- Off Reb Pct (Offensive Rebounding): Currently ranked 26 of 365 in D1. Trending up strongly 🟢.
- Adj Off Eff (Adjusted Offensive Efficiency): Currently ranked 7 of 365 in D1. Trending up strongly 🟢.
Defensive Trends:
- Opp Turnovers (Opp Turnovers): Currently ranked 134 of 365 in D1. Trending down strongly 🟢.
- Opp FT Rate (Opp FTA/FGA (%)): Currently ranked 155 of 365 in D1. Trending up strongly 🔴.
Miami
Record: 12-2 | Elo: 1519.2 (ranked 153 of 365) | Efficiency Margin: +23.02 (ranked 33 of 365)
Offensive Trends:
- Shooting (Shooting): Currently ranked 22 of 365 in D1. Trending up strongly 🟢.
- Off Reb Pct (Offensive Rebounding): Currently ranked 11 of 365 in D1. Trending up strongly 🟢.
Defensive Trends:
- Opp Shooting (Opp Shooting): Currently ranked 52 of 365 in D1. Trending down strongly 🟢.
- Opp Turnovers (Opp Turnovers): Currently ranked 58 of 365 in D1. Trending up strongly 🔴.
NC State
Record: 10-5 | Elo: 1550.2 (ranked 117 of 365) | Efficiency Margin: +23.78 (ranked 31 of 365)
Offensive Trends:
- Turnovers (Turnovers): Currently ranked 62 of 365 in D1. Trending up strongly 🔴.
- Adj Off Eff (Adjusted Offensive Efficiency): Currently ranked 22 of 365 in D1. Trending up strongly 🟢.
Defensive Trends:
- Opp Turnovers (Opp Turnovers): Currently ranked 44 of 365 in D1. Trending up strongly 🔴.
- Opp FT Rate (Opp FTA/FGA (%)): Currently ranked 247 of 365 in D1. Trending down strongly 🟢.
Notre Dame
Record: 10-5 | Elo: 1532.7 (ranked 139 of 365) | Efficiency Margin: +12.40 (ranked 74 of 365)
Offensive Trends:
- Off Reb Pct (Offensive Rebounding): Currently ranked 112 of 365 in D1. Trending up strongly 🟢.
- 2Pt Rate (2 Point Attempts/FGA (%)): Currently ranked 226 of 365 in D1. Trending down strongly 🔴.
Defensive Trends:
- Opp Shooting (Opp Shooting): Currently ranked 57 of 365 in D1. Trending down strongly 🟢.
- Opp Turnovers (Opp Turnovers): Currently ranked 335 of 365 in D1. Trending down strongly 🟢.
Pitt
Record: 7-8 | Elo: 1513.5 (ranked 162 of 365) | Efficiency Margin: +11.14 (ranked 84 of 365)
Offensive Trends:
- FTM Per Poss (Free Throw Makes Per Possession (%)): Currently ranked 247 of 365 in D1. Trending down strongly 🔴.
- FT Pct (FTM/FTA (%)): Currently ranked 318 of 365 in D1. Trending down strongly 🔴.
Defensive Trends:
- Opp FT Rate (Opp FTA/FGA (%)): Currently ranked 196 of 365 in D1. Trending up strongly 🔴.
- Opp FGA Per Poss (Opp FG Attempts Per Possession (%)): Currently ranked 131 of 365 in D1. Trending down strongly 🟢.
SMU
Record: 12-2 | Elo: 1628.4 (ranked 52 of 365) | Efficiency Margin: +19.87 (ranked 38 of 365)
Offensive Trends:
- Shooting (Shooting): Currently ranked 39 of 365 in D1. Trending up strongly 🟢.
- Turnovers (Turnovers): Currently ranked 70 of 365 in D1. Trending down strongly 🟢.
Defensive Trends:
- Opp Off Tempo (Opp Offensive Possessions Per Game): Currently ranked 13 of 365 in D1. Trending up strongly 🔴.
- Opp Shooting (Opp Shooting): Currently ranked 106 of 365 in D1. Trending up moderately 🔴.
Stanford
Record: 12-3 | Elo: 1582.9 (ranked 85 of 365) | Efficiency Margin: +9.56 (ranked 93 of 365)
Offensive Trends:
- FT Rate (FTA/FGA (%)): Currently ranked 17 of 365 in D1. Trending up strongly 🟢.
- FGM Per Poss (Field Goal Makes Per Possession (%)): Currently ranked 283 of 365 in D1. Trending down strongly 🔴.
Defensive Trends:
- Opp Shooting (Opp Shooting): Currently ranked 163 of 365 in D1. Trending down strongly 🟢.
- Def Reb Pct (Defensive Rebounding): Currently ranked 56 of 365 in D1. Trending down strongly 🔴.
Syracuse
Record: 9-5 | Elo: 1533.3 (ranked 135 of 365) | Efficiency Margin: +13.39 (ranked 69 of 365)
Offensive Trends:
- FT Rate (FTA/FGA (%)): Currently ranked 44 of 365 in D1. Trending up strongly 🟢.
- FGA Per Poss (Field Goal Attempts Per Possession (%)): Currently ranked 269 of 365 in D1. Trending down strongly 🔴.
Defensive Trends:
- Opp FT Rate (Opp FTA/FGA (%)): Currently ranked 75 of 365 in D1. Trending down strongly 🟢.
- Opp 2Pt Pct (Opp 2 Point FGM/FGA (%)): Currently ranked 6 of 365 in D1. Trending down strongly 🟢.
UNC
Record: 13-2 | Elo: 1679.7 (ranked 19 of 365) | Efficiency Margin: +26.98 (ranked 20 of 365)
Offensive Trends:
- FGA Per Poss (Field Goal Attempts Per Possession (%)): Currently ranked 111 of 365 in D1. Trending up strongly 🟢.
- 2Pt Rate (2 Point Attempts/FGA (%)): Currently ranked 248 of 365 in D1. Trending down strongly 🔴.
Defensive Trends:
- Opp Turnovers (Opp Turnovers): Currently ranked 358 of 365 in D1. Trending down strongly 🟢.
- Opp FGA Per Poss (Opp FG Attempts Per Possession (%)): Currently ranked 356 of 365 in D1. Trending up strongly 🔴.
UVA
Record: 12-2 | Elo: 1608.4 (ranked 65 of 365) | Efficiency Margin: +30.94 (ranked 14 of 365)
Offensive Trends:
- Shooting (Shooting): Currently ranked 18 of 365 in D1. Trending up strongly 🟢.
- Turnovers (Turnovers): Currently ranked 89 of 365 in D1. Trending up strongly 🔴.
Defensive Trends:
- Opp Shooting (Opp Shooting): Currently ranked 10 of 365 in D1. Trending down strongly 🟢.
- Opp FGM Per Poss (Opp FG Makes Per Possession (%)): Currently ranked 26 of 365 in D1. Trending down strongly 🟢.
Virginia Tech
Record: 12-3 | Elo: 1567.2 (ranked 95 of 365) | Efficiency Margin: +14.60 (ranked 66 of 365)
Offensive Trends:
- FT Rate (FTA/FGA (%)): Currently ranked 191 of 365 in D1. Trending up strongly 🟢.
- Adj Off Eff (Adjusted Offensive Efficiency): Currently ranked 74 of 365 in D1. Trending up strongly 🟢.
Defensive Trends:
- Def Reb Pct (Defensive Rebounding): Currently ranked 240 of 365 in D1. Trending down strongly 🔴.
- Opp FGA Per Poss (Opp FG Attempts Per Possession (%)): Currently ranked 275 of 365 in D1. Trending up strongly 🔴.
Wake Forest
Record: 10-5 | Elo: 1593.6 (ranked 79 of 365) | Efficiency Margin: +14.91 (ranked 64 of 365)
Offensive Trends:
- Adj Off Eff (Adjusted Offensive Efficiency): Currently ranked 101 of 365 in D1. Trending up strongly 🟢.
- 2Pt Rate (2 Point Attempts/FGA (%)): Currently ranked 263 of 365 in D1. Trending down strongly 🔴.
Defensive Trends:
- Opp Shooting (Opp Shooting): Currently ranked 146 of 365 in D1. Trending up strongly 🔴.
- Opp FGA Per Poss (Opp FG Attempts Per Possession (%)): Currently ranked 33 of 365 in D1. Trending down strongly 🟢.

Figure 2: Offensive Four Factors comparison across ACC teams. The radar chart shows each team’s shooting efficiency (eFG%), ball security (TOV%), offensive rebounding (OREB%), and free throw generation (FT Rate).

Figure 3: Defensive Four Factors comparison across ACC teams. The radar chart shows each team’s opponent shooting defense (Opp eFG%), ball disruption (forcing TOV%), defensive rebounding (DREB%), and opponent free throw prevention (Opp FT Rate).

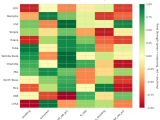
Figure 4: MACD trends heatmap showing which metrics are improving (green) or declining (red) for each team. Stronger colors indicate more pronounced trends.
Looking Ahead
As ACC teams continue their season, the MACD trending indicators will help identify which teams are genuinely improving versus those riding unsustainable momentum. Check back next week for updated analysis.
Metrics Glossary
Four Factors (Dean Oliver’s framework for basketball success):
- eFG% (Effective Field Goal %): Field goal percentage adjusted for 3-pointers being worth more (FGM + 0.5×3PM) / FGA. Higher is better offensively, lower is better defensively.
- TOV% (Turnover Rate): Turnovers per 100 possessions. Lower is better offensively (taking care of the ball), higher is better defensively (forcing turnovers).
- OREB% / DREB% (Offensive/Defensive Rebound Rate): Percentage of available rebounds grabbed. Offensive rebounds create second-chance points; defensive rebounds end opponent possessions.
- FTR (Free Throw Rate): Free throws made per field goal attempt (FTM/FGA). Measures ability to get to the line AND convert. Higher is better offensively, lower is better defensively.
Other Metrics:
- Elo Rating: Chess-style rating system that updates based on game results and opponent strength. Higher Elo indicates stronger team.
- Efficiency Margin: Point differential per 100 possessions (Offensive Efficiency – Defensive Efficiency). Accounts for pace of play.
- MACD (Moving Average Convergence Divergence): Trend indicator comparing 12-game and 26-game exponential moving averages. Positive MACD = improving trend, Negative MACD = declining trend.
Analysis powered by HoopSci’s advanced metrics and MACD trending indicators.

