Conference USA Update: Week 9

Conference USA Update: Week 9

January 5, 2026 0 By Neill White

The Conference USA enters Week 9 with teams showing diverse trending patterns. This analysis examines each team’s performance trends using MACD (Moving Average Convergence Divergence) indicators to identify not just where teams stand, but where they’re headed.


Figure 1: Efficiency margin trends for Conference USA teams throughout the season. Teams trending upward show improving performance, while downward trends indicate struggles.

Conference Snapshot


Team-by-Team Analysis

Delaware

Record: 5-8 | Elo: 1452.4 (ranked 246 of 365) | Efficiency Margin: -9.22 (ranked 241 of 365)

Offensive Trends:

  • Shooting (Shooting): Currently ranked 123 of 365 in D1. Trending down strongly 🔴.
  • Off Reb Pct (Offensive Rebounding): Currently ranked 361 of 365 in D1. Trending down strongly 🔴.

Defensive Trends:

  • Opp Shooting (Opp Shooting): Currently ranked 103 of 365 in D1. Trending down strongly 🟢.
  • Opp FGM Per Poss (Opp FG Makes Per Possession (%)): Currently ranked 158 of 365 in D1. Trending down strongly 🟢.

FIU

Record: 9-5 | Elo: 1432.3 (ranked 273 of 365) | Efficiency Margin: -0.38 (ranked 163 of 365)

Offensive Trends:

  • Shooting (Shooting): Currently ranked 120 of 365 in D1. Trending up strongly 🟢.
  • Off Reb Pct (Offensive Rebounding): Currently ranked 94 of 365 in D1. Trending up strongly 🟢.

Defensive Trends:

  • Opp FT Rate (Opp FTA/FGA (%)): Currently ranked 76 of 365 in D1. Trending down strongly 🟢.
  • Opp FGA Per Poss (Opp FG Attempts Per Possession (%)): Currently ranked 278 of 365 in D1. Trending up strongly 🔴.

Jacksonville St

Record: 7-7 | Elo: 1508.4 (ranked 175 of 365) | Efficiency Margin: -8.60 (ranked 235 of 365)

Offensive Trends:

  • FT Rate (FTA/FGA (%)): Currently ranked 29 of 365 in D1. Trending up strongly 🟢.
  • Adj Off Eff (Adjusted Offensive Efficiency): Currently ranked 253 of 365 in D1. Trending down strongly 🔴.

Defensive Trends:

  • Opp FT Rate (Opp FTA/FGA (%)): Currently ranked 237 of 365 in D1. Trending up strongly 🔴.
  • Opp 2Pt Rate (Opp 2 Point Attempts/FGA (%)): Currently ranked 57 of 365 in D1. Trending down strongly 🟢.

Kennesaw State

Record: 8-6 | Elo: 1504.5 (ranked 186 of 365) | Efficiency Margin: -4.45 (ranked 196 of 365)

Offensive Trends:

  • Shooting (Shooting): Currently ranked 274 of 365 in D1. Trending down strongly 🔴.
  • Off Reb Pct (Offensive Rebounding): Currently ranked 34 of 365 in D1. Trending up strongly 🟢.

Defensive Trends:

  • Def Reb Pct (Defensive Rebounding): Currently ranked 26 of 365 in D1. Trending up moderately 🟢.
  • Opp FG Pct (%) (Opp FGM/FGA (%)): Currently ranked 89 of 365 in D1. Trending up moderately 🔴.

LA Tech

Record: 8-6 | Elo: 1528.2 (ranked 145 of 365) | Efficiency Margin: -7.21 (ranked 221 of 365)

Offensive Trends:

  • Shooting (Shooting): Currently ranked 339 of 365 in D1. Trending down strongly 🔴.
  • Off Reb Pct (Offensive Rebounding): Currently ranked 60 of 365 in D1. Trending up strongly 🟢.

Defensive Trends:

  • Opp 2Pt Rate (Opp 2 Point Attempts/FGA (%)): Currently ranked 4 of 365 in D1. Trending down strongly 🟢.
  • Opp 2PM Per Poss (Opp 2 Point Makes Per Possession (%)): Currently ranked 8 of 365 in D1. Trending down strongly 🟢.

Liberty

Record: 11-3 | Elo: 1638.7 (ranked 41 of 365) | Efficiency Margin: +5.28 (ranked 125 of 365)

Offensive Trends:

  • FTM Per Poss (Free Throw Makes Per Possession (%)): Currently ranked 349 of 365 in D1. Trending up strongly 🟢.
  • FTA Per Poss (Free Throw Attempts Per Possession (%)): Currently ranked 331 of 365 in D1. Trending up strongly 🟢.

Defensive Trends:

  • Def Reb Pct (Defensive Rebounding): Currently ranked 310 of 365 in D1. Trending down strongly 🔴.
  • Opp FGA Per Poss (Opp FG Attempts Per Possession (%)): Currently ranked 327 of 365 in D1. Trending up strongly 🔴.

Mid Tennessee

Record: 8-5 | Elo: 1561.3 (ranked 104 of 365) | Efficiency Margin: +0.59 (ranked 158 of 365)

Offensive Trends:

  • Off Reb Pct (Offensive Rebounding): Currently ranked 210 of 365 in D1. Trending down strongly 🔴.
  • FT Rate (FTA/FGA (%)): Currently ranked 348 of 365 in D1. Trending down strongly 🔴.

Defensive Trends:

  • Opp Turnovers (Opp Turnovers): Currently ranked 280 of 365 in D1. Trending up strongly 🔴.
  • Def Reb Pct (Defensive Rebounding): Currently ranked 178 of 365 in D1. Trending down strongly 🔴.

Missouri State

Record: 8-5 | Elo: 1445.1 (ranked 259 of 365) | Efficiency Margin: -5.96 (ranked 208 of 365)

Offensive Trends:

  • Turnovers (Turnovers): Currently ranked 130 of 365 in D1. Trending down strongly 🟢.
  • FT Rate (FTA/FGA (%)): Currently ranked 21 of 365 in D1. Trending up strongly 🟢.

Defensive Trends:

  • Opp Shooting (Opp Shooting): Currently ranked 107 of 365 in D1. Trending down strongly 🟢.
  • Def Reb Pct (Defensive Rebounding): Currently ranked 269 of 365 in D1. Trending down strongly 🔴.

New Mexico St

Record: 8-5 | Elo: 1500.5 (ranked 192 of 365) | Efficiency Margin: -0.51 (ranked 166 of 365)

Offensive Trends:

  • Shooting (Shooting): Currently ranked 228 of 365 in D1. Trending up strongly 🟢.
  • Adj Off Eff (Adjusted Offensive Efficiency): Currently ranked 145 of 365 in D1. Trending up strongly 🟢.

Defensive Trends:

  • Opp Shooting (Opp Shooting): Currently ranked 95 of 365 in D1. Trending up strongly 🔴.
  • Def Reb Pct (Defensive Rebounding): Currently ranked 131 of 365 in D1. Trending down strongly 🔴.

Sam Houston

Record: 8-6 | Elo: 1514.9 (ranked 160 of 365) | Efficiency Margin: +4.64 (ranked 129 of 365)

Offensive Trends:

  • Off Reb Pct (Offensive Rebounding): Currently ranked 38 of 365 in D1. Trending up strongly 🟢.
  • Adj Off Eff (Adjusted Offensive Efficiency): Currently ranked 95 of 365 in D1. Trending up strongly 🟢.

Defensive Trends:

  • Opp 3PA Per Poss (Opp 3 Point Attempts Per Possession (%)): Currently ranked 309 of 365 in D1. Trending up strongly 🔴.
  • Opp Off Tempo (Opp Offensive Possessions Per Game): Currently ranked 31 of 365 in D1. Trending up strongly 🔴.

UTEP

Record: 4-10 | Elo: 1431.4 (ranked 276 of 365) | Efficiency Margin: -17.28 (ranked 300 of 365)

Offensive Trends:

  • Adj Off Eff (Adjusted Offensive Efficiency): Currently ranked 320 of 365 in D1. Trending down strongly 🔴.
  • FGA Per Poss (Field Goal Attempts Per Possession (%)): Currently ranked 140 of 365 in D1. Trending up strongly 🟢.

Defensive Trends:

  • Opp Turnovers (Opp Turnovers): Currently ranked 62 of 365 in D1. Trending down strongly 🟢.
  • Def Reb Pct (Defensive Rebounding): Currently ranked 329 of 365 in D1. Trending down strongly 🔴.

W Kentucky

Record: 9-5 | Elo: 1518.2 (ranked 154 of 365) | Efficiency Margin: -0.48 (ranked 165 of 365)

Offensive Trends:

  • Off Reb Pct (Offensive Rebounding): Currently ranked 139 of 365 in D1. Trending up strongly 🟢.
  • Adj Off Eff (Adjusted Offensive Efficiency): Currently ranked 172 of 365 in D1. Trending up strongly 🟢.

Defensive Trends:

  • Opp FT Pct (Opp FTM/FTA (%)): Currently ranked 19 of 365 in D1. Trending down strongly 🟢.
  • Opp Shooting (Opp Shooting): Currently ranked 220 of 365 in D1. Trending up moderately 🔴.


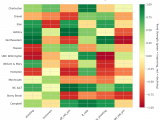
Figure 2: Offensive Four Factors comparison across Conference USA teams. The radar chart shows each team’s shooting efficiency (eFG%), ball security (TOV%), offensive rebounding (OREB%), and free throw generation (FT Rate).


Figure 3: Defensive Four Factors comparison across Conference USA teams. The radar chart shows each team’s opponent shooting defense (Opp eFG%), ball disruption (forcing TOV%), defensive rebounding (DREB%), and opponent free throw prevention (Opp FT Rate).


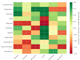
Figure 4: MACD trends heatmap showing which metrics are improving (green) or declining (red) for each team. Stronger colors indicate more pronounced trends.


Looking Ahead

As Conference USA teams continue their season, the MACD trending indicators will help identify which teams are genuinely improving versus those riding unsustainable momentum. Check back next week for updated analysis.


Metrics Glossary

Four Factors (Dean Oliver’s framework for basketball success):

  • eFG% (Effective Field Goal %): Field goal percentage adjusted for 3-pointers being worth more (FGM + 0.5×3PM) / FGA. Higher is better offensively, lower is better defensively.
  • TOV% (Turnover Rate): Turnovers per 100 possessions. Lower is better offensively (taking care of the ball), higher is better defensively (forcing turnovers).
  • OREB% / DREB% (Offensive/Defensive Rebound Rate): Percentage of available rebounds grabbed. Offensive rebounds create second-chance points; defensive rebounds end opponent possessions.
  • FTR (Free Throw Rate): Free throws made per field goal attempt (FTM/FGA). Measures ability to get to the line AND convert. Higher is better offensively, lower is better defensively.

Other Metrics:

  • Elo Rating: Chess-style rating system that updates based on game results and opponent strength. Higher Elo indicates stronger team.
  • Efficiency Margin: Point differential per 100 possessions (Offensive Efficiency – Defensive Efficiency). Accounts for pace of play.
  • MACD (Moving Average Convergence Divergence): Trend indicator comparing 12-game and 26-game exponential moving averages. Positive MACD = improving trend, Negative MACD = declining trend.

Analysis powered by HoopSci’s advanced metrics and MACD trending indicators.