Northeast Update: Week 9

Northeast Update: Week 9

January 5, 2026 0 By Neill White

The Northeast enters Week 9 with teams showing diverse trending patterns. This analysis examines each team’s performance trends using MACD (Moving Average Convergence Divergence) indicators to identify not just where teams stand, but where they’re headed.


Figure 1: Efficiency margin trends for Northeast teams throughout the season. Teams trending upward show improving performance, while downward trends indicate struggles.

Conference Snapshot


Team-by-Team Analysis

Brooklyn

Record: 8-7 | Elo: 1469.3 (ranked 234 of 365) | Efficiency Margin: -0.99 (ranked 171 of 365)

Offensive Trends:

  • Shooting (Shooting): Currently ranked 95 of 365 in D1. Trending up strongly 🟢.
  • Adj Off Eff (Adjusted Offensive Efficiency): Currently ranked 131 of 365 in D1. Trending up strongly 🟢.

Defensive Trends:

  • Opp Turnovers (Opp Turnovers): Currently ranked 142 of 365 in D1. Trending down strongly 🟢.
  • Def Reb Pct (Defensive Rebounding): Currently ranked 333 of 365 in D1. Trending down strongly 🔴.

Cent Conn St

Record: 7-6 | Elo: 1536.5 (ranked 128 of 365) | Efficiency Margin: -6.70 (ranked 214 of 365)

Offensive Trends:

  • Shooting (Shooting): Currently ranked 160 of 365 in D1. Trending up strongly 🟢.
  • Adj Off Eff (Adjusted Offensive Efficiency): Currently ranked 174 of 365 in D1. Trending up strongly 🟢.

Defensive Trends:

  • Opp Shooting (Opp Shooting): Currently ranked 203 of 365 in D1. Trending up strongly 🔴.
  • Def Reb Pct (Defensive Rebounding): Currently ranked 228 of 365 in D1. Trending down strongly 🔴.

Chicago State

Record: 2-13 | Elo: 1305.4 (ranked 365 of 365) | Efficiency Margin: -27.45 (ranked 351 of 365)

Offensive Trends:

  • Shooting (Shooting): Currently ranked 361 of 365 in D1. Trending down strongly 🔴.
  • Turnovers (Turnovers): Currently ranked 127 of 365 in D1. Trending down strongly 🟢.

Defensive Trends:

  • Opp 2Pt Rate (Opp 2 Point Attempts/FGA (%)): Currently ranked 3 of 365 in D1. Trending down strongly 🟢.
  • Opp 2PM Per Poss (Opp 2 Point Makes Per Possession (%)): Currently ranked 129 of 365 in D1. Trending down strongly 🟢.

Fair Dickinson

Record: 4-11 | Elo: 1368.0 (ranked 337 of 365) | Efficiency Margin: -22.28 (ranked 335 of 365)

Offensive Trends:

  • Off Reb Pct (Offensive Rebounding): Currently ranked 193 of 365 in D1. Trending up strongly 🟢.
  • Off Tempo (Offensive Possessions Per Game): Currently ranked 269 of 365 in D1. Trending down strongly 🔴.

Defensive Trends:

  • Opp FT Rate (Opp FTA/FGA (%)): Currently ranked 240 of 365 in D1. Trending up strongly 🔴.
  • Opp 2Pt Rate (Opp 2 Point Attempts/FGA (%)): Currently ranked 28 of 365 in D1. Trending down strongly 🟢.

Le Moyne

Record: 6-9 | Elo: 1396.6 (ranked 307 of 365) | Efficiency Margin: -7.06 (ranked 219 of 365)

Offensive Trends:

  • Adj Off Eff (Adjusted Offensive Efficiency): Currently ranked 166 of 365 in D1. Trending up strongly 🟢.
  • FGA Per Poss (Field Goal Attempts Per Possession (%)): Currently ranked 319 of 365 in D1. Trending up strongly 🟢.

Defensive Trends:

  • Opp Shooting (Opp Shooting): Currently ranked 193 of 365 in D1. Trending down moderately 🟢.
  • Opp Turnovers (Opp Turnovers): Currently ranked 324 of 365 in D1. Trending down moderately 🟢.

Mercyhurst

Record: 6-9 | Elo: 1436.9 (ranked 267 of 365) | Efficiency Margin: -9.29 (ranked 242 of 365)

Offensive Trends:

  • Adj Off Eff (Adjusted Offensive Efficiency): Currently ranked 300 of 365 in D1. Trending up strongly 🟢.
  • FGA Per Poss (Field Goal Attempts Per Possession (%)): Currently ranked 41 of 365 in D1. Trending up strongly 🟢.

Defensive Trends:

  • Opp 2Pt Rate (Opp 2 Point Attempts/FGA (%)): Currently ranked 304 of 365 in D1. Trending up strongly 🔴.
  • Opp 2PA Per Poss (Opp 2 Point Attempts Per Possession (%)): Currently ranked 188 of 365 in D1. Trending up strongly 🔴.

New Haven

Record: 6-9 | Elo: 1451.0 (ranked 249 of 365) | Efficiency Margin: -19.34 (ranked 319 of 365)

Offensive Trends:

  • FT Rate (FTA/FGA (%)): Currently ranked 365 of 365 in D1. Trending down strongly 🔴.
  • FGA Per Poss (Field Goal Attempts Per Possession (%)): Currently ranked 44 of 365 in D1. Trending up strongly 🟢.

Defensive Trends:

  • Def Reb Pct (Defensive Rebounding): Currently ranked 40 of 365 in D1. Trending up strongly 🟢.
  • Opp FT Rate (Opp FTA/FGA (%)): Currently ranked 1 of 365 in D1. Trending down strongly 🟢.

St Francis (PA)

Record: 3-12 | Elo: 1367.7 (ranked 338 of 365) | Efficiency Margin: -30.96 (ranked 357 of 365)

Offensive Trends:

  • Turnovers (Turnovers): Currently ranked 259 of 365 in D1. Trending down strongly 🟢.
  • 2PM Per Poss (2 Point Makes Per Possession (%)): Currently ranked 290 of 365 in D1. Trending down strongly 🔴.

Defensive Trends:

  • Opp Shooting (Opp Shooting): Currently ranked 365 of 365 in D1. Trending up strongly 🔴.
  • Opp FT Rate (Opp FTA/FGA (%)): Currently ranked 167 of 365 in D1. Trending up strongly 🔴.

Stonehill

Record: 3-11 | Elo: 1362.7 (ranked 345 of 365) | Efficiency Margin: -18.46 (ranked 312 of 365)

Offensive Trends:

  • Shooting (Shooting): Currently ranked 344 of 365 in D1. Trending down strongly 🔴.
  • Off Reb Pct (Offensive Rebounding): Currently ranked 266 of 365 in D1. Trending up strongly 🟢.

Defensive Trends:

  • Opp Turnovers (Opp Turnovers): Currently ranked 365 of 365 in D1. Trending down strongly 🟢.
  • Opp FGA Per Poss (Opp FG Attempts Per Possession (%)): Currently ranked 312 of 365 in D1. Trending up strongly 🔴.

Wagner

Record: 4-6 | Elo: 1421.0 (ranked 287 of 365) | Efficiency Margin: -10.33 (ranked 245 of 365)

Offensive Trends:

  • Off Reb Pct (Offensive Rebounding): Currently ranked 156 of 365 in D1. Trending up strongly 🟢.
  • Adj Off Eff (Adjusted Offensive Efficiency): Currently ranked 194 of 365 in D1. Trending up strongly 🟢.

Defensive Trends:

  • Opp Turnovers (Opp Turnovers): Currently ranked 343 of 365 in D1. Trending down strongly 🟢.
  • Def Reb Pct (Defensive Rebounding): Currently ranked 232 of 365 in D1. Trending down strongly 🔴.


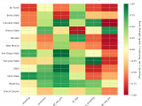
Figure 2: Offensive Four Factors comparison across Northeast teams. The radar chart shows each team’s shooting efficiency (eFG%), ball security (TOV%), offensive rebounding (OREB%), and free throw generation (FT Rate).


Figure 3: Defensive Four Factors comparison across Northeast teams. The radar chart shows each team’s opponent shooting defense (Opp eFG%), ball disruption (forcing TOV%), defensive rebounding (DREB%), and opponent free throw prevention (Opp FT Rate).


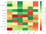
Figure 4: MACD trends heatmap showing which metrics are improving (green) or declining (red) for each team. Stronger colors indicate more pronounced trends.


Looking Ahead

As Northeast teams continue their season, the MACD trending indicators will help identify which teams are genuinely improving versus those riding unsustainable momentum. Check back next week for updated analysis.


Metrics Glossary

Four Factors (Dean Oliver’s framework for basketball success):

  • eFG% (Effective Field Goal %): Field goal percentage adjusted for 3-pointers being worth more (FGM + 0.5×3PM) / FGA. Higher is better offensively, lower is better defensively.
  • TOV% (Turnover Rate): Turnovers per 100 possessions. Lower is better offensively (taking care of the ball), higher is better defensively (forcing turnovers).
  • OREB% / DREB% (Offensive/Defensive Rebound Rate): Percentage of available rebounds grabbed. Offensive rebounds create second-chance points; defensive rebounds end opponent possessions.
  • FTR (Free Throw Rate): Free throws made per field goal attempt (FTM/FGA). Measures ability to get to the line AND convert. Higher is better offensively, lower is better defensively.

Other Metrics:

  • Elo Rating: Chess-style rating system that updates based on game results and opponent strength. Higher Elo indicates stronger team.
  • Efficiency Margin: Point differential per 100 possessions (Offensive Efficiency – Defensive Efficiency). Accounts for pace of play.
  • MACD (Moving Average Convergence Divergence): Trend indicator comparing 12-game and 26-game exponential moving averages. Positive MACD = improving trend, Negative MACD = declining trend.

Analysis powered by HoopSci’s advanced metrics and MACD trending indicators.