Sun Belt Update: Week 9
January 5, 2026The Sun Belt enters Week 9 with teams showing diverse trending patterns. This analysis examines each team’s performance trends using MACD (Moving Average Convergence Divergence) indicators to identify not just where teams stand, but where they’re headed.

Figure 1: Efficiency margin trends for Sun Belt teams throughout the season. Teams trending upward show improving performance, while downward trends indicate struggles.
Conference Snapshot
- Week Dates: December 29 – January 04, 2026
- Trending Up (Efficiency): Appalachian St, Arkansas State, Georgia State, Louisiana, Troy
- Trending Down (Efficiency): C. Carolina, Ga Southern, South Alabama, Texas State
Team-by-Team Analysis
Appalachian St
Record: 9-7 | Elo: 1514.8 (ranked 161 of 365) | Efficiency Margin: -4.38 (ranked 195 of 365)
Offensive Trends:
- Shooting (Shooting): Currently ranked 195 of 365 in D1. Trending up strongly 🟢.
- FT Rate (FTA/FGA (%)): Currently ranked 104 of 365 in D1. Trending up strongly 🟢.
Defensive Trends:
- Opp Shooting (Opp Shooting): Currently ranked 82 of 365 in D1. Trending up strongly 🔴.
- Def Reb Pct (Defensive Rebounding): Currently ranked 212 of 365 in D1. Trending up strongly 🟢.
Arkansas State
Record: 9-5 | Elo: 1588.3 (ranked 82 of 365) | Efficiency Margin: -0.88 (ranked 169 of 365)
Offensive Trends:
- Shooting (Shooting): Currently ranked 217 of 365 in D1. Trending up strongly 🟢.
- Off Reb Pct (Offensive Rebounding): Currently ranked 15 of 365 in D1. Trending up strongly 🟢.
Defensive Trends:
- Opp Shooting (Opp Shooting): Currently ranked 210 of 365 in D1. Trending up strongly 🔴.
- Opp FGA Per Poss (Opp FG Attempts Per Possession (%)): Currently ranked 133 of 365 in D1. Trending down strongly 🟢.
C. Carolina
Record: 8-8 | Elo: 1404.3 (ranked 304 of 365) | Efficiency Margin: -10.41 (ranked 246 of 365)
Offensive Trends:
- Shooting (Shooting): Currently ranked 341 of 365 in D1. Trending down strongly 🔴.
- Turnovers (Turnovers): Currently ranked 14 of 365 in D1. Trending down strongly 🟢.
Defensive Trends:
- Opp 3PM Per Poss (Opp 3 Point Makes Per Possession (%)): Currently ranked 143 of 365 in D1. Trending up strongly 🔴.
- Opp 3Pt Pct (Opp 3 Point FGM/FGA (%)): Currently ranked 126 of 365 in D1. Trending up strongly 🔴.
Ga Southern
Record: 12-5 | Elo: 1522.8 (ranked 152 of 365) | Efficiency Margin: -0.43 (ranked 164 of 365)
Offensive Trends:
- Turnovers (Turnovers): Currently ranked 39 of 365 in D1. Trending down strongly 🟢.
- FT Rate (FTA/FGA (%)): Currently ranked 63 of 365 in D1. Trending up strongly 🟢.
Defensive Trends:
- Opp 2Pt Pct (Opp 2 Point FGM/FGA (%)): Currently ranked 219 of 365 in D1. Trending down strongly 🟢.
- Opp FT Pct (Opp FTM/FTA (%)): Currently ranked 153 of 365 in D1. Trending up strongly 🔴.
Georgia State
Record: 5-11 | Elo: 1423.5 (ranked 283 of 365) | Efficiency Margin: -17.31 (ranked 302 of 365)
Offensive Trends:
- Shooting (Shooting): Currently ranked 355 of 365 in D1. Trending up strongly 🟢.
- Off Reb Pct (Offensive Rebounding): Currently ranked 307 of 365 in D1. Trending up strongly 🟢.
Defensive Trends:
- Opp FT Rate (Opp FTA/FGA (%)): Currently ranked 234 of 365 in D1. Trending up strongly 🔴.
- Opp FGM Per Poss (Opp FG Makes Per Possession (%)): Currently ranked 203 of 365 in D1. Trending down strongly 🟢.
James Madison
Record: 8-7 | Elo: 1540.5 (ranked 124 of 365) | Efficiency Margin: -7.58 (ranked 226 of 365)
Offensive Trends:
- FT Rate (FTA/FGA (%)): Currently ranked 172 of 365 in D1. Trending up strongly 🟢.
- FGA Per Poss (Field Goal Attempts Per Possession (%)): Currently ranked 166 of 365 in D1. Trending down strongly 🔴.
Defensive Trends:
- Opp Turnovers (Opp Turnovers): Currently ranked 337 of 365 in D1. Trending down strongly 🟢.
- Opp FT Rate (Opp FTA/FGA (%)): Currently ranked 343 of 365 in D1. Trending up strongly 🔴.
Louisiana
Record: 3-13 | Elo: 1395.1 (ranked 308 of 365) | Efficiency Margin: -20.96 (ranked 325 of 365)
Offensive Trends:
- Adj Off Eff (Adjusted Offensive Efficiency): Currently ranked 352 of 365 in D1. Trending down strongly 🔴.
- 2Pt Rate (2 Point Attempts/FGA (%)): Currently ranked 247 of 365 in D1. Trending down strongly 🔴.
Defensive Trends:
- Def Reb Pct (Defensive Rebounding): Currently ranked 136 of 365 in D1. Trending up strongly 🟢.
- Opp FT Rate (Opp FTA/FGA (%)): Currently ranked 362 of 365 in D1. Trending up strongly 🔴.
Marshall
Record: 10-5 | Elo: 1539.8 (ranked 125 of 365) | Efficiency Margin: +0.76 (ranked 153 of 365)
Offensive Trends:
- Shooting (Shooting): Currently ranked 70 of 365 in D1. Trending up strongly 🟢.
- Off Reb Pct (Offensive Rebounding): Currently ranked 133 of 365 in D1. Trending up strongly 🟢.
Defensive Trends:
- Def Reb Pct (Defensive Rebounding): Currently ranked 229 of 365 in D1. Trending down strongly 🔴.
- Opp FGA Per Poss (Opp FG Attempts Per Possession (%)): Currently ranked 269 of 365 in D1. Trending up strongly 🔴.
Old Dominion
Record: 4-12 | Elo: 1388.8 (ranked 315 of 365) | Efficiency Margin: -7.91 (ranked 228 of 365)
Offensive Trends:
- Off Reb Pct (Offensive Rebounding): Currently ranked 327 of 365 in D1. Trending down strongly 🔴.
- Adj Off Eff (Adjusted Offensive Efficiency): Currently ranked 216 of 365 in D1. Trending up strongly 🟢.
Defensive Trends:
- Opp FTM Per Poss (Opp Free Throw Makes Per Possession (%)): Currently ranked 332 of 365 in D1. Trending up strongly 🔴.
- Opp FTA Per Poss (Opp Free Throw Attempts Per Possession (%)): Currently ranked 327 of 365 in D1. Trending up strongly 🔴.
South Alabama
Record: 10-5 | Elo: 1561.5 (ranked 102 of 365) | Efficiency Margin: -3.03 (ranked 184 of 365)
Offensive Trends:
- Shooting (Shooting): Currently ranked 205 of 365 in D1. Trending down strongly 🔴.
- Turnovers (Turnovers): Currently ranked 53 of 365 in D1. Trending up strongly 🔴.
Defensive Trends:
- Opp FGA Per Poss (Opp FG Attempts Per Possession (%)): Currently ranked 364 of 365 in D1. Trending up strongly 🔴.
- Opp 3PA Per Poss (Opp 3 Point Attempts Per Possession (%)): Currently ranked 365 of 365 in D1. Trending up strongly 🔴.
Southern Miss
Record: 9-7 | Elo: 1443.8 (ranked 260 of 365) | Efficiency Margin: -4.67 (ranked 198 of 365)
Offensive Trends:
- FT Rate (FTA/FGA (%)): Currently ranked 52 of 365 in D1. Trending up strongly 🟢.
- Adj Off Eff (Adjusted Offensive Efficiency): Currently ranked 175 of 365 in D1. Trending up strongly 🟢.
Defensive Trends:
- Def Reb Pct (Defensive Rebounding): Currently ranked 77 of 365 in D1. Trending up strongly 🟢.
- Opp Assists per FGM (Opp Assists/FGM (%)): Currently ranked 200 of 365 in D1. Trending down strongly 🟢.
Texas State
Record: 9-7 | Elo: 1479.3 (ranked 221 of 365) | Efficiency Margin: -14.02 (ranked 276 of 365)
Offensive Trends:
- FT Rate (FTA/FGA (%)): Currently ranked 247 of 365 in D1. Trending down strongly 🔴.
- Adj Off Eff (Adjusted Offensive Efficiency): Currently ranked 286 of 365 in D1. Trending down strongly 🔴.
Defensive Trends:
- Opp Shooting (Opp Shooting): Currently ranked 265 of 365 in D1. Trending up strongly 🔴.
- Opp FGM Per Poss (Opp FG Makes Per Possession (%)): Currently ranked 165 of 365 in D1. Trending up strongly 🔴.
Troy
Record: 10-5 | Elo: 1594.1 (ranked 78 of 365) | Efficiency Margin: +2.89 (ranked 139 of 365)
Offensive Trends:
- Turnovers (Turnovers): Currently ranked 205 of 365 in D1. Trending down strongly 🟢.
- FT Rate (FTA/FGA (%)): Currently ranked 120 of 365 in D1. Trending down strongly 🔴.
Defensive Trends:
- Def Reb Pct (Defensive Rebounding): Currently ranked 306 of 365 in D1. Trending down strongly 🔴.
- Opp FGA Per Poss (Opp FG Attempts Per Possession (%)): Currently ranked 282 of 365 in D1. Trending up strongly 🔴.
UL Monroe
Record: 3-13 | Elo: 1282.4 (ranked 368 of 365) | Efficiency Margin: -24.39 (ranked 343 of 365)
Offensive Trends:
- Shooting (Shooting): Currently ranked 221 of 365 in D1. Trending up strongly 🟢.
- Off Reb Pct (Offensive Rebounding): Currently ranked 349 of 365 in D1. Trending down strongly 🔴.
Defensive Trends:
- Opp FGM Per Poss (Opp FG Makes Per Possession (%)): Currently ranked 364 of 365 in D1. Trending up strongly 🔴.
- Opp FG Pct (%) (Opp FGM/FGA (%)): Currently ranked 350 of 365 in D1. Trending up strongly 🔴.

Figure 2: Offensive Four Factors comparison across Sun Belt teams. The radar chart shows each team’s shooting efficiency (eFG%), ball security (TOV%), offensive rebounding (OREB%), and free throw generation (FT Rate).

Figure 3: Defensive Four Factors comparison across Sun Belt teams. The radar chart shows each team’s opponent shooting defense (Opp eFG%), ball disruption (forcing TOV%), defensive rebounding (DREB%), and opponent free throw prevention (Opp FT Rate).

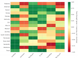
Figure 4: MACD trends heatmap showing which metrics are improving (green) or declining (red) for each team. Stronger colors indicate more pronounced trends.
Looking Ahead
As Sun Belt teams continue their season, the MACD trending indicators will help identify which teams are genuinely improving versus those riding unsustainable momentum. Check back next week for updated analysis.
Metrics Glossary
Four Factors (Dean Oliver’s framework for basketball success):
- eFG% (Effective Field Goal %): Field goal percentage adjusted for 3-pointers being worth more (FGM + 0.5×3PM) / FGA. Higher is better offensively, lower is better defensively.
- TOV% (Turnover Rate): Turnovers per 100 possessions. Lower is better offensively (taking care of the ball), higher is better defensively (forcing turnovers).
- OREB% / DREB% (Offensive/Defensive Rebound Rate): Percentage of available rebounds grabbed. Offensive rebounds create second-chance points; defensive rebounds end opponent possessions.
- FTR (Free Throw Rate): Free throws made per field goal attempt (FTM/FGA). Measures ability to get to the line AND convert. Higher is better offensively, lower is better defensively.
Other Metrics:
- Elo Rating: Chess-style rating system that updates based on game results and opponent strength. Higher Elo indicates stronger team.
- Efficiency Margin: Point differential per 100 possessions (Offensive Efficiency – Defensive Efficiency). Accounts for pace of play.
- MACD (Moving Average Convergence Divergence): Trend indicator comparing 12-game and 26-game exponential moving averages. Positive MACD = improving trend, Negative MACD = declining trend.
Analysis powered by HoopSci’s advanced metrics and MACD trending indicators.

