Atlantic 10 Update: Week 10
January 12, 2026The Atlantic 10 enters Week 10 with teams showing diverse trending patterns. This analysis examines each team’s performance trends using MACD (Moving Average Convergence Divergence) indicators to identify not just where teams stand, but where they’re headed.

Figure 1: Efficiency margin trends for Atlantic 10 teams throughout the season. Teams trending upward show improving performance, while downward trends indicate struggles.
Conference Snapshot
- Week Dates: January 05 – January 11, 2026
- Trending Up (Efficiency): Duquesne, Fordham, George Mason, G Washington, La Salle
- Trending Down (Efficiency): Davidson, Dayton, Saint Joe’s, Loyola-Chicago
Team-by-Team Analysis
Davidson
Record: 10-6 | Elo: 1509.3 (ranked 170 of 365) | Efficiency Margin: +4.63 (ranked 121 of 365)
Offensive Trends:
- Shooting (Shooting): Currently ranked 103 of 365 in D1. Trending down strongly 🔴.
- FGM Per Poss (Field Goal Makes Per Possession (%)): Currently ranked 197 of 365 in D1. Trending down strongly 🔴.
Defensive Trends:
- Opp Assists per FGM (Opp Assists/FGM (%)): Currently ranked 45 of 365 in D1. Trending up strongly 🔴.
- Opp Turnovers (Opp Turnovers): Currently ranked 147 of 365 in D1. Trending up moderately 🔴.
Dayton
Record: 12-4 | Elo: 1640.0 (ranked 42 of 365) | Efficiency Margin: +15.15 (ranked 59 of 365)
Offensive Trends:
- Shooting (Shooting): Currently ranked 150 of 365 in D1. Trending down strongly 🔴.
- Turnovers (Turnovers): Currently ranked 81 of 365 in D1. Trending down strongly 🟢.
Defensive Trends:
- Opp Turnovers (Opp Turnovers): Currently ranked 3 of 365 in D1. Trending up strongly 🔴.
- Def Reb Pct (Defensive Rebounding): Currently ranked 174 of 365 in D1. Trending down strongly 🔴.
Duquesne
Record: 9-7 | Elo: 1498.8 (ranked 192 of 365) | Efficiency Margin: +4.49 (ranked 124 of 365)
Offensive Trends:
- Off Reb Pct (Offensive Rebounding): Currently ranked 153 of 365 in D1. Trending up strongly 🟢.
- Adj Off Eff (Adjusted Offensive Efficiency): Currently ranked 108 of 365 in D1. Trending up strongly 🟢.
Defensive Trends:
- Opp Turnovers (Opp Turnovers): Currently ranked 157 of 365 in D1. Trending down strongly 🟢.
- Opp FGM Per Poss (Opp FG Makes Per Possession (%)): Currently ranked 123 of 365 in D1. Trending up strongly 🔴.
Fordham
Record: 9-7 | Elo: 1443.3 (ranked 257 of 365) | Efficiency Margin: +1.48 (ranked 152 of 365)
Offensive Trends:
- FT Rate (FTA/FGA (%)): Currently ranked 362 of 365 in D1. Trending down strongly 🔴.
- FGM Per Poss (Field Goal Makes Per Possession (%)): Currently ranked 26 of 365 in D1. Trending up strongly 🟢.
Defensive Trends:
- Opp FT Rate (Opp FTA/FGA (%)): Currently ranked 19 of 365 in D1. Trending down strongly 🟢.
- Opp FTA Per Poss (Opp Free Throw Attempts Per Possession (%)): Currently ranked 16 of 365 in D1. Trending down strongly 🟢.
G Washington
Record: 12-5 | Elo: 1552.3 (ranked 115 of 365) | Efficiency Margin: +14.56 (ranked 60 of 365)
Offensive Trends:
- Shooting (Shooting): Currently ranked 24 of 365 in D1. Trending up strongly 🟢.
- Off Reb Pct (Offensive Rebounding): Currently ranked 40 of 365 in D1. Trending up strongly 🟢.
Defensive Trends:
- Opp FT Rate (Opp FTA/FGA (%)): Currently ranked 117 of 365 in D1. Trending up strongly 🔴.
- Opp 2PA Per Poss (Opp 2 Point Attempts Per Possession (%)): Currently ranked 88 of 365 in D1. Trending down strongly 🟢.
George Mason
Record: 16-1 | Elo: 1677.2 (ranked 24 of 365) | Efficiency Margin: +15.24 (ranked 56 of 365)
Offensive Trends:
- Turnovers (Turnovers): Currently ranked 31 of 365 in D1. Trending down strongly 🟢.
- Off Reb Pct (Offensive Rebounding): Currently ranked 207 of 365 in D1. Trending down strongly 🔴.
Defensive Trends:
- Opp Turnovers (Opp Turnovers): Currently ranked 212 of 365 in D1. Trending down strongly 🟢.
- Opp FGM Per Poss (Opp FG Makes Per Possession (%)): Currently ranked 78 of 365 in D1. Trending up strongly 🔴.
La Salle
Record: 5-12 | Elo: 1421.3 (ranked 282 of 365) | Efficiency Margin: -10.70 (ranked 254 of 365)
Offensive Trends:
- FT Rate (FTA/FGA (%)): Currently ranked 96 of 365 in D1. Trending up strongly 🟢.
- FGA Per Poss (Field Goal Attempts Per Possession (%)): Currently ranked 238 of 365 in D1. Trending down strongly 🔴.
Defensive Trends:
- Opp Shooting (Opp Shooting): Currently ranked 297 of 365 in D1. Trending up strongly 🔴.
- Opp FT Rate (Opp FTA/FGA (%)): Currently ranked 81 of 365 in D1. Trending up strongly 🔴.
Loyola-Chicago
Record: 5-12 | Elo: 1507.5 (ranked 173 of 365) | Efficiency Margin: -16.46 (ranked 295 of 365)
Offensive Trends:
- Turnovers (Turnovers): Currently ranked 317 of 365 in D1. Trending up strongly 🔴.
- Off Reb Pct (Offensive Rebounding): Currently ranked 143 of 365 in D1. Trending up strongly 🟢.
Defensive Trends:
- Opp Turnovers (Opp Turnovers): Currently ranked 365 of 365 in D1. Trending down strongly 🟢.
- Opp FGA Per Poss (Opp FG Attempts Per Possession (%)): Currently ranked 352 of 365 in D1. Trending up strongly 🔴.
Richmond
Record: 12-5 | Elo: 1502.6 (ranked 181 of 365) | Efficiency Margin: +7.46 (ranked 108 of 365)
Offensive Trends:
- Turnovers (Turnovers): Currently ranked 60 of 365 in D1. Trending down strongly 🟢.
- Adj Off Eff (Adjusted Offensive Efficiency): Currently ranked 86 of 365 in D1. Trending up strongly 🟢.
Defensive Trends:
- Def Reb Pct (Defensive Rebounding): Currently ranked 122 of 365 in D1. Trending down strongly 🔴.
- Opp FT Rate (Opp FTA/FGA (%)): Currently ranked 84 of 365 in D1. Trending down strongly 🟢.
Saint Joe’s
Record: 10-7 | Elo: 1546.0 (ranked 118 of 365) | Efficiency Margin: -0.97 (ranked 169 of 365)
Offensive Trends:
- Off Reb Pct (Offensive Rebounding): Currently ranked 90 of 365 in D1. Trending up strongly 🟢.
- FT Pct (FTM/FTA (%)): Currently ranked 82 of 365 in D1. Trending down strongly 🔴.
Defensive Trends:
- Opp 2Pt Rate (Opp 2 Point Attempts/FGA (%)): Currently ranked 248 of 365 in D1. Trending down strongly 🟢.
- Opp 2PA Per Poss (Opp 2 Point Attempts Per Possession (%)): Currently ranked 314 of 365 in D1. Trending down strongly 🟢.
Saint Louis
Record: 15-1 | Elo: 1621.7 (ranked 54 of 365) | Efficiency Margin: +22.46 (ranked 33 of 365)
Offensive Trends:
- Shooting (Shooting): Currently ranked 3 of 365 in D1. Trending up strongly 🟢.
- Turnovers (Turnovers): Currently ranked 221 of 365 in D1. Trending down strongly 🟢.
Defensive Trends:
- Opp Shooting (Opp Shooting): Currently ranked 4 of 365 in D1. Trending down strongly 🟢.
- Opp FT Rate (Opp FTA/FGA (%)): Currently ranked 239 of 365 in D1. Trending up strongly 🔴.
St Bonaventure
Record: 11-5 | Elo: 1568.2 (ranked 99 of 365) | Efficiency Margin: +4.60 (ranked 123 of 365)
Offensive Trends:
- Shooting (Shooting): Currently ranked 108 of 365 in D1. Trending up strongly 🟢.
- Off Reb Pct (Offensive Rebounding): Currently ranked 27 of 365 in D1. Trending up strongly 🟢.
Defensive Trends:
- Opp Shooting (Opp Shooting): Currently ranked 241 of 365 in D1. Trending up strongly 🔴.
- Opp Turnovers (Opp Turnovers): Currently ranked 151 of 365 in D1. Trending down strongly 🟢.
URI
Record: 10-7 | Elo: 1502.3 (ranked 183 of 365) | Efficiency Margin: +7.95 (ranked 106 of 365)
Offensive Trends:
- FT Rate (FTA/FGA (%)): Currently ranked 161 of 365 in D1. Trending down strongly 🔴.
- FGA Per Poss (Field Goal Attempts Per Possession (%)): Currently ranked 257 of 365 in D1. Trending up strongly 🟢.
Defensive Trends:
- Opp Turnovers (Opp Turnovers): Currently ranked 8 of 365 in D1. Trending up strongly 🔴.
- Def Reb Pct (Defensive Rebounding): Currently ranked 190 of 365 in D1. Trending up strongly 🟢.
VCU
Record: 11-6 | Elo: 1642.3 (ranked 39 of 365) | Efficiency Margin: +17.27 (ranked 45 of 365)
Offensive Trends:
- Turnovers (Turnovers): Currently ranked 124 of 365 in D1. Trending down strongly 🟢.
- Off Reb Pct (Offensive Rebounding): Currently ranked 42 of 365 in D1. Trending down strongly 🔴.
Defensive Trends:
- Opp Shooting (Opp Shooting): Currently ranked 115 of 365 in D1. Trending up strongly 🔴.
- Opp Turnovers (Opp Turnovers): Currently ranked 151 of 365 in D1. Trending down strongly 🟢.

Figure 2: Offensive Four Factors comparison across Atlantic 10 teams. The radar chart shows each team’s shooting efficiency (eFG%), ball security (TOV%), offensive rebounding (OREB%), and free throw generation (FT Rate).

Figure 3: Defensive Four Factors comparison across Atlantic 10 teams. The radar chart shows each team’s opponent shooting defense (Opp eFG%), ball disruption (forcing TOV%), defensive rebounding (DREB%), and opponent free throw prevention (Opp FT Rate).

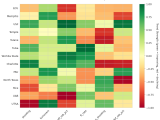
Figure 4: MACD trends heatmap showing which metrics are improving (green) or declining (red) for each team. Stronger colors indicate more pronounced trends.
Looking Ahead
As Atlantic 10 teams continue their season, the MACD trending indicators will help identify which teams are genuinely improving versus those riding unsustainable momentum. Check back next week for updated analysis.
Metrics Glossary
Four Factors (Dean Oliver’s framework for basketball success):
- eFG% (Effective Field Goal %): Field goal percentage adjusted for 3-pointers being worth more (FGM + 0.5×3PM) / FGA. Higher is better offensively, lower is better defensively.
- TOV% (Turnover Rate): Turnovers per 100 possessions. Lower is better offensively (taking care of the ball), higher is better defensively (forcing turnovers).
- OREB% / DREB% (Offensive/Defensive Rebound Rate): Percentage of available rebounds grabbed. Offensive rebounds create second-chance points; defensive rebounds end opponent possessions.
- FTR (Free Throw Rate): Free throws made per field goal attempt (FTM/FGA). Measures ability to get to the line AND convert. Higher is better offensively, lower is better defensively.
Other Metrics:
- Elo Rating: Chess-style rating system that updates based on game results and opponent strength. Higher Elo indicates stronger team.
- Efficiency Margin: Point differential per 100 possessions (Offensive Efficiency – Defensive Efficiency). Accounts for pace of play.
- MACD (Moving Average Convergence Divergence): Trend indicator comparing 12-game and 26-game exponential moving averages. Positive MACD = improving trend, Negative MACD = declining trend.
Analysis powered by HoopSci’s advanced metrics and MACD trending indicators.

