Atlantic Sun Update: Week 10
January 12, 2026The Atlantic Sun enters Week 10 with teams showing diverse trending patterns. This analysis examines each team’s performance trends using MACD (Moving Average Convergence Divergence) indicators to identify not just where teams stand, but where they’re headed.

Figure 1: Efficiency margin trends for Atlantic Sun teams throughout the season. Teams trending upward show improving performance, while downward trends indicate struggles.
Conference Snapshot
- Week Dates: January 05 – January 11, 2026
- Trending Up (Efficiency): FGCU, Jacksonville, Lipscomb, Stetson, North Alabama
- Trending Down (Efficiency): North Florida, West Georgia
Team-by-Team Analysis
Austin Peay
Record: 10-5 | Elo: 1496.0 (ranked 197 of 365) | Efficiency Margin: +0.05 (ranked 160 of 365)
Offensive Trends:
- Off Reb Pct (Offensive Rebounding): Currently ranked 254 of 365 in D1. Trending up strongly 🟢.
- FT Rate (FTA/FGA (%)): Currently ranked 230 of 365 in D1. Trending up strongly 🟢.
Defensive Trends:
- Opp Turnovers (Opp Turnovers): Currently ranked 33 of 365 in D1. Trending up strongly 🔴.
- Opp FT Rate (Opp FTA/FGA (%)): Currently ranked 152 of 365 in D1. Trending down strongly 🟢.
Bellarmine
Record: 6-10 | Elo: 1335.6 (ranked 357 of 365) | Efficiency Margin: -13.02 (ranked 267 of 365)
Offensive Trends:
- Shooting (Shooting): Currently ranked 12 of 365 in D1. Trending up strongly 🟢.
- FT Rate (FTA/FGA (%)): Currently ranked 135 of 365 in D1. Trending up strongly 🟢.
Defensive Trends:
- Def Reb Pct (Defensive Rebounding): Currently ranked 351 of 365 in D1. Trending down strongly 🔴.
- Opp FGA Per Poss (Opp FG Attempts Per Possession (%)): Currently ranked 324 of 365 in D1. Trending up strongly 🔴.
Cent Arkansas
Record: 7-10 | Elo: 1369.8 (ranked 333 of 365) | Efficiency Margin: -9.95 (ranked 246 of 365)
Offensive Trends:
- Off Reb Pct (Offensive Rebounding): Currently ranked 267 of 365 in D1. Trending up strongly 🟢.
- Adj Off Eff (Adjusted Offensive Efficiency): Currently ranked 270 of 365 in D1. Trending up strongly 🟢.
Defensive Trends:
- Opp Turnovers (Opp Turnovers): Currently ranked 109 of 365 in D1. Trending up strongly 🔴.
- Opp 2Pt Rate (Opp 2 Point Attempts/FGA (%)): Currently ranked 3 of 365 in D1. Trending down strongly 🟢.
E Kentucky
Record: 6-11 | Elo: 1462.4 (ranked 239 of 365) | Efficiency Margin: -15.36 (ranked 286 of 365)
Offensive Trends:
- Shooting (Shooting): Currently ranked 246 of 365 in D1. Trending up strongly 🟢.
- 2Pt Rate (2 Point Attempts/FGA (%)): Currently ranked 357 of 365 in D1. Trending down strongly 🔴.
Defensive Trends:
- Opp 2Pt Rate (Opp 2 Point Attempts/FGA (%)): Currently ranked 196 of 365 in D1. Trending down strongly 🟢.
- Opp 2Pt Pct (Opp 2 Point FGM/FGA (%)): Currently ranked 322 of 365 in D1. Trending up strongly 🔴.
FGCU
Record: 7-10 | Elo: 1460.4 (ranked 240 of 365) | Efficiency Margin: -10.79 (ranked 255 of 365)
Offensive Trends:
- FGA Per Poss (Field Goal Attempts Per Possession (%)): Currently ranked 68 of 365 in D1. Trending down strongly 🔴.
- 2PA Per Poss (2 Point Attempts Per Possession (%)): Currently ranked 164 of 365 in D1. Trending down strongly 🔴.
Defensive Trends:
- Def Reb Pct (Defensive Rebounding): Currently ranked 182 of 365 in D1. Trending down strongly 🔴.
- Opp FT Rate (Opp FTA/FGA (%)): Currently ranked 324 of 365 in D1. Trending up strongly 🔴.
Jacksonville
Record: 6-11 | Elo: 1446.2 (ranked 256 of 365) | Efficiency Margin: -21.23 (ranked 329 of 365)
Offensive Trends:
- Off Reb Pct (Offensive Rebounding): Currently ranked 202 of 365 in D1. Trending down strongly 🔴.
- Off Tempo (Offensive Possessions Per Game): Currently ranked 324 of 365 in D1. Trending down strongly 🔴.
Defensive Trends:
- Def Reb Pct (Defensive Rebounding): Currently ranked 132 of 365 in D1. Trending up strongly 🟢.
- Opp Off Tempo (Opp Offensive Possessions Per Game): Currently ranked 307 of 365 in D1. Trending down strongly 🟢.
Lipscomb
Record: 10-7 | Elo: 1570.5 (ranked 97 of 365) | Efficiency Margin: -2.44 (ranked 183 of 365)
Offensive Trends:
- Assists per FGM (Assists/FGM (%)): Currently ranked 8 of 365 in D1. Trending up strongly 🟢.
- 2Pt Rate (2 Point Attempts/FGA (%)): Currently ranked 338 of 365 in D1. Trending up moderately 🟢.
Defensive Trends:
- Opp FGA Per Poss (Opp FG Attempts Per Possession (%)): Currently ranked 161 of 365 in D1. Trending down strongly 🟢.
- Opp 2Pt Rate (Opp 2 Point Attempts/FGA (%)): Currently ranked 139 of 365 in D1. Trending down strongly 🟢.
North Alabama
Record: 6-9 | Elo: 1495.0 (ranked 199 of 365) | Efficiency Margin: -18.91 (ranked 316 of 365)
Offensive Trends:
- Off Reb Pct (Offensive Rebounding): Currently ranked 245 of 365 in D1. Trending down strongly 🔴.
- Adj Off Eff (Adjusted Offensive Efficiency): Currently ranked 301 of 365 in D1. Trending down strongly 🔴.
Defensive Trends:
- Opp Shooting (Opp Shooting): Currently ranked 256 of 365 in D1. Trending up strongly 🔴.
- Opp FGM Per Poss (Opp FG Makes Per Possession (%)): Currently ranked 296 of 365 in D1. Trending up strongly 🔴.
North Florida
Record: 2-15 | Elo: 1356.8 (ranked 344 of 365) | Efficiency Margin: -27.98 (ranked 356 of 365)
Offensive Trends:
- Off Reb Pct (Offensive Rebounding): Currently ranked 358 of 365 in D1. Trending down strongly 🔴.
- FT Pct (FTM/FTA (%)): Currently ranked 12 of 365 in D1. Trending up strongly 🟢.
Defensive Trends:
- Opp 2Pt Rate (Opp 2 Point Attempts/FGA (%)): Currently ranked 184 of 365 in D1. Trending down strongly 🟢.
- Opp 2PM Per Poss (Opp 2 Point Makes Per Possession (%)): Currently ranked 364 of 365 in D1. Trending down strongly 🟢.
Queens University
Record: 9-8 | Elo: 1514.2 (ranked 161 of 365) | Efficiency Margin: -3.15 (ranked 190 of 365)
Offensive Trends:
- Adj Off Eff (Adjusted Offensive Efficiency): Currently ranked 64 of 365 in D1. Trending up strongly 🟢.
- 2Pt Rate (2 Point Attempts/FGA (%)): Currently ranked 346 of 365 in D1. Trending down strongly 🔴.
Defensive Trends:
- Opp 2Pt Rate (Opp 2 Point Attempts/FGA (%)): Currently ranked 101 of 365 in D1. Trending down strongly 🟢.
- Opp 2PM Per Poss (Opp 2 Point Makes Per Possession (%)): Currently ranked 276 of 365 in D1. Trending down strongly 🟢.
Stetson
Record: 6-11 | Elo: 1378.8 (ranked 324 of 365) | Efficiency Margin: -26.12 (ranked 350 of 365)
Offensive Trends:
- 2Pt Rate (2 Point Attempts/FGA (%)): Currently ranked 318 of 365 in D1. Trending down strongly 🔴.
- 2PA Per Poss (2 Point Attempts Per Possession (%)): Currently ranked 328 of 365 in D1. Trending down strongly 🔴.
Defensive Trends:
- Opp Shooting (Opp Shooting): Currently ranked 351 of 365 in D1. Trending up strongly 🔴.
- Opp FT Rate (Opp FTA/FGA (%)): Currently ranked 71 of 365 in D1. Trending up strongly 🔴.
West Georgia
Record: 9-7 | Elo: 1419.0 (ranked 287 of 365) | Efficiency Margin: -16.95 (ranked 299 of 365)
Offensive Trends:
- FT Rate (FTA/FGA (%)): Currently ranked 310 of 365 in D1. Trending up strongly 🟢.
- Adj Off Eff (Adjusted Offensive Efficiency): Currently ranked 286 of 365 in D1. Trending up strongly 🟢.
Defensive Trends:
- Opp Assists per FGM (Opp Assists/FGM (%)): Currently ranked 223 of 365 in D1. Trending down strongly 🟢.
- Opp Turnovers (Opp Turnovers): Currently ranked 331 of 365 in D1. Trending down moderately 🟢.

Figure 2: Offensive Four Factors comparison across Atlantic Sun teams. The radar chart shows each team’s shooting efficiency (eFG%), ball security (TOV%), offensive rebounding (OREB%), and free throw generation (FT Rate).

Figure 3: Defensive Four Factors comparison across Atlantic Sun teams. The radar chart shows each team’s opponent shooting defense (Opp eFG%), ball disruption (forcing TOV%), defensive rebounding (DREB%), and opponent free throw prevention (Opp FT Rate).

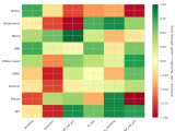
Figure 4: MACD trends heatmap showing which metrics are improving (green) or declining (red) for each team. Stronger colors indicate more pronounced trends.
Looking Ahead
As Atlantic Sun teams continue their season, the MACD trending indicators will help identify which teams are genuinely improving versus those riding unsustainable momentum. Check back next week for updated analysis.
Metrics Glossary
Four Factors (Dean Oliver’s framework for basketball success):
- eFG% (Effective Field Goal %): Field goal percentage adjusted for 3-pointers being worth more (FGM + 0.5×3PM) / FGA. Higher is better offensively, lower is better defensively.
- TOV% (Turnover Rate): Turnovers per 100 possessions. Lower is better offensively (taking care of the ball), higher is better defensively (forcing turnovers).
- OREB% / DREB% (Offensive/Defensive Rebound Rate): Percentage of available rebounds grabbed. Offensive rebounds create second-chance points; defensive rebounds end opponent possessions.
- FTR (Free Throw Rate): Free throws made per field goal attempt (FTM/FGA). Measures ability to get to the line AND convert. Higher is better offensively, lower is better defensively.
Other Metrics:
- Elo Rating: Chess-style rating system that updates based on game results and opponent strength. Higher Elo indicates stronger team.
- Efficiency Margin: Point differential per 100 possessions (Offensive Efficiency – Defensive Efficiency). Accounts for pace of play.
- MACD (Moving Average Convergence Divergence): Trend indicator comparing 12-game and 26-game exponential moving averages. Positive MACD = improving trend, Negative MACD = declining trend.
Analysis powered by HoopSci’s advanced metrics and MACD trending indicators.

