Ivy Update: Week 10

Ivy Update: Week 10

January 12, 2026 0 By Neill White

The Ivy enters Week 10 with teams showing diverse trending patterns. This analysis examines each team’s performance trends using MACD (Moving Average Convergence Divergence) indicators to identify not just where teams stand, but where they’re headed.


Figure 1: Efficiency margin trends for Ivy teams throughout the season. Teams trending upward show improving performance, while downward trends indicate struggles.

Conference Snapshot


Team-by-Team Analysis

Brown

Record: 6-9 | Elo: 1459.0 (ranked 241 of 365) | Efficiency Margin: -6.89 (ranked 218 of 365)

Offensive Trends:

  • Off Reb Pct (Offensive Rebounding): Currently ranked 248 of 365 in D1. Trending up strongly 🟢.
  • FGA Per Poss (Field Goal Attempts Per Possession (%)): Currently ranked 56 of 365 in D1. Trending up strongly 🟢.

Defensive Trends:

  • Opp Assists per FGM (Opp Assists/FGM (%)): Currently ranked 154 of 365 in D1. Trending up strongly 🔴.
  • Opp Turnovers (Opp Turnovers): Currently ranked 116 of 365 in D1. Trending up moderately 🔴.

Columbia

Record: 12-4 | Elo: 1486.7 (ranked 210 of 365) | Efficiency Margin: +4.45 (ranked 125 of 365)

Offensive Trends:

  • Turnovers (Turnovers): Currently ranked 316 of 365 in D1. Trending up strongly 🔴.
  • Off Reb Pct (Offensive Rebounding): Currently ranked 46 of 365 in D1. Trending up strongly 🟢.

Defensive Trends:

  • Def Reb Pct (Defensive Rebounding): Currently ranked 37 of 365 in D1. Trending down strongly 🔴.
  • Opp 2Pt Pct (Opp 2 Point FGM/FGA (%)): Currently ranked 65 of 365 in D1. Trending down strongly 🟢.

Cornell

Record: 7-8 | Elo: 1531.9 (ranked 138 of 365) | Efficiency Margin: -0.09 (ranked 163 of 365)

Offensive Trends:

  • Off Reb Pct (Offensive Rebounding): Currently ranked 209 of 365 in D1. Trending up strongly 🟢.
  • Adj Off Eff (Adjusted Offensive Efficiency): Currently ranked 47 of 365 in D1. Trending up strongly 🟢.

Defensive Trends:

  • Opp Shooting (Opp Shooting): Currently ranked 352 of 365 in D1. Trending up strongly 🔴.
  • Opp FT Rate (Opp FTA/FGA (%)): Currently ranked 272 of 365 in D1. Trending up strongly 🔴.

Dartmouth

Record: 8-7 | Elo: 1479.0 (ranked 225 of 365) | Efficiency Margin: -3.13 (ranked 189 of 365)

Offensive Trends:

  • Shooting (Shooting): Currently ranked 73 of 365 in D1. Trending up strongly 🟢.
  • Turnovers (Turnovers): Currently ranked 306 of 365 in D1. Trending down strongly 🟢.

Defensive Trends:

  • Def Reb Pct (Defensive Rebounding): Currently ranked 184 of 365 in D1. Trending down strongly 🔴.
  • Opp FT Rate (Opp FTA/FGA (%)): Currently ranked 32 of 365 in D1. Trending up strongly 🔴.

Harvard

Record: 8-8 | Elo: 1493.7 (ranked 202 of 365) | Efficiency Margin: +2.42 (ranked 141 of 365)

Offensive Trends:

  • FT Rate (FTA/FGA (%)): Currently ranked 360 of 365 in D1. Trending down strongly 🔴.
  • Adj Off Eff (Adjusted Offensive Efficiency): Currently ranked 145 of 365 in D1. Trending up strongly 🟢.

Defensive Trends:

  • Opp FT Rate (Opp FTA/FGA (%)): Currently ranked 29 of 365 in D1. Trending up strongly 🔴.
  • Opp 3PM Per Poss (Opp 3 Point Makes Per Possession (%)): Currently ranked 212 of 365 in D1. Trending down strongly 🟢.

Penn

Record: 8-7 | Elo: 1448.6 (ranked 251 of 365) | Efficiency Margin: +2.31 (ranked 143 of 365)

Offensive Trends:

  • Off Reb Pct (Offensive Rebounding): Currently ranked 122 of 365 in D1. Trending up strongly 🟢.
  • Adj Off Eff (Adjusted Offensive Efficiency): Currently ranked 112 of 365 in D1. Trending up strongly 🟢.

Defensive Trends:

  • Opp 2Pt Rate (Opp 2 Point Attempts/FGA (%)): Currently ranked 239 of 365 in D1. Trending up strongly 🔴.
  • Opp 2PM Per Poss (Opp 2 Point Makes Per Possession (%)): Currently ranked 342 of 365 in D1. Trending up strongly 🔴.

Princeton

Record: 6-11 | Elo: 1523.4 (ranked 151 of 365) | Efficiency Margin: -2.11 (ranked 178 of 365)

Offensive Trends:

  • FT Rate (FTA/FGA (%)): Currently ranked 200 of 365 in D1. Trending up strongly 🟢.
  • FGA Per Poss (Field Goal Attempts Per Possession (%)): Currently ranked 254 of 365 in D1. Trending down strongly 🔴.

Defensive Trends:

  • Opp Shooting (Opp Shooting): Currently ranked 204 of 365 in D1. Trending down strongly 🟢.
  • Def Reb Pct (Defensive Rebounding): Currently ranked 21 of 365 in D1. Trending down strongly 🔴.

Yale

Record: 12-3 | Elo: 1667.8 (ranked 26 of 365) | Efficiency Margin: +11.87 (ranked 78 of 365)

Offensive Trends:

  • Shooting (Shooting): Currently ranked 49 of 365 in D1. Trending down strongly 🔴.
  • Off Reb Pct (Offensive Rebounding): Currently ranked 95 of 365 in D1. Trending up strongly 🟢.

Defensive Trends:

  • Def Reb Pct (Defensive Rebounding): Currently ranked 201 of 365 in D1. Trending down strongly 🔴.
  • Opp 3PM Per Poss (Opp 3 Point Makes Per Possession (%)): Currently ranked 351 of 365 in D1. Trending up strongly 🔴.


Figure 2: Offensive Four Factors comparison across Ivy teams. The radar chart shows each team’s shooting efficiency (eFG%), ball security (TOV%), offensive rebounding (OREB%), and free throw generation (FT Rate).


Figure 3: Defensive Four Factors comparison across Ivy teams. The radar chart shows each team’s opponent shooting defense (Opp eFG%), ball disruption (forcing TOV%), defensive rebounding (DREB%), and opponent free throw prevention (Opp FT Rate).


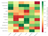
Figure 4: MACD trends heatmap showing which metrics are improving (green) or declining (red) for each team. Stronger colors indicate more pronounced trends.


Looking Ahead

As Ivy teams continue their season, the MACD trending indicators will help identify which teams are genuinely improving versus those riding unsustainable momentum. Check back next week for updated analysis.


Metrics Glossary

Four Factors (Dean Oliver’s framework for basketball success):

  • eFG% (Effective Field Goal %): Field goal percentage adjusted for 3-pointers being worth more (FGM + 0.5×3PM) / FGA. Higher is better offensively, lower is better defensively.
  • TOV% (Turnover Rate): Turnovers per 100 possessions. Lower is better offensively (taking care of the ball), higher is better defensively (forcing turnovers).
  • OREB% / DREB% (Offensive/Defensive Rebound Rate): Percentage of available rebounds grabbed. Offensive rebounds create second-chance points; defensive rebounds end opponent possessions.
  • FTR (Free Throw Rate): Free throws made per field goal attempt (FTM/FGA). Measures ability to get to the line AND convert. Higher is better offensively, lower is better defensively.

Other Metrics:

  • Elo Rating: Chess-style rating system that updates based on game results and opponent strength. Higher Elo indicates stronger team.
  • Efficiency Margin: Point differential per 100 possessions (Offensive Efficiency – Defensive Efficiency). Accounts for pace of play.
  • MACD (Moving Average Convergence Divergence): Trend indicator comparing 12-game and 26-game exponential moving averages. Positive MACD = improving trend, Negative MACD = declining trend.

Analysis powered by HoopSci’s advanced metrics and MACD trending indicators.