MEAC Update: Week 10
January 12, 2026The MEAC enters Week 10 with teams showing diverse trending patterns. This analysis examines each team’s performance trends using MACD (Moving Average Convergence Divergence) indicators to identify not just where teams stand, but where they’re headed.

Figure 1: Efficiency margin trends for MEAC teams throughout the season. Teams trending upward show improving performance, while downward trends indicate struggles.
Conference Snapshot
- Week Dates: January 05 – January 11, 2026
- Trending Up (Efficiency): Coppin State, MD-E Shore, NC Central
- Trending Down (Efficiency): Delaware State, Howard, Morgan State, Norfolk State, S Carolina St
Team-by-Team Analysis
Coppin State
Record: 3-16 | Elo: 1290.8 (ranked 366 of 365) | Efficiency Margin: -36.03 (ranked 363 of 365)
Offensive Trends:
- FT Rate (FTA/FGA (%)): Currently ranked 243 of 365 in D1. Trending down strongly 🔴.
- 3PM Per Poss (3 Point Makes Per Possession (%)): Currently ranked 321 of 365 in D1. Trending up strongly 🟢.
Defensive Trends:
- Opp FT Rate (Opp FTA/FGA (%)): Currently ranked 303 of 365 in D1. Trending up strongly 🔴.
- Opp 3PM Per Poss (Opp 3 Point Makes Per Possession (%)): Currently ranked 361 of 365 in D1. Trending up strongly 🔴.
Delaware State
Record: 5-12 | Elo: 1374.7 (ranked 329 of 365) | Efficiency Margin: -24.11 (ranked 347 of 365)
Offensive Trends:
- Turnovers (Turnovers): Currently ranked 252 of 365 in D1. Trending up strongly 🔴.
- Adj Off Eff (Adjusted Offensive Efficiency): Currently ranked 365 of 365 in D1. Trending down strongly 🔴.
Defensive Trends:
- Opp Turnovers (Opp Turnovers): Currently ranked 7 of 365 in D1. Trending up strongly 🔴.
- Opp FGM Per Poss (Opp FG Makes Per Possession (%)): Currently ranked 220 of 365 in D1. Trending down strongly 🟢.
Howard
Record: 9-8 | Elo: 1438.4 (ranked 268 of 365) | Efficiency Margin: -12.30 (ranked 261 of 365)
Offensive Trends:
- Shooting (Shooting): Currently ranked 321 of 365 in D1. Trending down strongly 🔴.
- Adj Off Eff (Adjusted Offensive Efficiency): Currently ranked 326 of 365 in D1. Trending down strongly 🔴.
Defensive Trends:
- Opp Turnovers (Opp Turnovers): Currently ranked 21 of 365 in D1. Trending up strongly 🔴.
- Opp FGM Per Poss (Opp FG Makes Per Possession (%)): Currently ranked 100 of 365 in D1. Trending down strongly 🟢.
MD-E Shore
Record: 6-13 | Elo: 1329.9 (ranked 361 of 365) | Efficiency Margin: -18.21 (ranked 310 of 365)
Offensive Trends:
- Off Reb Pct (Offensive Rebounding): Currently ranked 255 of 365 in D1. Trending down strongly 🔴.
- 3PM Per Poss (3 Point Makes Per Possession (%)): Currently ranked 344 of 365 in D1. Trending down strongly 🔴.
Defensive Trends:
- Def Reb Pct (Defensive Rebounding): Currently ranked 274 of 365 in D1. Trending up strongly 🟢.
- Opp FGM Per Poss (Opp FG Makes Per Possession (%)): Currently ranked 169 of 365 in D1. Trending down strongly 🟢.
Morgan State
Record: 4-12 | Elo: 1345.5 (ranked 350 of 365) | Efficiency Margin: -32.47 (ranked 358 of 365)
Offensive Trends:
- FGM Per Poss (Field Goal Makes Per Possession (%)): Currently ranked 351 of 365 in D1. Trending down strongly 🔴.
- FGA Per Poss (Field Goal Attempts Per Possession (%)): Currently ranked 345 of 365 in D1. Trending down strongly 🔴.
Defensive Trends:
- Opp FT Rate (Opp FTA/FGA (%)): Currently ranked 362 of 365 in D1. Trending up strongly 🔴.
- Opp FGA Per Poss (Opp FG Attempts Per Possession (%)): Currently ranked 15 of 365 in D1. Trending down strongly 🟢.
NC Central
Record: 6-11 | Elo: 1392.3 (ranked 314 of 365) | Efficiency Margin: -23.95 (ranked 345 of 365)
Offensive Trends:
- FTM Per Poss (Free Throw Makes Per Possession (%)): Currently ranked 88 of 365 in D1. Trending up strongly 🟢.
- Fouls Per Poss (Fouls Per Possession): Currently ranked 245 of 365 in D1. Trending down strongly 🟢.
Defensive Trends:
- Def Reb Pct (Defensive Rebounding): Currently ranked 351 of 365 in D1. Trending up strongly 🟢.
- Opp FT Rate (Opp FTA/FGA (%)): Currently ranked 302 of 365 in D1. Trending down strongly 🟢.
Norfolk State
Record: 7-11 | Elo: 1501.8 (ranked 185 of 365) | Efficiency Margin: -16.72 (ranked 298 of 365)
Offensive Trends:
- Turnovers (Turnovers): Currently ranked 304 of 365 in D1. Trending up strongly 🔴.
- Off Reb Pct (Offensive Rebounding): Currently ranked 255 of 365 in D1. Trending down strongly 🔴.
Defensive Trends:
- Opp 2PM Per Poss (Opp 2 Point Makes Per Possession (%)): Currently ranked 197 of 365 in D1. Trending up strongly 🔴.
- Opp 2Pt Pct (Opp 2 Point FGM/FGA (%)): Currently ranked 288 of 365 in D1. Trending up strongly 🔴.
S Carolina St
Record: 2-15 | Elo: 1396.2 (ranked 307 of 365) | Efficiency Margin: -35.23 (ranked 362 of 365)
Offensive Trends:
- Turnovers (Turnovers): Currently ranked 350 of 365 in D1. Trending up strongly 🔴.
- FT Rate (FTA/FGA (%)): Currently ranked 163 of 365 in D1. Trending down strongly 🔴.
Defensive Trends:
- Opp Turnovers (Opp Turnovers): Currently ranked 227 of 365 in D1. Trending down strongly 🟢.
- Opp FGM Per Poss (Opp FG Makes Per Possession (%)): Currently ranked 316 of 365 in D1. Trending up strongly 🔴.

Figure 2: Offensive Four Factors comparison across MEAC teams. The radar chart shows each team’s shooting efficiency (eFG%), ball security (TOV%), offensive rebounding (OREB%), and free throw generation (FT Rate).

Figure 3: Defensive Four Factors comparison across MEAC teams. The radar chart shows each team’s opponent shooting defense (Opp eFG%), ball disruption (forcing TOV%), defensive rebounding (DREB%), and opponent free throw prevention (Opp FT Rate).

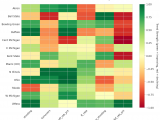
Figure 4: MACD trends heatmap showing which metrics are improving (green) or declining (red) for each team. Stronger colors indicate more pronounced trends.
Looking Ahead
As MEAC teams continue their season, the MACD trending indicators will help identify which teams are genuinely improving versus those riding unsustainable momentum. Check back next week for updated analysis.
Metrics Glossary
Four Factors (Dean Oliver’s framework for basketball success):
- eFG% (Effective Field Goal %): Field goal percentage adjusted for 3-pointers being worth more (FGM + 0.5×3PM) / FGA. Higher is better offensively, lower is better defensively.
- TOV% (Turnover Rate): Turnovers per 100 possessions. Lower is better offensively (taking care of the ball), higher is better defensively (forcing turnovers).
- OREB% / DREB% (Offensive/Defensive Rebound Rate): Percentage of available rebounds grabbed. Offensive rebounds create second-chance points; defensive rebounds end opponent possessions.
- FTR (Free Throw Rate): Free throws made per field goal attempt (FTM/FGA). Measures ability to get to the line AND convert. Higher is better offensively, lower is better defensively.
Other Metrics:
- Elo Rating: Chess-style rating system that updates based on game results and opponent strength. Higher Elo indicates stronger team.
- Efficiency Margin: Point differential per 100 possessions (Offensive Efficiency – Defensive Efficiency). Accounts for pace of play.
- MACD (Moving Average Convergence Divergence): Trend indicator comparing 12-game and 26-game exponential moving averages. Positive MACD = improving trend, Negative MACD = declining trend.
Analysis powered by HoopSci’s advanced metrics and MACD trending indicators.

