Northeast Update: Week 10
January 12, 2026The Northeast enters Week 10 with teams showing diverse trending patterns. This analysis examines each team’s performance trends using MACD (Moving Average Convergence Divergence) indicators to identify not just where teams stand, but where they’re headed.

Figure 1: Efficiency margin trends for Northeast teams throughout the season. Teams trending upward show improving performance, while downward trends indicate struggles.
Conference Snapshot
- Week Dates: January 05 – January 11, 2026
- Trending Up (Efficiency): Cent Conn St, Wagner, Mercyhurst, New Haven
- Trending Down (Efficiency): Fair Dickinson, Brooklyn, St Francis (PA), Stonehill, Le Moyne
Team-by-Team Analysis
Brooklyn
Record: 10-7 | Elo: 1480.6 (ranked 221 of 365) | Efficiency Margin: -2.30 (ranked 181 of 365)
Offensive Trends:
- Off Reb Pct (Offensive Rebounding): Currently ranked 30 of 365 in D1. Trending up strongly 🟢.
- Adj Off Eff (Adjusted Offensive Efficiency): Currently ranked 168 of 365 in D1. Trending up strongly 🟢.
Defensive Trends:
- Opp FT Rate (Opp FTA/FGA (%)): Currently ranked 129 of 365 in D1. Trending down strongly 🟢.
- Opp FGM Per Poss (Opp FG Makes Per Possession (%)): Currently ranked 291 of 365 in D1. Trending up strongly 🔴.
Cent Conn St
Record: 9-6 | Elo: 1549.0 (ranked 117 of 365) | Efficiency Margin: -5.30 (ranked 207 of 365)
Offensive Trends:
- Adj Off Eff (Adjusted Offensive Efficiency): Currently ranked 208 of 365 in D1. Trending up strongly 🟢.
- FTM Per Poss (Free Throw Makes Per Possession (%)): Currently ranked 303 of 365 in D1. Trending up strongly 🟢.
Defensive Trends:
- Def Reb Pct (Defensive Rebounding): Currently ranked 224 of 365 in D1. Trending down strongly 🔴.
- Opp FTM Per Poss (Opp Free Throw Makes Per Possession (%)): Currently ranked 23 of 365 in D1. Trending up strongly 🔴.
Chicago State
Record: 2-15 | Elo: 1294.0 (ranked 365 of 365) | Efficiency Margin: -26.09 (ranked 349 of 365)
Offensive Trends:
- Turnovers (Turnovers): Currently ranked 101 of 365 in D1. Trending down strongly 🟢.
- Adj Off Eff (Adjusted Offensive Efficiency): Currently ranked 338 of 365 in D1. Trending up strongly 🟢.
Defensive Trends:
- Opp Turnovers (Opp Turnovers): Currently ranked 84 of 365 in D1. Trending up strongly 🔴.
- Def Reb Pct (Defensive Rebounding): Currently ranked 353 of 365 in D1. Trending down strongly 🔴.
Fair Dickinson
Record: 5-12 | Elo: 1368.0 (ranked 334 of 365) | Efficiency Margin: -22.96 (ranked 339 of 365)
Offensive Trends:
- FT Rate (FTA/FGA (%)): Currently ranked 255 of 365 in D1. Trending up strongly 🟢.
- FGM Per Poss (Field Goal Makes Per Possession (%)): Currently ranked 315 of 365 in D1. Trending down strongly 🔴.
Defensive Trends:
- Def Reb Pct (Defensive Rebounding): Currently ranked 87 of 365 in D1. Trending up strongly 🟢.
- Opp FT Rate (Opp FTA/FGA (%)): Currently ranked 265 of 365 in D1. Trending up strongly 🔴.
Le Moyne
Record: 7-10 | Elo: 1396.1 (ranked 309 of 365) | Efficiency Margin: -6.92 (ranked 219 of 365)
Offensive Trends:
- FGA Per Poss (Field Goal Attempts Per Possession (%)): Currently ranked 314 of 365 in D1. Trending up strongly 🟢.
- 2PA Per Poss (2 Point Attempts Per Possession (%)): Currently ranked 245 of 365 in D1. Trending up strongly 🟢.
Defensive Trends:
- Opp Shooting (Opp Shooting): Currently ranked 132 of 365 in D1. Trending down strongly 🟢.
- Opp FGM Per Poss (Opp FG Makes Per Possession (%)): Currently ranked 168 of 365 in D1. Trending down strongly 🟢.
Mercyhurst
Record: 7-10 | Elo: 1442.7 (ranked 259 of 365) | Efficiency Margin: -8.25 (ranked 234 of 365)
Offensive Trends:
- Adj Off Eff (Adjusted Offensive Efficiency): Currently ranked 293 of 365 in D1. Trending up strongly 🟢.
- 2Pt Rate (2 Point Attempts/FGA (%)): Currently ranked 38 of 365 in D1. Trending up strongly 🟢.
Defensive Trends:
- Opp FGA Per Poss (Opp FG Attempts Per Possession (%)): Currently ranked 47 of 365 in D1. Trending up strongly 🔴.
- Opp 2Pt Rate (Opp 2 Point Attempts/FGA (%)): Currently ranked 324 of 365 in D1. Trending up strongly 🔴.
New Haven
Record: 7-10 | Elo: 1442.4 (ranked 260 of 365) | Efficiency Margin: -19.56 (ranked 321 of 365)
Offensive Trends:
- FT Rate (FTA/FGA (%)): Currently ranked 1 of 365 in D1. Trending up strongly 🟢.
- 2PM Per Poss (2 Point Makes Per Possession (%)): Currently ranked 153 of 365 in D1. Trending down strongly 🔴.
Defensive Trends:
- Opp Shooting (Opp Shooting): Currently ranked 1 of 365 in D1. Trending down strongly 🟢.
- Opp Turnovers (Opp Turnovers): Currently ranked 310 of 365 in D1. Trending down strongly 🟢.
St Francis (PA)
Record: 4-13 | Elo: 1376.9 (ranked 326 of 365) | Efficiency Margin: -27.58 (ranked 354 of 365)
Offensive Trends:
- Turnovers (Turnovers): Currently ranked 265 of 365 in D1. Trending down strongly 🟢.
- Off Reb Pct (Offensive Rebounding): Currently ranked 342 of 365 in D1. Trending down strongly 🔴.
Defensive Trends:
- Opp Turnovers (Opp Turnovers): Currently ranked 76 of 365 in D1. Trending up strongly 🔴.
- Def Reb Pct (Defensive Rebounding): Currently ranked 323 of 365 in D1. Trending down strongly 🔴.
Stonehill
Record: 4-12 | Elo: 1365.0 (ranked 336 of 365) | Efficiency Margin: -19.03 (ranked 317 of 365)
Offensive Trends:
- Off Reb Pct (Offensive Rebounding): Currently ranked 203 of 365 in D1. Trending up strongly 🟢.
- 2PA Per Poss (2 Point Attempts Per Possession (%)): Currently ranked 174 of 365 in D1. Trending up strongly 🟢.
Defensive Trends:
- Opp Turnovers (Opp Turnovers): Currently ranked 364 of 365 in D1. Trending down strongly 🟢.
- Opp 3Pt Pct (Opp 3 Point FGM/FGA (%)): Currently ranked 296 of 365 in D1. Trending up strongly 🔴.
Wagner
Record: 4-8 | Elo: 1394.7 (ranked 310 of 365) | Efficiency Margin: -13.00 (ranked 266 of 365)
Offensive Trends:
- Off Reb Pct (Offensive Rebounding): Currently ranked 141 of 365 in D1. Trending up strongly 🟢.
- Adj Off Eff (Adjusted Offensive Efficiency): Currently ranked 241 of 365 in D1. Trending up strongly 🟢.
Defensive Trends:
- Opp Turnovers (Opp Turnovers): Currently ranked 351 of 365 in D1. Trending down strongly 🟢.
- Opp 2Pt Rate (Opp 2 Point Attempts/FGA (%)): Currently ranked 307 of 365 in D1. Trending up strongly 🔴.

Figure 2: Offensive Four Factors comparison across Northeast teams. The radar chart shows each team’s shooting efficiency (eFG%), ball security (TOV%), offensive rebounding (OREB%), and free throw generation (FT Rate).

Figure 3: Defensive Four Factors comparison across Northeast teams. The radar chart shows each team’s opponent shooting defense (Opp eFG%), ball disruption (forcing TOV%), defensive rebounding (DREB%), and opponent free throw prevention (Opp FT Rate).

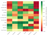
Figure 4: MACD trends heatmap showing which metrics are improving (green) or declining (red) for each team. Stronger colors indicate more pronounced trends.
Looking Ahead
As Northeast teams continue their season, the MACD trending indicators will help identify which teams are genuinely improving versus those riding unsustainable momentum. Check back next week for updated analysis.
Metrics Glossary
Four Factors (Dean Oliver’s framework for basketball success):
- eFG% (Effective Field Goal %): Field goal percentage adjusted for 3-pointers being worth more (FGM + 0.5×3PM) / FGA. Higher is better offensively, lower is better defensively.
- TOV% (Turnover Rate): Turnovers per 100 possessions. Lower is better offensively (taking care of the ball), higher is better defensively (forcing turnovers).
- OREB% / DREB% (Offensive/Defensive Rebound Rate): Percentage of available rebounds grabbed. Offensive rebounds create second-chance points; defensive rebounds end opponent possessions.
- FTR (Free Throw Rate): Free throws made per field goal attempt (FTM/FGA). Measures ability to get to the line AND convert. Higher is better offensively, lower is better defensively.
Other Metrics:
- Elo Rating: Chess-style rating system that updates based on game results and opponent strength. Higher Elo indicates stronger team.
- Efficiency Margin: Point differential per 100 possessions (Offensive Efficiency – Defensive Efficiency). Accounts for pace of play.
- MACD (Moving Average Convergence Divergence): Trend indicator comparing 12-game and 26-game exponential moving averages. Positive MACD = improving trend, Negative MACD = declining trend.
Analysis powered by HoopSci’s advanced metrics and MACD trending indicators.

