Southland Update: Week 10
January 12, 2026The Southland enters Week 10 with teams showing diverse trending patterns. This analysis examines each team’s performance trends using MACD (Moving Average Convergence Divergence) indicators to identify not just where teams stand, but where they’re headed.

Figure 1: Efficiency margin trends for Southland teams throughout the season. Teams trending upward show improving performance, while downward trends indicate struggles.
Conference Snapshot
- Week Dates: January 05 – January 11, 2026
- Trending Up (Efficiency): New Orleans, Nicholls, Northwestern St, Texas A&M-CC, SF Austin
- Trending Down (Efficiency): Houston Baptist, Incarnate Word, McNeese, SE Louisiana, Lamar
Team-by-Team Analysis
Houston Baptist
Record: 5-11 | Elo: 1339.9 (ranked 356 of 365) | Efficiency Margin: -22.54 (ranked 337 of 365)
Offensive Trends:
- Adj Off Eff (Adjusted Offensive Efficiency): Currently ranked 284 of 365 in D1. Trending up strongly 🟢.
- FGA Per Poss (Field Goal Attempts Per Possession (%)): Currently ranked 300 of 365 in D1. Trending down strongly 🔴.
Defensive Trends:
- Opp Turnovers (Opp Turnovers): Currently ranked 309 of 365 in D1. Trending down strongly 🟢.
- Def Reb Pct (Defensive Rebounding): Currently ranked 194 of 365 in D1. Trending down strongly 🔴.
Incarnate Word
Record: 8-8 | Elo: 1419.6 (ranked 286 of 365) | Efficiency Margin: -17.11 (ranked 301 of 365)
Offensive Trends:
- Shooting (Shooting): Currently ranked 239 of 365 in D1. Trending down strongly 🔴.
- Off Reb Pct (Offensive Rebounding): Currently ranked 169 of 365 in D1. Trending down strongly 🔴.
Defensive Trends:
- Opp Shooting (Opp Shooting): Currently ranked 277 of 365 in D1. Trending down moderately 🟢.
- Opp FT Rate (Opp FTA/FGA (%)): Currently ranked 315 of 365 in D1. Trending down moderately 🟢.
Lamar
Record: 8-8 | Elo: 1480.3 (ranked 222 of 365) | Efficiency Margin: -9.66 (ranked 244 of 365)
Offensive Trends:
- FG Pct (Field Goal Percentage (FGM/FGA)): Currently ranked 323 of 365 in D1. Trending down strongly 🔴.
- FTM Per Poss (Free Throw Makes Per Possession (%)): Currently ranked 297 of 365 in D1. Trending up strongly 🟢.
Defensive Trends:
- Opp FT Rate (Opp FTA/FGA (%)): Currently ranked 341 of 365 in D1. Trending up strongly 🔴.
- Opp FGA Per Poss (Opp FG Attempts Per Possession (%)): Currently ranked 14 of 365 in D1. Trending down strongly 🟢.
McNeese
Record: 13-3 | Elo: 1649.0 (ranked 34 of 365) | Efficiency Margin: +8.58 (ranked 101 of 365)
Offensive Trends:
- Adj Off Eff (Adjusted Offensive Efficiency): Currently ranked 93 of 365 in D1. Trending up strongly 🟢.
- FGA Per Poss (Field Goal Attempts Per Possession (%)): Currently ranked 26 of 365 in D1. Trending up strongly 🟢.
Defensive Trends:
- Def Reb Pct (Defensive Rebounding): Currently ranked 345 of 365 in D1. Trending down strongly 🔴.
- Opp FT Rate (Opp FTA/FGA (%)): Currently ranked 313 of 365 in D1. Trending up strongly 🔴.
New Orleans
Record: 5-11 | Elo: 1330.3 (ranked 359 of 365) | Efficiency Margin: -12.81 (ranked 264 of 365)
Offensive Trends:
- Off Reb Pct (Offensive Rebounding): Currently ranked 59 of 365 in D1. Trending up strongly 🟢.
- Adj Off Eff (Adjusted Offensive Efficiency): Currently ranked 221 of 365 in D1. Trending up strongly 🟢.
Defensive Trends:
- Opp 2PM Per Poss (Opp 2 Point Makes Per Possession (%)): Currently ranked 161 of 365 in D1. Trending down strongly 🟢.
- Opp 2Pt Pct (Opp 2 Point FGM/FGA (%)): Currently ranked 143 of 365 in D1. Trending down strongly 🟢.
Nicholls
Record: 8-8 | Elo: 1514.9 (ranked 159 of 365) | Efficiency Margin: -7.97 (ranked 228 of 365)
Offensive Trends:
- Shooting (Shooting): Currently ranked 142 of 365 in D1. Trending up strongly 🟢.
- Adj Off Eff (Adjusted Offensive Efficiency): Currently ranked 217 of 365 in D1. Trending up strongly 🟢.
Defensive Trends:
- Opp Shooting (Opp Shooting): Currently ranked 317 of 365 in D1. Trending up strongly 🔴.
- Opp Turnovers (Opp Turnovers): Currently ranked 11 of 365 in D1. Trending up strongly 🔴.
Northwestern St
Record: 5-11 | Elo: 1416.2 (ranked 291 of 365) | Efficiency Margin: -22.43 (ranked 336 of 365)
Offensive Trends:
- FT Rate (FTA/FGA (%)): Currently ranked 37 of 365 in D1. Trending up strongly 🟢.
- FG Pct (Field Goal Percentage (FGM/FGA)): Currently ranked 213 of 365 in D1. Trending up strongly 🟢.
Defensive Trends:
- Def Reb Pct (Defensive Rebounding): Currently ranked 329 of 365 in D1. Trending up strongly 🟢.
- Opp FG Pct (%) (Opp FGM/FGA (%)): Currently ranked 349 of 365 in D1. Trending up strongly 🔴.
SE Louisiana
Record: 5-11 | Elo: 1432.2 (ranked 272 of 365) | Efficiency Margin: -14.23 (ranked 275 of 365)
Offensive Trends:
- FT Rate (FTA/FGA (%)): Currently ranked 70 of 365 in D1. Trending up strongly 🟢.
- 2PA Per Poss (2 Point Attempts Per Possession (%)): Currently ranked 237 of 365 in D1. Trending down strongly 🔴.
Defensive Trends:
- Opp Shooting (Opp Shooting): Currently ranked 226 of 365 in D1. Trending down strongly 🟢.
- Def Reb Pct (Defensive Rebounding): Currently ranked 192 of 365 in D1. Trending down strongly 🔴.
SF Austin
Record: 13-3 | Elo: 1528.0 (ranked 143 of 365) | Efficiency Margin: +3.49 (ranked 132 of 365)
Offensive Trends:
- Turnovers (Turnovers): Currently ranked 37 of 365 in D1. Trending down strongly 🟢.
- FT Rate (FTA/FGA (%)): Currently ranked 328 of 365 in D1. Trending down strongly 🔴.
Defensive Trends:
- Opp Turnovers (Opp Turnovers): Currently ranked 210 of 365 in D1. Trending down strongly 🟢.
- Opp Assists per FGM (Opp Assists/FGM (%)): Currently ranked 33 of 365 in D1. Trending down strongly 🟢.
Texas A&M-CC
Record: 8-8 | Elo: 1479.8 (ranked 223 of 365) | Efficiency Margin: -10.58 (ranked 252 of 365)
Offensive Trends:
- Adj Off Eff (Adjusted Offensive Efficiency): Currently ranked 318 of 365 in D1. Trending down strongly 🔴.
- Balls Blocked Per FGA (Balls Blocked Per Shot Attempt): Currently ranked 320 of 365 in D1. Trending down strongly 🔴.
Defensive Trends:
- Opp Turnovers (Opp Turnovers): Currently ranked 68 of 365 in D1. Trending up strongly 🔴.
- Opp FGA Per Poss (Opp FG Attempts Per Possession (%)): Currently ranked 16 of 365 in D1. Trending down strongly 🟢.
Texas A&M-Commerce
Record: 7-10 | Elo: 1357.9 (ranked 343 of 365) | Efficiency Margin: -21.14 (ranked 328 of 365)
Offensive Trends:
- Adj Off Eff (Adjusted Offensive Efficiency): Currently ranked 339 of 365 in D1. Trending up strongly 🟢.
- Assists per FGM (Assists/FGM (%)): Currently ranked 7 of 365 in D1. Trending up moderately 🟢.
Defensive Trends:
- Opp Turnovers (Opp Turnovers): Currently ranked 139 of 365 in D1. Trending down strongly 🟢.
- Opp FT Rate (Opp FTA/FGA (%)): Currently ranked 163 of 365 in D1. Trending down strongly 🟢.
UT Rio Grande
Record: 6-10 | Elo: 1378.9 (ranked 323 of 365) | Efficiency Margin: -7.14 (ranked 221 of 365)
Offensive Trends:
- FT Pct (FTM/FTA (%)): Currently ranked 179 of 365 in D1. Trending up strongly 🟢.
- Balls Stolen Per Poss (Balls Stolen Per Possession): Currently ranked 91 of 365 in D1. Trending up strongly 🟢.
Defensive Trends:
- Opp Assists per FGM (Opp Assists/FGM (%)): Currently ranked 342 of 365 in D1. Trending up strongly 🔴.
- Opp Off Tempo (Opp Offensive Possessions Per Game): Currently ranked 204 of 365 in D1. Trending down strongly 🟢.

Figure 2: Offensive Four Factors comparison across Southland teams. The radar chart shows each team’s shooting efficiency (eFG%), ball security (TOV%), offensive rebounding (OREB%), and free throw generation (FT Rate).

Figure 3: Defensive Four Factors comparison across Southland teams. The radar chart shows each team’s opponent shooting defense (Opp eFG%), ball disruption (forcing TOV%), defensive rebounding (DREB%), and opponent free throw prevention (Opp FT Rate).

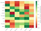
Figure 4: MACD trends heatmap showing which metrics are improving (green) or declining (red) for each team. Stronger colors indicate more pronounced trends.
Looking Ahead
As Southland teams continue their season, the MACD trending indicators will help identify which teams are genuinely improving versus those riding unsustainable momentum. Check back next week for updated analysis.
Metrics Glossary
Four Factors (Dean Oliver’s framework for basketball success):
- eFG% (Effective Field Goal %): Field goal percentage adjusted for 3-pointers being worth more (FGM + 0.5×3PM) / FGA. Higher is better offensively, lower is better defensively.
- TOV% (Turnover Rate): Turnovers per 100 possessions. Lower is better offensively (taking care of the ball), higher is better defensively (forcing turnovers).
- OREB% / DREB% (Offensive/Defensive Rebound Rate): Percentage of available rebounds grabbed. Offensive rebounds create second-chance points; defensive rebounds end opponent possessions.
- FTR (Free Throw Rate): Free throws made per field goal attempt (FTM/FGA). Measures ability to get to the line AND convert. Higher is better offensively, lower is better defensively.
Other Metrics:
- Elo Rating: Chess-style rating system that updates based on game results and opponent strength. Higher Elo indicates stronger team.
- Efficiency Margin: Point differential per 100 possessions (Offensive Efficiency – Defensive Efficiency). Accounts for pace of play.
- MACD (Moving Average Convergence Divergence): Trend indicator comparing 12-game and 26-game exponential moving averages. Positive MACD = improving trend, Negative MACD = declining trend.
Analysis powered by HoopSci’s advanced metrics and MACD trending indicators.

