Atlantic 10 Update: Week 11
January 19, 2026The Atlantic 10 enters Week 11 with teams showing diverse trending patterns. This analysis examines each team’s performance trends using MACD (Moving Average Convergence Divergence) indicators to identify not just where teams stand, but where they’re headed.

Figure 1: Efficiency margin trends for Atlantic 10 teams throughout the season. Teams trending upward show improving performance, while downward trends indicate struggles.
Conference Snapshot
- Week Dates: January 12 – January 18, 2026
- Trending Up (Efficiency): Duquesne, George Mason, G Washington, La Salle, URI
- Trending Down (Efficiency): Davidson, Dayton, Fordham, Richmond, Saint Joe’s
Team-by-Team Analysis
Davidson
Record: 11-6 | Elo: 1523.2 (ranked 148 of 365) | Efficiency Margin: +5.76 (ranked 116 of 365)
Offensive Trends:
- Off Reb Pct (Offensive Rebounding): Currently ranked 249 of 365 in D1. Trending up strongly 🟢.
- 2PM Per Poss (2 Point Makes Per Possession (%)): Currently ranked 285 of 365 in D1. Trending down strongly 🔴.
Defensive Trends:
- Opp Assists per FGM (Opp Assists/FGM (%)): Currently ranked 42 of 365 in D1. Trending up strongly 🔴.
- Opp Turnovers (Opp Turnovers): Currently ranked 183 of 365 in D1. Trending down moderately 🟢.
Dayton
Record: 14-4 | Elo: 1652.7 (ranked 36 of 365) | Efficiency Margin: +16.93 (ranked 44 of 365)
Offensive Trends:
- FT Rate (FTA/FGA (%)): Currently ranked 4 of 365 in D1. Trending up strongly 🟢.
- FGM Per Poss (Field Goal Makes Per Possession (%)): Currently ranked 288 of 365 in D1. Trending down strongly 🔴.
Defensive Trends:
- Opp Shooting (Opp Shooting): Currently ranked 140 of 365 in D1. Trending down strongly 🟢.
- Opp Turnovers (Opp Turnovers): Currently ranked 4 of 365 in D1. Trending up strongly 🔴.
Duquesne
Record: 10-8 | Elo: 1501.4 (ranked 188 of 365) | Efficiency Margin: +4.25 (ranked 121 of 365)
Offensive Trends:
- Off Reb Pct (Offensive Rebounding): Currently ranked 194 of 365 in D1. Trending down strongly 🔴.
- Adj Off Eff (Adjusted Offensive Efficiency): Currently ranked 124 of 365 in D1. Trending up strongly 🟢.
Defensive Trends:
- Opp Turnovers (Opp Turnovers): Currently ranked 155 of 365 in D1. Trending down strongly 🟢.
- Opp FGA Per Poss (Opp FG Attempts Per Possession (%)): Currently ranked 73 of 365 in D1. Trending up strongly 🔴.
Fordham
Record: 9-9 | Elo: 1428.6 (ranked 272 of 365) | Efficiency Margin: -2.14 (ranked 179 of 365)
Offensive Trends:
- Shooting (Shooting): Currently ranked 274 of 365 in D1. Trending down strongly 🔴.
- FT Rate (FTA/FGA (%)): Currently ranked 364 of 365 in D1. Trending down strongly 🔴.
Defensive Trends:
- Opp 2Pt Rate (Opp 2 Point Attempts/FGA (%)): Currently ranked 161 of 365 in D1. Trending down strongly 🟢.
- Opp 2PM Per Poss (Opp 2 Point Makes Per Possession (%)): Currently ranked 94 of 365 in D1. Trending down strongly 🟢.
G Washington
Record: 12-6 | Elo: 1538.4 (ranked 127 of 365) | Efficiency Margin: +13.16 (ranked 71 of 365)
Offensive Trends:
- Turnovers (Turnovers): Currently ranked 200 of 365 in D1. Trending down strongly 🟢.
- Off Reb Pct (Offensive Rebounding): Currently ranked 29 of 365 in D1. Trending up strongly 🟢.
Defensive Trends:
- Opp FT Rate (Opp FTA/FGA (%)): Currently ranked 134 of 365 in D1. Trending up strongly 🔴.
- Opp 2Pt Rate (Opp 2 Point Attempts/FGA (%)): Currently ranked 80 of 365 in D1. Trending down strongly 🟢.
George Mason
Record: 17-1 | Elo: 1685.2 (ranked 22 of 365) | Efficiency Margin: +14.82 (ranked 59 of 365)
Offensive Trends:
- Turnovers (Turnovers): Currently ranked 27 of 365 in D1. Trending down strongly 🟢.
- Off Reb Pct (Offensive Rebounding): Currently ranked 195 of 365 in D1. Trending down strongly 🔴.
Defensive Trends:
- Opp Turnovers (Opp Turnovers): Currently ranked 212 of 365 in D1. Trending down strongly 🟢.
- Opp FGM Per Poss (Opp FG Makes Per Possession (%)): Currently ranked 96 of 365 in D1. Trending up strongly 🔴.
La Salle
Record: 6-13 | Elo: 1427.4 (ranked 276 of 365) | Efficiency Margin: -10.18 (ranked 249 of 365)
Offensive Trends:
- Shooting (Shooting): Currently ranked 311 of 365 in D1. Trending up strongly 🟢.
- FT Rate (FTA/FGA (%)): Currently ranked 119 of 365 in D1. Trending up strongly 🟢.
Defensive Trends:
- Opp Shooting (Opp Shooting): Currently ranked 308 of 365 in D1. Trending up strongly 🔴.
- Opp FGM Per Poss (Opp FG Makes Per Possession (%)): Currently ranked 324 of 365 in D1. Trending up strongly 🔴.
Loyola-Chicago
Record: 5-14 | Elo: 1495.7 (ranked 198 of 365) | Efficiency Margin: -16.05 (ranked 298 of 365)
Offensive Trends:
- Shooting (Shooting): Currently ranked 251 of 365 in D1. Trending down strongly 🔴.
- Turnovers (Turnovers): Currently ranked 332 of 365 in D1. Trending up strongly 🔴.
Defensive Trends:
- Opp FT Rate (Opp FTA/FGA (%)): Currently ranked 156 of 365 in D1. Trending up strongly 🔴.
- Opp 3PM Per Poss (Opp 3 Point Makes Per Possession (%)): Currently ranked 356 of 365 in D1. Trending up strongly 🔴.
Richmond
Record: 13-6 | Elo: 1503.4 (ranked 181 of 365) | Efficiency Margin: +6.87 (ranked 108 of 365)
Offensive Trends:
- Turnovers (Turnovers): Currently ranked 43 of 365 in D1. Trending down strongly 🟢.
- Adj Off Eff (Adjusted Offensive Efficiency): Currently ranked 97 of 365 in D1. Trending up strongly 🟢.
Defensive Trends:
- Def Reb Pct (Defensive Rebounding): Currently ranked 127 of 365 in D1. Trending down strongly 🔴.
- Opp FT Rate (Opp FTA/FGA (%)): Currently ranked 70 of 365 in D1. Trending down strongly 🟢.
Saint Joe’s
Record: 11-7 | Elo: 1553.8 (ranked 109 of 365) | Efficiency Margin: -0.09 (ranked 160 of 365)
Offensive Trends:
- Fouls Drawn Per Poss (Fouls Drawn Per Possession): Currently ranked 332 of 365 in D1. Trending down strongly 🟢.
- Adj Def Eff (Adjusted Defensive Efficiency): Currently ranked 116 of 365 in D1. Trending up strongly 🟢.
Defensive Trends:
- Opp 3PA Per Poss (Opp 3 Point Attempts Per Possession (%)): Currently ranked 152 of 365 in D1. Trending up strongly 🔴.
- Def Reb Pct (Defensive Rebounding): Currently ranked 180 of 365 in D1. Trending down moderately 🔴.
Saint Louis
Record: 17-1 | Elo: 1629.5 (ranked 49 of 365) | Efficiency Margin: +24.28 (ranked 27 of 365)
Offensive Trends:
- Shooting (Shooting): Currently ranked 4 of 365 in D1. Trending up strongly 🟢.
- Turnovers (Turnovers): Currently ranked 188 of 365 in D1. Trending down strongly 🟢.
Defensive Trends:
- Opp Shooting (Opp Shooting): Currently ranked 1 of 365 in D1. Trending down strongly 🟢.
- Opp FT Rate (Opp FTA/FGA (%)): Currently ranked 221 of 365 in D1. Trending up strongly 🔴.
St Bonaventure
Record: 11-7 | Elo: 1549.1 (ranked 117 of 365) | Efficiency Margin: +3.12 (ranked 137 of 365)
Offensive Trends:
- FGM Per Poss (Field Goal Makes Per Possession (%)): Currently ranked 26 of 365 in D1. Trending up strongly 🟢.
- FGA Per Poss (Field Goal Attempts Per Possession (%)): Currently ranked 13 of 365 in D1. Trending up strongly 🟢.
Defensive Trends:
- Opp Shooting (Opp Shooting): Currently ranked 258 of 365 in D1. Trending up strongly 🔴.
- Opp FT Rate (Opp FTA/FGA (%)): Currently ranked 153 of 365 in D1. Trending up strongly 🔴.
URI
Record: 10-8 | Elo: 1493.5 (ranked 202 of 365) | Efficiency Margin: +7.23 (ranked 103 of 365)
Offensive Trends:
- FT Rate (FTA/FGA (%)): Currently ranked 149 of 365 in D1. Trending down strongly 🔴.
- 2Pt Rate (2 Point Attempts/FGA (%)): Currently ranked 271 of 365 in D1. Trending down strongly 🔴.
Defensive Trends:
- Def Reb Pct (Defensive Rebounding): Currently ranked 177 of 365 in D1. Trending up strongly 🟢.
- Opp FT Rate (Opp FTA/FGA (%)): Currently ranked 312 of 365 in D1. Trending up strongly 🔴.
VCU
Record: 12-6 | Elo: 1651.2 (ranked 38 of 365) | Efficiency Margin: +17.77 (ranked 41 of 365)
Offensive Trends:
- Turnovers (Turnovers): Currently ranked 110 of 365 in D1. Trending down strongly 🟢.
- Off Reb Pct (Offensive Rebounding): Currently ranked 47 of 365 in D1. Trending down strongly 🔴.
Defensive Trends:
- Opp Shooting (Opp Shooting): Currently ranked 113 of 365 in D1. Trending up strongly 🔴.
- Opp Turnovers (Opp Turnovers): Currently ranked 153 of 365 in D1. Trending down strongly 🟢.

Figure 2: Offensive Four Factors comparison across Atlantic 10 teams. The radar chart shows each team’s shooting efficiency (eFG%), ball security (TOV%), offensive rebounding (OREB%), and free throw generation (FT Rate).

Figure 3: Defensive Four Factors comparison across Atlantic 10 teams. The radar chart shows each team’s opponent shooting defense (Opp eFG%), ball disruption (forcing TOV%), defensive rebounding (DREB%), and opponent free throw prevention (Opp FT Rate).

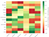
Figure 4: MACD trends heatmap showing which metrics are improving (green) or declining (red) for each team. Stronger colors indicate more pronounced trends.
Looking Ahead
As Atlantic 10 teams continue their season, the MACD trending indicators will help identify which teams are genuinely improving versus those riding unsustainable momentum. Check back next week for updated analysis.
Metrics Glossary
Four Factors (Dean Oliver’s framework for basketball success):
- eFG% (Effective Field Goal %): Field goal percentage adjusted for 3-pointers being worth more (FGM + 0.5×3PM) / FGA. Higher is better offensively, lower is better defensively.
- TOV% (Turnover Rate): Turnovers per 100 possessions. Lower is better offensively (taking care of the ball), higher is better defensively (forcing turnovers).
- OREB% / DREB% (Offensive/Defensive Rebound Rate): Percentage of available rebounds grabbed. Offensive rebounds create second-chance points; defensive rebounds end opponent possessions.
- FTR (Free Throw Rate): Free throws made per field goal attempt (FTM/FGA). Measures ability to get to the line AND convert. Higher is better offensively, lower is better defensively.
Other Metrics:
- Elo Rating: Chess-style rating system that updates based on game results and opponent strength. Higher Elo indicates stronger team.
- Efficiency Margin: Point differential per 100 possessions (Offensive Efficiency – Defensive Efficiency). Accounts for pace of play.
- MACD (Moving Average Convergence Divergence): Trend indicator comparing 12-game and 26-game exponential moving averages. Positive MACD = improving trend, Negative MACD = declining trend.
Analysis powered by HoopSci’s advanced metrics and MACD trending indicators.

