Big Ten Update: Week 11

Big Ten Update: Week 11

January 19, 2026 0 By Neill White

The Big Ten enters Week 11 with teams showing diverse trending patterns. This analysis examines each team’s performance trends using MACD (Moving Average Convergence Divergence) indicators to identify not just where teams stand, but where they’re headed.


Figure 1: Efficiency margin trends for Big Ten teams throughout the season. Teams trending upward show improving performance, while downward trends indicate struggles.

Conference Snapshot


Team-by-Team Analysis

Illinois

Record: 15-3 | Elo: 1697.6 (ranked 20 of 365) | Efficiency Margin: +30.74 (ranked 12 of 365)

Offensive Trends:

  • Adj Off Eff (Adjusted Offensive Efficiency): Currently ranked 2 of 365 in D1. Trending up strongly 🟢.
  • FGA Per Poss (Field Goal Attempts Per Possession (%)): Currently ranked 8 of 365 in D1. Trending up strongly 🟢.

Defensive Trends:

  • Def Reb Pct (Defensive Rebounding): Currently ranked 83 of 365 in D1. Trending down strongly 🔴.
  • Opp FT Rate (Opp FTA/FGA (%)): Currently ranked 2 of 365 in D1. Trending down strongly 🟢.

Indiana

Record: 12-6 | Elo: 1595.6 (ranked 73 of 365) | Efficiency Margin: +21.38 (ranked 34 of 365)

Offensive Trends:

  • 2Pt Rate (2 Point Attempts/FGA (%)): Currently ranked 352 of 365 in D1. Trending down strongly 🔴.
  • 2PM Per Poss (2 Point Makes Per Possession (%)): Currently ranked 279 of 365 in D1. Trending down strongly 🔴.

Defensive Trends:

  • Opp Shooting (Opp Shooting): Currently ranked 26 of 365 in D1. Trending up strongly 🔴.
  • Def Reb Pct (Defensive Rebounding): Currently ranked 112 of 365 in D1. Trending down strongly 🔴.

Iowa

Record: 13-5 | Elo: 1605.1 (ranked 65 of 365) | Efficiency Margin: +30.65 (ranked 13 of 365)

Offensive Trends:

  • FT Pct (FTM/FTA (%)): Currently ranked 70 of 365 in D1. Trending up strongly 🟢.
  • Off Tempo (Offensive Possessions Per Game): Currently ranked 358 of 365 in D1. Trending down strongly 🔴.

Defensive Trends:

  • Opp Assists per FGM (Opp Assists/FGM (%)): Currently ranked 117 of 365 in D1. Trending up strongly 🔴.
  • Opp Off Tempo (Opp Offensive Possessions Per Game): Currently ranked 360 of 365 in D1. Trending down strongly 🟢.

Maryland

Record: 8-10 | Elo: 1578.9 (ranked 87 of 365) | Efficiency Margin: +3.08 (ranked 138 of 365)

Offensive Trends:

  • Adj Off Eff (Adjusted Offensive Efficiency): Currently ranked 140 of 365 in D1. Trending down strongly 🔴.
  • FGA Per Poss (Field Goal Attempts Per Possession (%)): Currently ranked 275 of 365 in D1. Trending up strongly 🟢.

Defensive Trends:

  • Opp Shooting (Opp Shooting): Currently ranked 273 of 365 in D1. Trending up strongly 🔴.
  • Opp Turnovers (Opp Turnovers): Currently ranked 161 of 365 in D1. Trending down strongly 🟢.

Michigan

Record: 16-1 | Elo: 1727.7 (ranked 10 of 365) | Efficiency Margin: +43.55 (ranked 1 of 365)

Offensive Trends:

  • Turnovers (Turnovers): Currently ranked 147 of 365 in D1. Trending down strongly 🟢.
  • FT Rate (FTA/FGA (%)): Currently ranked 79 of 365 in D1. Trending up strongly 🟢.

Defensive Trends:

  • Opp Assists per FGM (Opp Assists/FGM (%)): Currently ranked 7 of 365 in D1. Trending down strongly 🟢.
  • Opp Turnovers (Opp Turnovers): Currently ranked 172 of 365 in D1. Trending up moderately 🔴.

Michigan State

Record: 16-2 | Elo: 1743.9 (ranked 8 of 365) | Efficiency Margin: +28.97 (ranked 19 of 365)

Offensive Trends:

  • 2Pt Rate (2 Point Attempts/FGA (%)): Currently ranked 117 of 365 in D1. Trending down strongly 🔴.
  • 2PA Per Poss (2 Point Attempts Per Possession (%)): Currently ranked 79 of 365 in D1. Trending down strongly 🔴.

Defensive Trends:

  • Def Reb Pct (Defensive Rebounding): Currently ranked 1 of 365 in D1. Trending up strongly 🟢.
  • Opp 2Pt Rate (Opp 2 Point Attempts/FGA (%)): Currently ranked 18 of 365 in D1. Trending down strongly 🟢.

Minnesota

Record: 10-8 | Elo: 1519.1 (ranked 154 of 365) | Efficiency Margin: +10.95 (ranked 81 of 365)

Offensive Trends:

  • Turnovers (Turnovers): Currently ranked 164 of 365 in D1. Trending down strongly 🟢.
  • FGA Per Poss (Field Goal Attempts Per Possession (%)): Currently ranked 284 of 365 in D1. Trending up strongly 🟢.

Defensive Trends:

  • Def Reb Pct (Defensive Rebounding): Currently ranked 67 of 365 in D1. Trending down strongly 🔴.
  • Opp 2Pt Rate (Opp 2 Point Attempts/FGA (%)): Currently ranked 136 of 365 in D1. Trending down strongly 🟢.

Nebraska

Record: 18-0 | Elo: 1703.8 (ranked 18 of 365) | Efficiency Margin: +31.39 (ranked 9 of 365)

Offensive Trends:

  • Shooting (Shooting): Currently ranked 35 of 365 in D1. Trending up strongly 🟢.
  • Turnovers (Turnovers): Currently ranked 8 of 365 in D1. Trending down strongly 🟢.

Defensive Trends:

  • Opp Turnovers (Opp Turnovers): Currently ranked 83 of 365 in D1. Trending up strongly 🔴.
  • Opp FGA Per Poss (Opp FG Attempts Per Possession (%)): Currently ranked 266 of 365 in D1. Trending down strongly 🟢.

Northwestern

Record: 8-10 | Elo: 1511.5 (ranked 166 of 365) | Efficiency Margin: +14.46 (ranked 64 of 365)

Offensive Trends:

  • Shooting (Shooting): Currently ranked 146 of 365 in D1. Trending down strongly 🔴.
  • Adj Off Eff (Adjusted Offensive Efficiency): Currently ranked 54 of 365 in D1. Trending up strongly 🟢.

Defensive Trends:

  • Opp Shooting (Opp Shooting): Currently ranked 75 of 365 in D1. Trending up strongly 🔴.
  • Opp Turnovers (Opp Turnovers): Currently ranked 232 of 365 in D1. Trending down strongly 🟢.

Ohio State

Record: 12-5 | Elo: 1599.8 (ranked 70 of 365) | Efficiency Margin: +22.51 (ranked 30 of 365)

Offensive Trends:

  • Off Reb Pct (Offensive Rebounding): Currently ranked 112 of 365 in D1. Trending up strongly 🟢.
  • Balls Stolen Per Poss (Balls Stolen Per Possession): Currently ranked 90 of 365 in D1. Trending up strongly 🟢.

Defensive Trends:

  • Opp Turnovers (Opp Turnovers): Currently ranked 287 of 365 in D1. Trending down strongly 🟢.
  • Def Reb Pct (Defensive Rebounding): Currently ranked 165 of 365 in D1. Trending down strongly 🔴.

Oregon

Record: 8-10 | Elo: 1587.0 (ranked 79 of 365) | Efficiency Margin: +6.79 (ranked 109 of 365)

Offensive Trends:

  • FTM Per Poss (Free Throw Makes Per Possession (%)): Currently ranked 157 of 365 in D1. Trending down strongly 🔴.
  • FT Pct (FTM/FTA (%)): Currently ranked 234 of 365 in D1. Trending down strongly 🔴.

Defensive Trends:

  • Opp FT Rate (Opp FTA/FGA (%)): Currently ranked 123 of 365 in D1. Trending up strongly 🔴.
  • Opp 2Pt Rate (Opp 2 Point Attempts/FGA (%)): Currently ranked 141 of 365 in D1. Trending down strongly 🟢.

Penn State

Record: 9-9 | Elo: 1509.9 (ranked 169 of 365) | Efficiency Margin: +4.48 (ranked 120 of 365)

Offensive Trends:

  • Off Reb Pct (Offensive Rebounding): Currently ranked 257 of 365 in D1. Trending down strongly 🔴.
  • 2Pt Rate (2 Point Attempts/FGA (%)): Currently ranked 175 of 365 in D1. Trending down strongly 🔴.

Defensive Trends:

  • Opp Shooting (Opp Shooting): Currently ranked 338 of 365 in D1. Trending up strongly 🔴.
  • Def Reb Pct (Defensive Rebounding): Currently ranked 221 of 365 in D1. Trending down strongly 🔴.

Purdue

Record: 17-1 | Elo: 1763.1 (ranked 6 of 365) | Efficiency Margin: +36.63 (ranked 4 of 365)

Offensive Trends:

  • Off Reb Pct (Offensive Rebounding): Currently ranked 18 of 365 in D1. Trending down strongly 🔴.
  • Adj Off Eff (Adjusted Offensive Efficiency): Currently ranked 1 of 365 in D1. Trending up strongly 🟢.

Defensive Trends:

  • Def Reb Pct (Defensive Rebounding): Currently ranked 44 of 365 in D1. Trending up strongly 🟢.
  • Opp FTM Per Poss (Opp Free Throw Makes Per Possession (%)): Currently ranked 3 of 365 in D1. Trending down strongly 🟢.

Rutgers

Record: 9-9 | Elo: 1521.0 (ranked 151 of 365) | Efficiency Margin: +3.13 (ranked 136 of 365)

Offensive Trends:

  • Turnovers (Turnovers): Currently ranked 135 of 365 in D1. Trending down strongly 🟢.
  • Adj Off Eff (Adjusted Offensive Efficiency): Currently ranked 165 of 365 in D1. Trending down strongly 🔴.

Defensive Trends:

  • Opp Turnovers (Opp Turnovers): Currently ranked 191 of 365 in D1. Trending down strongly 🟢.
  • Opp FT Rate (Opp FTA/FGA (%)): Currently ranked 57 of 365 in D1. Trending up strongly 🔴.

UCLA

Record: 12-6 | Elo: 1625.5 (ranked 53 of 365) | Efficiency Margin: +17.88 (ranked 40 of 365)

Offensive Trends:

  • Turnovers (Turnovers): Currently ranked 47 of 365 in D1. Trending down strongly 🟢.
  • FTM Per Poss (Free Throw Makes Per Possession (%)): Currently ranked 77 of 365 in D1. Trending up strongly 🟢.

Defensive Trends:

  • Def Reb Pct (Defensive Rebounding): Currently ranked 256 of 365 in D1. Trending down strongly 🔴.
  • Opp FT Rate (Opp FTA/FGA (%)): Currently ranked 216 of 365 in D1. Trending up strongly 🔴.

USC

Record: 14-4 | Elo: 1602.6 (ranked 69 of 365) | Efficiency Margin: +14.78 (ranked 60 of 365)

Offensive Trends:

  • Shooting (Shooting): Currently ranked 128 of 365 in D1. Trending down strongly 🔴.
  • FT Rate (FTA/FGA (%)): Currently ranked 7 of 365 in D1. Trending down strongly 🔴.

Defensive Trends:

  • Def Reb Pct (Defensive Rebounding): Currently ranked 157 of 365 in D1. Trending up strongly 🟢.
  • Opp FGM Per Poss (Opp FG Makes Per Possession (%)): Currently ranked 67 of 365 in D1. Trending down strongly 🟢.

Washington

Record: 10-8 | Elo: 1520.5 (ranked 152 of 365) | Efficiency Margin: +13.80 (ranked 69 of 365)

Offensive Trends:

  • Adj Off Eff (Adjusted Offensive Efficiency): Currently ranked 71 of 365 in D1. Trending up strongly 🟢.
  • 2PM Per Poss (2 Point Makes Per Possession (%)): Currently ranked 40 of 365 in D1. Trending up strongly 🟢.

Defensive Trends:

  • Def Reb Pct (Defensive Rebounding): Currently ranked 132 of 365 in D1. Trending down strongly 🔴.
  • Opp FT Rate (Opp FTA/FGA (%)): Currently ranked 80 of 365 in D1. Trending down strongly 🟢.

Wisconsin

Record: 13-5 | Elo: 1667.3 (ranked 28 of 365) | Efficiency Margin: +17.11 (ranked 43 of 365)

Offensive Trends:

  • Off Reb Pct (Offensive Rebounding): Currently ranked 247 of 365 in D1. Trending down strongly 🔴.
  • FT Rate (FTA/FGA (%)): Currently ranked 148 of 365 in D1. Trending up strongly 🟢.

Defensive Trends:

  • Opp FGM Per Poss (Opp FG Makes Per Possession (%)): Currently ranked 180 of 365 in D1. Trending up strongly 🔴.
  • Opp FG Pct (%) (Opp FGM/FGA (%)): Currently ranked 169 of 365 in D1. Trending up strongly 🔴.


Figure 2: Offensive Four Factors comparison across Big Ten teams. The radar chart shows each team’s shooting efficiency (eFG%), ball security (TOV%), offensive rebounding (OREB%), and free throw generation (FT Rate).


Figure 3: Defensive Four Factors comparison across Big Ten teams. The radar chart shows each team’s opponent shooting defense (Opp eFG%), ball disruption (forcing TOV%), defensive rebounding (DREB%), and opponent free throw prevention (Opp FT Rate).


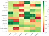
Figure 4: MACD trends heatmap showing which metrics are improving (green) or declining (red) for each team. Stronger colors indicate more pronounced trends.


Looking Ahead

As Big Ten teams continue their season, the MACD trending indicators will help identify which teams are genuinely improving versus those riding unsustainable momentum. Check back next week for updated analysis.


Metrics Glossary

Four Factors (Dean Oliver’s framework for basketball success):

  • eFG% (Effective Field Goal %): Field goal percentage adjusted for 3-pointers being worth more (FGM + 0.5×3PM) / FGA. Higher is better offensively, lower is better defensively.
  • TOV% (Turnover Rate): Turnovers per 100 possessions. Lower is better offensively (taking care of the ball), higher is better defensively (forcing turnovers).
  • OREB% / DREB% (Offensive/Defensive Rebound Rate): Percentage of available rebounds grabbed. Offensive rebounds create second-chance points; defensive rebounds end opponent possessions.
  • FTR (Free Throw Rate): Free throws made per field goal attempt (FTM/FGA). Measures ability to get to the line AND convert. Higher is better offensively, lower is better defensively.

Other Metrics:

  • Elo Rating: Chess-style rating system that updates based on game results and opponent strength. Higher Elo indicates stronger team.
  • Efficiency Margin: Point differential per 100 possessions (Offensive Efficiency – Defensive Efficiency). Accounts for pace of play.
  • MACD (Moving Average Convergence Divergence): Trend indicator comparing 12-game and 26-game exponential moving averages. Positive MACD = improving trend, Negative MACD = declining trend.

Analysis powered by HoopSci’s advanced metrics and MACD trending indicators.