Coastal Update: Week 11
January 19, 2026The Coastal enters Week 11 with teams showing diverse trending patterns. This analysis examines each team’s performance trends using MACD (Moving Average Convergence Divergence) indicators to identify not just where teams stand, but where they’re headed.

Figure 1: Efficiency margin trends for Colonial teams throughout the season. Teams trending upward show improving performance, while downward trends indicate struggles.
Conference Snapshot
- Week Dates: January 12 – January 18, 2026
- Trending Up (Efficiency): Charleston, Drexel, Elon, Hofstra, Northeastern
- Trending Down (Efficiency): Towson, UNC Wilmington, William & Mary, Hampton, Monmouth
Team-by-Team Analysis
Campbell
Record: 8-10 | Elo: 1470.5 (ranked 231 of 365) | Efficiency Margin: -7.04 (ranked 221 of 365)
Offensive Trends:
- Shooting (Shooting): Currently ranked 268 of 365 in D1. Trending up strongly 🟢.
- FT Rate (FTA/FGA (%)): Currently ranked 9 of 365 in D1. Trending up strongly 🟢.
Defensive Trends:
- Opp 2Pt Rate (Opp 2 Point Attempts/FGA (%)): Currently ranked 361 of 365 in D1. Trending up strongly 🔴.
- Opp 2PM Per Poss (Opp 2 Point Makes Per Possession (%)): Currently ranked 363 of 365 in D1. Trending up strongly 🔴.
Charleston
Record: 11-8 | Elo: 1593.1 (ranked 76 of 365) | Efficiency Margin: -3.93 (ranked 193 of 365)
Offensive Trends:
- Off Reb Pct (Offensive Rebounding): Currently ranked 241 of 365 in D1. Trending down strongly 🔴.
- FT Rate (FTA/FGA (%)): Currently ranked 23 of 365 in D1. Trending up strongly 🟢.
Defensive Trends:
- Opp Turnovers (Opp Turnovers): Currently ranked 343 of 365 in D1. Trending down strongly 🟢.
- Opp 2Pt Rate (Opp 2 Point Attempts/FGA (%)): Currently ranked 54 of 365 in D1. Trending down strongly 🟢.
Drexel
Record: 9-10 | Elo: 1495.9 (ranked 196 of 365) | Efficiency Margin: -1.26 (ranked 170 of 365)
Offensive Trends:
- 2Pt Rate (2 Point Attempts/FGA (%)): Currently ranked 246 of 365 in D1. Trending down strongly 🔴.
- 2PM Per Poss (2 Point Makes Per Possession (%)): Currently ranked 300 of 365 in D1. Trending down strongly 🔴.
Defensive Trends:
- Opp Shooting (Opp Shooting): Currently ranked 50 of 365 in D1. Trending down strongly 🟢.
- Opp Turnovers (Opp Turnovers): Currently ranked 191 of 365 in D1. Trending up strongly 🔴.
Elon
Record: 12-7 | Elo: 1495.5 (ranked 199 of 365) | Efficiency Margin: +3.89 (ranked 127 of 365)
Offensive Trends:
- Shooting (Shooting): Currently ranked 33 of 365 in D1. Trending up strongly 🟢.
- Off Reb Pct (Offensive Rebounding): Currently ranked 38 of 365 in D1. Trending down strongly 🔴.
Defensive Trends:
- Opp Shooting (Opp Shooting): Currently ranked 300 of 365 in D1. Trending up strongly 🔴.
- Opp Turnovers (Opp Turnovers): Currently ranked 209 of 365 in D1. Trending up strongly 🔴.
Hampton
Record: 8-10 | Elo: 1442.7 (ranked 258 of 365) | Efficiency Margin: -10.97 (ranked 258 of 365)
Offensive Trends:
- Shooting (Shooting): Currently ranked 346 of 365 in D1. Trending down strongly 🔴.
- 3PM Per Poss (3 Point Makes Per Possession (%)): Currently ranked 336 of 365 in D1. Trending down strongly 🔴.
Defensive Trends:
- Opp FT Rate (Opp FTA/FGA (%)): Currently ranked 354 of 365 in D1. Trending up strongly 🔴.
- Opp FGM Per Poss (Opp FG Makes Per Possession (%)): Currently ranked 88 of 365 in D1. Trending down strongly 🟢.
Hofstra
Record: 13-6 | Elo: 1550.6 (ranked 115 of 365) | Efficiency Margin: +10.41 (ranked 84 of 365)
Offensive Trends:
- Off Reb Pct (Offensive Rebounding): Currently ranked 56 of 365 in D1. Trending up strongly 🟢.
- FT Rate (FTA/FGA (%)): Currently ranked 232 of 365 in D1. Trending up strongly 🟢.
Defensive Trends:
- Opp Turnovers (Opp Turnovers): Currently ranked 279 of 365 in D1. Trending down strongly 🟢.
- Opp FGM Per Poss (Opp FG Makes Per Possession (%)): Currently ranked 83 of 365 in D1. Trending up strongly 🔴.
Monmouth
Record: 8-10 | Elo: 1468.6 (ranked 232 of 365) | Efficiency Margin: -1.66 (ranked 172 of 365)
Offensive Trends:
- Shooting (Shooting): Currently ranked 301 of 365 in D1. Trending down strongly 🔴.
- FGM Per Poss (Field Goal Makes Per Possession (%)): Currently ranked 278 of 365 in D1. Trending down strongly 🔴.
Defensive Trends:
- Opp Turnovers (Opp Turnovers): Currently ranked 73 of 365 in D1. Trending up strongly 🔴.
- Opp 2Pt Rate (Opp 2 Point Attempts/FGA (%)): Currently ranked 204 of 365 in D1. Trending down strongly 🟢.
NC A&T
Record: 6-9 | Elo: 1358.1 (ranked 342 of 365) | Efficiency Margin: -9.39 (ranked 243 of 365)
Offensive Trends:
- Shooting (Shooting): Currently ranked 238 of 365 in D1. Trending up strongly 🟢.
- Off Reb Pct (Offensive Rebounding): Currently ranked 106 of 365 in D1. Trending up strongly 🟢.
Defensive Trends:
- Opp Shooting (Opp Shooting): Currently ranked 234 of 365 in D1. Trending up strongly 🔴.
- Def Reb Pct (Defensive Rebounding): Currently ranked 42 of 365 in D1. Trending up strongly 🟢.
Northeastern
Record: 6-11 | Elo: 1462.8 (ranked 239 of 365) | Efficiency Margin: -7.15 (ranked 224 of 365)
Offensive Trends:
- Shooting (Shooting): Currently ranked 93 of 365 in D1. Trending up strongly 🟢.
- Turnovers (Turnovers): Currently ranked 178 of 365 in D1. Trending down strongly 🟢.
Defensive Trends:
- Opp Shooting (Opp Shooting): Currently ranked 319 of 365 in D1. Trending up strongly 🔴.
- Def Reb Pct (Defensive Rebounding): Currently ranked 313 of 365 in D1. Trending down strongly 🔴.
Stony Brook
Record: 11-9 | Elo: 1442.7 (ranked 259 of 365) | Efficiency Margin: -12.37 (ranked 265 of 365)
Offensive Trends:
- Turnovers (Turnovers): Currently ranked 79 of 365 in D1. Trending down strongly 🟢.
- Off Reb Pct (Offensive Rebounding): Currently ranked 311 of 365 in D1. Trending down strongly 🔴.
Defensive Trends:
- Opp 2PM Per Poss (Opp 2 Point Makes Per Possession (%)): Currently ranked 136 of 365 in D1. Trending down strongly 🟢.
- Opp 2Pt Pct (Opp 2 Point FGM/FGA (%)): Currently ranked 94 of 365 in D1. Trending down strongly 🟢.
Towson
Record: 10-9 | Elo: 1561.3 (ranked 98 of 365) | Efficiency Margin: -4.67 (ranked 201 of 365)
Offensive Trends:
- FGM Per Poss (Field Goal Makes Per Possession (%)): Currently ranked 173 of 365 in D1. Trending down strongly 🔴.
- 3PM Per Poss (3 Point Makes Per Possession (%)): Currently ranked 295 of 365 in D1. Trending down strongly 🔴.
Defensive Trends:
- Opp FGM Per Poss (Opp FG Makes Per Possession (%)): Currently ranked 199 of 365 in D1. Trending down strongly 🟢.
- Opp FG Pct (%) (Opp FGM/FGA (%)): Currently ranked 183 of 365 in D1. Trending down strongly 🟢.
UNC Wilmington
Record: 17-2 | Elo: 1665.9 (ranked 29 of 365) | Efficiency Margin: +9.07 (ranked 91 of 365)
Offensive Trends:
- Off Reb Pct (Offensive Rebounding): Currently ranked 24 of 365 in D1. Trending down strongly 🔴.
- 2Pt Pct (2 Point FGM/FGA (%)): Currently ranked 255 of 365 in D1. Trending down strongly 🔴.
Defensive Trends:
- Def Reb Pct (Defensive Rebounding): Currently ranked 26 of 365 in D1. Trending up strongly 🟢.
- Opp 2PM Per Poss (Opp 2 Point Makes Per Possession (%)): Currently ranked 76 of 365 in D1. Trending up strongly 🔴.
William & Mary
Record: 12-6 | Elo: 1514.0 (ranked 163 of 365) | Efficiency Margin: +3.80 (ranked 129 of 365)
Offensive Trends:
- Off Reb Pct (Offensive Rebounding): Currently ranked 307 of 365 in D1. Trending down strongly 🔴.
- 2Pt Rate (2 Point Attempts/FGA (%)): Currently ranked 249 of 365 in D1. Trending up strongly 🟢.
Defensive Trends:
- Opp Shooting (Opp Shooting): Currently ranked 143 of 365 in D1. Trending up strongly 🔴.
- Opp Turnovers (Opp Turnovers): Currently ranked 27 of 365 in D1. Trending up strongly 🔴.

Figure 2: Offensive Four Factors comparison across Colonial teams. The radar chart shows each team’s shooting efficiency (eFG%), ball security (TOV%), offensive rebounding (OREB%), and free throw generation (FT Rate).

Figure 3: Defensive Four Factors comparison across Colonial teams. The radar chart shows each team’s opponent shooting defense (Opp eFG%), ball disruption (forcing TOV%), defensive rebounding (DREB%), and opponent free throw prevention (Opp FT Rate).

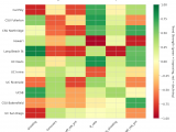
Figure 4: MACD trends heatmap showing which metrics are improving (green) or declining (red) for each team. Stronger colors indicate more pronounced trends.
Looking Ahead
As Colonial teams continue their season, the MACD trending indicators will help identify which teams are genuinely improving versus those riding unsustainable momentum. Check back next week for updated analysis.
Metrics Glossary
Four Factors (Dean Oliver’s framework for basketball success):
- eFG% (Effective Field Goal %): Field goal percentage adjusted for 3-pointers being worth more (FGM + 0.5×3PM) / FGA. Higher is better offensively, lower is better defensively.
- TOV% (Turnover Rate): Turnovers per 100 possessions. Lower is better offensively (taking care of the ball), higher is better defensively (forcing turnovers).
- OREB% / DREB% (Offensive/Defensive Rebound Rate): Percentage of available rebounds grabbed. Offensive rebounds create second-chance points; defensive rebounds end opponent possessions.
- FTR (Free Throw Rate): Free throws made per field goal attempt (FTM/FGA). Measures ability to get to the line AND convert. Higher is better offensively, lower is better defensively.
Other Metrics:
- Elo Rating: Chess-style rating system that updates based on game results and opponent strength. Higher Elo indicates stronger team.
- Efficiency Margin: Point differential per 100 possessions (Offensive Efficiency – Defensive Efficiency). Accounts for pace of play.
- MACD (Moving Average Convergence Divergence): Trend indicator comparing 12-game and 26-game exponential moving averages. Positive MACD = improving trend, Negative MACD = declining trend.
Analysis powered by HoopSci’s advanced metrics and MACD trending indicators.

