Conference USA Update: Week 11
January 19, 2026The Conference USA enters Week 11 with teams showing diverse trending patterns. This analysis examines each team’s performance trends using MACD (Moving Average Convergence Divergence) indicators to identify not just where teams stand, but where they’re headed.

Figure 1: Efficiency margin trends for Conference USA teams throughout the season. Teams trending upward show improving performance, while downward trends indicate struggles.
Conference Snapshot
- Week Dates: January 12 – January 18, 2026
- Trending Up (Efficiency): Mid Tennessee, UTEP, Jacksonville St, Liberty, New Mexico St
- Trending Down (Efficiency): FIU, LA Tech, W Kentucky, Kennesaw State, Delaware
Team-by-Team Analysis
Delaware
Record: 5-12 | Elo: 1417.3 (ranked 285 of 365) | Efficiency Margin: -9.48 (ranked 244 of 365)
Offensive Trends:
- Adj Off Eff (Adjusted Offensive Efficiency): Currently ranked 246 of 365 in D1. Trending down strongly 🔴.
- FGM Per Poss (Field Goal Makes Per Possession (%)): Currently ranked 262 of 365 in D1. Trending down strongly 🔴.
Defensive Trends:
- Opp Turnovers (Opp Turnovers): Currently ranked 328 of 365 in D1. Trending down strongly 🟢.
- Opp FGA Per Poss (Opp FG Attempts Per Possession (%)): Currently ranked 344 of 365 in D1. Trending up strongly 🔴.
FIU
Record: 9-9 | Elo: 1405.5 (ranked 302 of 365) | Efficiency Margin: -4.50 (ranked 199 of 365)
Offensive Trends:
- FT Rate (FTA/FGA (%)): Currently ranked 76 of 365 in D1. Trending up strongly 🟢.
- Adj Off Eff (Adjusted Offensive Efficiency): Currently ranked 175 of 365 in D1. Trending up strongly 🟢.
Defensive Trends:
- Opp 2Pt Rate (Opp 2 Point Attempts/FGA (%)): Currently ranked 28 of 365 in D1. Trending down strongly 🟢.
- Opp 2PM Per Poss (Opp 2 Point Makes Per Possession (%)): Currently ranked 68 of 365 in D1. Trending down strongly 🟢.
Jacksonville St
Record: 9-9 | Elo: 1502.0 (ranked 185 of 365) | Efficiency Margin: -10.28 (ranked 251 of 365)
Offensive Trends:
- Off Reb Pct (Offensive Rebounding): Currently ranked 185 of 365 in D1. Trending down strongly 🔴.
- FT Rate (FTA/FGA (%)): Currently ranked 36 of 365 in D1. Trending up strongly 🟢.
Defensive Trends:
- Def Reb Pct (Defensive Rebounding): Currently ranked 80 of 365 in D1. Trending down strongly 🔴.
- Opp FGM Per Poss (Opp FG Makes Per Possession (%)): Currently ranked 117 of 365 in D1. Trending up strongly 🔴.
Kennesaw State
Record: 12-6 | Elo: 1535.3 (ranked 132 of 365) | Efficiency Margin: +0.09 (ranked 156 of 365)
Offensive Trends:
- 2Pt Rate (2 Point Attempts/FGA (%)): Currently ranked 265 of 365 in D1. Trending down strongly 🔴.
- 2PM Per Poss (2 Point Makes Per Possession (%)): Currently ranked 244 of 365 in D1. Trending down strongly 🔴.
Defensive Trends:
- Opp FT Rate (Opp FTA/FGA (%)): Currently ranked 350 of 365 in D1. Trending down strongly 🟢.
- Opp FGA Per Poss (Opp FG Attempts Per Possession (%)): Currently ranked 48 of 365 in D1. Trending up strongly 🔴.
LA Tech
Record: 10-8 | Elo: 1524.0 (ranked 147 of 365) | Efficiency Margin: -10.05 (ranked 247 of 365)
Offensive Trends:
- Shooting (Shooting): Currently ranked 357 of 365 in D1. Trending down strongly 🔴.
- Turnovers (Turnovers): Currently ranked 137 of 365 in D1. Trending down strongly 🟢.
Defensive Trends:
- Def Reb Pct (Defensive Rebounding): Currently ranked 147 of 365 in D1. Trending down strongly 🔴.
- Opp 2Pt Rate (Opp 2 Point Attempts/FGA (%)): Currently ranked 7 of 365 in D1. Trending down strongly 🟢.
Liberty
Record: 15-3 | Elo: 1664.0 (ranked 30 of 365) | Efficiency Margin: +9.02 (ranked 92 of 365)
Offensive Trends:
- Off Reb Pct (Offensive Rebounding): Currently ranked 363 of 365 in D1. Trending down strongly 🔴.
- FG Pct (Field Goal Percentage (FGM/FGA)): Currently ranked 2 of 365 in D1. Trending up strongly 🟢.
Defensive Trends:
- Opp Shooting (Opp Shooting): Currently ranked 170 of 365 in D1. Trending up strongly 🔴.
- Opp FT Rate (Opp FTA/FGA (%)): Currently ranked 15 of 365 in D1. Trending down strongly 🟢.
Mid Tennessee
Record: 10-7 | Elo: 1558.3 (ranked 105 of 365) | Efficiency Margin: +3.05 (ranked 139 of 365)
Offensive Trends:
- Off Reb Pct (Offensive Rebounding): Currently ranked 230 of 365 in D1. Trending down strongly 🔴.
- FGA Per Poss (Field Goal Attempts Per Possession (%)): Currently ranked 39 of 365 in D1. Trending down strongly 🔴.
Defensive Trends:
- Opp Shooting (Opp Shooting): Currently ranked 60 of 365 in D1. Trending down strongly 🟢.
- Opp FGM Per Poss (Opp FG Makes Per Possession (%)): Currently ranked 139 of 365 in D1. Trending down strongly 🟢.
Missouri State
Record: 9-8 | Elo: 1436.4 (ranked 265 of 365) | Efficiency Margin: -8.76 (ranked 238 of 365)
Offensive Trends:
- Turnovers (Turnovers): Currently ranked 173 of 365 in D1. Trending down strongly 🟢.
- FT Rate (FTA/FGA (%)): Currently ranked 15 of 365 in D1. Trending up strongly 🟢.
Defensive Trends:
- Def Reb Pct (Defensive Rebounding): Currently ranked 298 of 365 in D1. Trending down strongly 🔴.
- Opp FT Rate (Opp FTA/FGA (%)): Currently ranked 283 of 365 in D1. Trending up strongly 🔴.
New Mexico St
Record: 10-7 | Elo: 1503.9 (ranked 180 of 365) | Efficiency Margin: +2.60 (ranked 144 of 365)
Offensive Trends:
- Shooting (Shooting): Currently ranked 191 of 365 in D1. Trending up strongly 🟢.
- Off Reb Pct (Offensive Rebounding): Currently ranked 113 of 365 in D1. Trending down strongly 🔴.
Defensive Trends:
- Opp Shooting (Opp Shooting): Currently ranked 76 of 365 in D1. Trending up strongly 🔴.
- Opp Turnovers (Opp Turnovers): Currently ranked 303 of 365 in D1. Trending down strongly 🟢.
Sam Houston
Record: 11-7 | Elo: 1533.8 (ranked 135 of 365) | Efficiency Margin: +4.02 (ranked 125 of 365)
Offensive Trends:
- Adj Off Eff (Adjusted Offensive Efficiency): Currently ranked 126 of 365 in D1. Trending up strongly 🟢.
- FTM Per Poss (Free Throw Makes Per Possession (%)): Currently ranked 226 of 365 in D1. Trending down strongly 🔴.
Defensive Trends:
- Def Reb Pct (Defensive Rebounding): Currently ranked 119 of 365 in D1. Trending up strongly 🟢.
- Opp FT Rate (Opp FTA/FGA (%)): Currently ranked 303 of 365 in D1. Trending up strongly 🔴.
UTEP
Record: 6-12 | Elo: 1441.6 (ranked 260 of 365) | Efficiency Margin: -15.75 (ranked 293 of 365)
Offensive Trends:
- Off Reb Pct (Offensive Rebounding): Currently ranked 263 of 365 in D1. Trending down strongly 🔴.
- FT Rate (FTA/FGA (%)): Currently ranked 305 of 365 in D1. Trending down strongly 🔴.
Defensive Trends:
- Opp Turnovers (Opp Turnovers): Currently ranked 120 of 365 in D1. Trending down strongly 🟢.
- Opp FGM Per Poss (Opp FG Makes Per Possession (%)): Currently ranked 239 of 365 in D1. Trending up strongly 🔴.
W Kentucky
Record: 11-7 | Elo: 1513.9 (ranked 164 of 365) | Efficiency Margin: -0.75 (ranked 166 of 365)
Offensive Trends:
- Shooting (Shooting): Currently ranked 337 of 365 in D1. Trending down strongly 🔴.
- Turnovers (Turnovers): Currently ranked 15 of 365 in D1. Trending down strongly 🟢.
Defensive Trends:
- Def Reb Pct (Defensive Rebounding): Currently ranked 78 of 365 in D1. Trending down moderately 🔴.
- Opp FT Rate (Opp FTA/FGA (%)): Currently ranked 336 of 365 in D1. Trending up moderately 🔴.

Figure 2: Offensive Four Factors comparison across Conference USA teams. The radar chart shows each team’s shooting efficiency (eFG%), ball security (TOV%), offensive rebounding (OREB%), and free throw generation (FT Rate).

Figure 3: Defensive Four Factors comparison across Conference USA teams. The radar chart shows each team’s opponent shooting defense (Opp eFG%), ball disruption (forcing TOV%), defensive rebounding (DREB%), and opponent free throw prevention (Opp FT Rate).

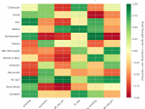
Figure 4: MACD trends heatmap showing which metrics are improving (green) or declining (red) for each team. Stronger colors indicate more pronounced trends.
Looking Ahead
As Conference USA teams continue their season, the MACD trending indicators will help identify which teams are genuinely improving versus those riding unsustainable momentum. Check back next week for updated analysis.
Metrics Glossary
Four Factors (Dean Oliver’s framework for basketball success):
- eFG% (Effective Field Goal %): Field goal percentage adjusted for 3-pointers being worth more (FGM + 0.5×3PM) / FGA. Higher is better offensively, lower is better defensively.
- TOV% (Turnover Rate): Turnovers per 100 possessions. Lower is better offensively (taking care of the ball), higher is better defensively (forcing turnovers).
- OREB% / DREB% (Offensive/Defensive Rebound Rate): Percentage of available rebounds grabbed. Offensive rebounds create second-chance points; defensive rebounds end opponent possessions.
- FTR (Free Throw Rate): Free throws made per field goal attempt (FTM/FGA). Measures ability to get to the line AND convert. Higher is better offensively, lower is better defensively.
Other Metrics:
- Elo Rating: Chess-style rating system that updates based on game results and opponent strength. Higher Elo indicates stronger team.
- Efficiency Margin: Point differential per 100 possessions (Offensive Efficiency – Defensive Efficiency). Accounts for pace of play.
- MACD (Moving Average Convergence Divergence): Trend indicator comparing 12-game and 26-game exponential moving averages. Positive MACD = improving trend, Negative MACD = declining trend.
Analysis powered by HoopSci’s advanced metrics and MACD trending indicators.

