Horizon Update: Week 11
January 19, 2026The Horizon enters Week 11 with teams showing diverse trending patterns. This analysis examines each team’s performance trends using MACD (Moving Average Convergence Divergence) indicators to identify not just where teams stand, but where they’re headed.

Figure 1: Efficiency margin trends for Horizon teams throughout the season. Teams trending upward show improving performance, while downward trends indicate struggles.
Conference Snapshot
- Week Dates: January 12 – January 18, 2026
- Trending Up (Efficiency): Cleveland State, Detroit Mercy, Green Bay, Milwaukee, N Kentucky
- Trending Down (Efficiency): IUPUI, Youngstown St
Team-by-Team Analysis
Cleveland State
Record: 6-14 | Elo: 1436.8 (ranked 264 of 365) | Efficiency Margin: -16.40 (ranked 301 of 365)
Offensive Trends:
- Shooting (Shooting): Currently ranked 116 of 365 in D1. Trending up strongly 🟢.
- Off Reb Pct (Offensive Rebounding): Currently ranked 275 of 365 in D1. Trending down strongly 🔴.
Defensive Trends:
- Opp Turnovers (Opp Turnovers): Currently ranked 315 of 365 in D1. Trending down strongly 🟢.
- Def Reb Pct (Defensive Rebounding): Currently ranked 361 of 365 in D1. Trending down strongly 🔴.
Detroit Mercy
Record: 8-10 | Elo: 1370.4 (ranked 332 of 365) | Efficiency Margin: -9.92 (ranked 245 of 365)
Offensive Trends:
- Off Reb Pct (Offensive Rebounding): Currently ranked 65 of 365 in D1. Trending up strongly 🟢.
- FT Rate (FTA/FGA (%)): Currently ranked 251 of 365 in D1. Trending up strongly 🟢.
Defensive Trends:
- Opp Off Tempo (Opp Offensive Possessions Per Game): Currently ranked 90 of 365 in D1. Trending up strongly 🔴.
- Opp Shooting (Opp Shooting): Currently ranked 278 of 365 in D1. Trending up moderately 🔴.
Green Bay
Record: 11-9 | Elo: 1419.8 (ranked 283 of 365) | Efficiency Margin: -5.29 (ranked 205 of 365)
Offensive Trends:
- Shooting (Shooting): Currently ranked 61 of 365 in D1. Trending up strongly 🟢.
- Adj Off Eff (Adjusted Offensive Efficiency): Currently ranked 118 of 365 in D1. Trending up strongly 🟢.
Defensive Trends:
- Opp 2Pt Rate (Opp 2 Point Attempts/FGA (%)): Currently ranked 60 of 365 in D1. Trending down strongly 🟢.
- Opp 3Pt Rate (Opp 3 Point Attempts/FGA (%)): Currently ranked 306 of 365 in D1. Trending up strongly 🔴.
IUPUI
Record: 5-16 | Elo: 1286.4 (ranked 365 of 365) | Efficiency Margin: -20.75 (ranked 330 of 365)
Offensive Trends:
- 2PM Per Poss (2 Point Makes Per Possession (%)): Currently ranked 152 of 365 in D1. Trending up strongly 🟢.
- 2PA Per Poss (2 Point Attempts Per Possession (%)): Currently ranked 229 of 365 in D1. Trending up strongly 🟢.
Defensive Trends:
- Opp FT Rate (Opp FTA/FGA (%)): Currently ranked 351 of 365 in D1. Trending up strongly 🔴.
- Opp FGM Per Poss (Opp FG Makes Per Possession (%)): Currently ranked 321 of 365 in D1. Trending down strongly 🟢.
Milwaukee
Record: 8-12 | Elo: 1490.0 (ranked 204 of 365) | Efficiency Margin: -7.97 (ranked 231 of 365)
Offensive Trends:
- Assists per FGM (Assists/FGM (%)): Currently ranked 310 of 365 in D1. Trending down strongly 🔴.
- Balls Blocked Per FGA (Balls Blocked Per Shot Attempt): Currently ranked 249 of 365 in D1. Trending down strongly 🔴.
Defensive Trends:
- Opp Turnovers (Opp Turnovers): Currently ranked 316 of 365 in D1. Trending down strongly 🟢.
- Opp FGM Per Poss (Opp FG Makes Per Possession (%)): Currently ranked 323 of 365 in D1. Trending up strongly 🔴.
N Kentucky
Record: 14-7 | Elo: 1524.9 (ranked 145 of 365) | Efficiency Margin: -1.14 (ranked 167 of 365)
Offensive Trends:
- Turnovers (Turnovers): Currently ranked 182 of 365 in D1. Trending down strongly 🟢.
- Off Reb Pct (Offensive Rebounding): Currently ranked 136 of 365 in D1. Trending down strongly 🔴.
Defensive Trends:
- Opp Turnovers (Opp Turnovers): Currently ranked 54 of 365 in D1. Trending down strongly 🟢.
- Opp FGA Per Poss (Opp FG Attempts Per Possession (%)): Currently ranked 74 of 365 in D1. Trending up strongly 🔴.
Oakland
Record: 10-9 | Elo: 1558.5 (ranked 104 of 365) | Efficiency Margin: +1.15 (ranked 153 of 365)
Offensive Trends:
- Off Reb Pct (Offensive Rebounding): Currently ranked 220 of 365 in D1. Trending up strongly 🟢.
- FT Rate (FTA/FGA (%)): Currently ranked 73 of 365 in D1. Trending up strongly 🟢.
Defensive Trends:
- Opp Shooting (Opp Shooting): Currently ranked 297 of 365 in D1. Trending down strongly 🟢.
- Opp 2Pt Rate (Opp 2 Point Attempts/FGA (%)): Currently ranked 205 of 365 in D1. Trending up strongly 🔴.
Purdue Fort Wayne
Record: 12-8 | Elo: 1535.5 (ranked 131 of 365) | Efficiency Margin: -7.50 (ranked 226 of 365)
Offensive Trends:
- Off Reb Pct (Offensive Rebounding): Currently ranked 351 of 365 in D1. Trending down strongly 🔴.
- 3PM Per Poss (3 Point Makes Per Possession (%)): Currently ranked 48 of 365 in D1. Trending up strongly 🟢.
Defensive Trends:
- Def Reb Pct (Defensive Rebounding): Currently ranked 338 of 365 in D1. Trending down strongly 🔴.
- Opp FGA Per Poss (Opp FG Attempts Per Possession (%)): Currently ranked 232 of 365 in D1. Trending up strongly 🔴.
Robert Morris
Record: 11-8 | Elo: 1543.6 (ranked 122 of 365) | Efficiency Margin: -3.21 (ranked 191 of 365)
Offensive Trends:
- Adj Off Eff (Adjusted Offensive Efficiency): Currently ranked 132 of 365 in D1. Trending up strongly 🟢.
- 2PM Per Poss (2 Point Makes Per Possession (%)): Currently ranked 108 of 365 in D1. Trending down strongly 🔴.
Defensive Trends:
- Opp Shooting (Opp Shooting): Currently ranked 209 of 365 in D1. Trending up strongly 🔴.
- Opp FT Rate (Opp FTA/FGA (%)): Currently ranked 358 of 365 in D1. Trending up strongly 🔴.
Wright State
Record: 12-7 | Elo: 1510.7 (ranked 168 of 365) | Efficiency Margin: +3.97 (ranked 126 of 365)
Offensive Trends:
- Off Reb Pct (Offensive Rebounding): Currently ranked 142 of 365 in D1. Trending up strongly 🟢.
- FT Rate (FTA/FGA (%)): Currently ranked 180 of 365 in D1. Trending up strongly 🟢.
Defensive Trends:
- Opp Turnovers (Opp Turnovers): Currently ranked 124 of 365 in D1. Trending down moderately 🟢.
- Opp FGA Per Poss (Opp FG Attempts Per Possession (%)): Currently ranked 143 of 365 in D1. Trending up moderately 🔴.
Youngstown St
Record: 9-11 | Elo: 1478.7 (ranked 222 of 365) | Efficiency Margin: -4.44 (ranked 198 of 365)
Offensive Trends:
- Turnovers (Turnovers): Currently ranked 317 of 365 in D1. Trending down strongly 🟢.
- Off Reb Pct (Offensive Rebounding): Currently ranked 97 of 365 in D1. Trending up strongly 🟢.
Defensive Trends:
- Opp Shooting (Opp Shooting): Currently ranked 209 of 365 in D1. Trending up strongly 🔴.
- Opp FT Rate (Opp FTA/FGA (%)): Currently ranked 342 of 365 in D1. Trending up strongly 🔴.

Figure 2: Offensive Four Factors comparison across Horizon teams. The radar chart shows each team’s shooting efficiency (eFG%), ball security (TOV%), offensive rebounding (OREB%), and free throw generation (FT Rate).

Figure 3: Defensive Four Factors comparison across Horizon teams. The radar chart shows each team’s opponent shooting defense (Opp eFG%), ball disruption (forcing TOV%), defensive rebounding (DREB%), and opponent free throw prevention (Opp FT Rate).

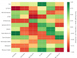
Figure 4: MACD trends heatmap showing which metrics are improving (green) or declining (red) for each team. Stronger colors indicate more pronounced trends.
Looking Ahead
As Horizon teams continue their season, the MACD trending indicators will help identify which teams are genuinely improving versus those riding unsustainable momentum. Check back next week for updated analysis.
Metrics Glossary
Four Factors (Dean Oliver’s framework for basketball success):
- eFG% (Effective Field Goal %): Field goal percentage adjusted for 3-pointers being worth more (FGM + 0.5×3PM) / FGA. Higher is better offensively, lower is better defensively.
- TOV% (Turnover Rate): Turnovers per 100 possessions. Lower is better offensively (taking care of the ball), higher is better defensively (forcing turnovers).
- OREB% / DREB% (Offensive/Defensive Rebound Rate): Percentage of available rebounds grabbed. Offensive rebounds create second-chance points; defensive rebounds end opponent possessions.
- FTR (Free Throw Rate): Free throws made per field goal attempt (FTM/FGA). Measures ability to get to the line AND convert. Higher is better offensively, lower is better defensively.
Other Metrics:
- Elo Rating: Chess-style rating system that updates based on game results and opponent strength. Higher Elo indicates stronger team.
- Efficiency Margin: Point differential per 100 possessions (Offensive Efficiency – Defensive Efficiency). Accounts for pace of play.
- MACD (Moving Average Convergence Divergence): Trend indicator comparing 12-game and 26-game exponential moving averages. Positive MACD = improving trend, Negative MACD = declining trend.
Analysis powered by HoopSci’s advanced metrics and MACD trending indicators.

