MEAC Update: Week 11

MEAC Update: Week 11

January 19, 2026 0 By Neill White

The MEAC enters Week 11 with teams showing diverse trending patterns. This analysis examines each team’s performance trends using MACD (Moving Average Convergence Divergence) indicators to identify not just where teams stand, but where they’re headed.


Figure 1: Efficiency margin trends for MEAC teams throughout the season. Teams trending upward show improving performance, while downward trends indicate struggles.

Conference Snapshot


Team-by-Team Analysis

Coppin State

Record: 3-18 | Elo: 1275.3 (ranked 367 of 365) | Efficiency Margin: -35.41 (ranked 363 of 365)

Offensive Trends:

  • Turnovers (Turnovers): Currently ranked 363 of 365 in D1. Trending up strongly 🔴.
  • Off Reb Pct (Offensive Rebounding): Currently ranked 251 of 365 in D1. Trending up strongly 🟢.

Defensive Trends:

  • Opp FT Rate (Opp FTA/FGA (%)): Currently ranked 325 of 365 in D1. Trending up strongly 🔴.
  • Opp 3Pt Pct (Opp 3 Point FGM/FGA (%)): Currently ranked 363 of 365 in D1. Trending up strongly 🔴.

Delaware State

Record: 5-14 | Elo: 1355.4 (ranked 344 of 365) | Efficiency Margin: -25.97 (ranked 349 of 365)

Offensive Trends:

  • FT Rate (FTA/FGA (%)): Currently ranked 283 of 365 in D1. Trending up strongly 🟢.
  • Adj Off Eff (Adjusted Offensive Efficiency): Currently ranked 365 of 365 in D1. Trending down strongly 🔴.

Defensive Trends:

  • Opp 2Pt Pct (Opp 2 Point FGM/FGA (%)): Currently ranked 305 of 365 in D1. Trending down strongly 🟢.
  • Opp Shooting (Opp Shooting): Currently ranked 294 of 365 in D1. Trending down moderately 🟢.

Howard

Record: 11-8 | Elo: 1455.7 (ranked 246 of 365) | Efficiency Margin: -8.96 (ranked 241 of 365)

Offensive Trends:

  • Adj Off Eff (Adjusted Offensive Efficiency): Currently ranked 303 of 365 in D1. Trending down strongly 🔴.
  • FGA Per Poss (Field Goal Attempts Per Possession (%)): Currently ranked 311 of 365 in D1. Trending up strongly 🟢.

Defensive Trends:

  • Opp Turnovers (Opp Turnovers): Currently ranked 9 of 365 in D1. Trending up strongly 🔴.
  • Opp FGM Per Poss (Opp FG Makes Per Possession (%)): Currently ranked 76 of 365 in D1. Trending down strongly 🟢.

MD-E Shore

Record: 8-13 | Elo: 1352.0 (ranked 346 of 365) | Efficiency Margin: -17.50 (ranked 310 of 365)

Offensive Trends:

  • FT Rate (FTA/FGA (%)): Currently ranked 334 of 365 in D1. Trending up strongly 🟢.
  • Adj Off Eff (Adjusted Offensive Efficiency): Currently ranked 340 of 365 in D1. Trending up strongly 🟢.

Defensive Trends:

  • Opp Turnovers (Opp Turnovers): Currently ranked 141 of 365 in D1. Trending up strongly 🔴.
  • Def Reb Pct (Defensive Rebounding): Currently ranked 317 of 365 in D1. Trending down strongly 🔴.

Morgan State

Record: 5-13 | Elo: 1347.7 (ranked 347 of 365) | Efficiency Margin: -32.14 (ranked 360 of 365)

Offensive Trends:

  • Adj Off Eff (Adjusted Offensive Efficiency): Currently ranked 354 of 365 in D1. Trending down strongly 🔴.
  • FGM Per Poss (Field Goal Makes Per Possession (%)): Currently ranked 352 of 365 in D1. Trending down strongly 🔴.

Defensive Trends:

  • Def Reb Pct (Defensive Rebounding): Currently ranked 284 of 365 in D1. Trending up strongly 🟢.
  • Opp FT Rate (Opp FTA/FGA (%)): Currently ranked 365 of 365 in D1. Trending up strongly 🔴.

NC Central

Record: 7-12 | Elo: 1392.2 (ranked 314 of 365) | Efficiency Margin: -23.19 (ranked 343 of 365)

Offensive Trends:

  • Shooting (Shooting): Currently ranked 344 of 365 in D1. Trending up strongly 🟢.
  • Off Reb Pct (Offensive Rebounding): Currently ranked 291 of 365 in D1. Trending down strongly 🔴.

Defensive Trends:

  • Opp FT Rate (Opp FTA/FGA (%)): Currently ranked 302 of 365 in D1. Trending down strongly 🟢.
  • Opp FTA Per Poss (Opp Free Throw Attempts Per Possession (%)): Currently ranked 320 of 365 in D1. Trending down strongly 🟢.

Norfolk State

Record: 8-12 | Elo: 1495.8 (ranked 197 of 365) | Efficiency Margin: -17.00 (ranked 304 of 365)

Offensive Trends:

  • FT Rate (FTA/FGA (%)): Currently ranked 37 of 365 in D1. Trending up strongly 🟢.
  • Adj Off Eff (Adjusted Offensive Efficiency): Currently ranked 330 of 365 in D1. Trending down strongly 🔴.

Defensive Trends:

  • Opp FT Pct (Opp FTM/FTA (%)): Currently ranked 141 of 365 in D1. Trending up strongly 🔴.
  • Def Reb Pct (Defensive Rebounding): Currently ranked 307 of 365 in D1. Trending down moderately 🔴.

S Carolina St

Record: 3-16 | Elo: 1395.5 (ranked 312 of 365) | Efficiency Margin: -33.67 (ranked 361 of 365)

Offensive Trends:

  • Off Tempo (Offensive Possessions Per Game): Currently ranked 107 of 365 in D1. Trending down strongly 🔴.
  • Adj Def Eff (Adjusted Defensive Efficiency): Currently ranked 357 of 365 in D1. Trending up strongly 🟢.

Defensive Trends:

  • Opp Turnovers (Opp Turnovers): Currently ranked 200 of 365 in D1. Trending down strongly 🟢.
  • Opp FT Rate (Opp FTA/FGA (%)): Currently ranked 364 of 365 in D1. Trending up strongly 🔴.


Figure 2: Offensive Four Factors comparison across MEAC teams. The radar chart shows each team’s shooting efficiency (eFG%), ball security (TOV%), offensive rebounding (OREB%), and free throw generation (FT Rate).


Figure 3: Defensive Four Factors comparison across MEAC teams. The radar chart shows each team’s opponent shooting defense (Opp eFG%), ball disruption (forcing TOV%), defensive rebounding (DREB%), and opponent free throw prevention (Opp FT Rate).


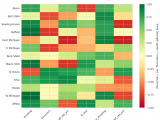
Figure 4: MACD trends heatmap showing which metrics are improving (green) or declining (red) for each team. Stronger colors indicate more pronounced trends.


Looking Ahead

As MEAC teams continue their season, the MACD trending indicators will help identify which teams are genuinely improving versus those riding unsustainable momentum. Check back next week for updated analysis.


Metrics Glossary

Four Factors (Dean Oliver’s framework for basketball success):

  • eFG% (Effective Field Goal %): Field goal percentage adjusted for 3-pointers being worth more (FGM + 0.5×3PM) / FGA. Higher is better offensively, lower is better defensively.
  • TOV% (Turnover Rate): Turnovers per 100 possessions. Lower is better offensively (taking care of the ball), higher is better defensively (forcing turnovers).
  • OREB% / DREB% (Offensive/Defensive Rebound Rate): Percentage of available rebounds grabbed. Offensive rebounds create second-chance points; defensive rebounds end opponent possessions.
  • FTR (Free Throw Rate): Free throws made per field goal attempt (FTM/FGA). Measures ability to get to the line AND convert. Higher is better offensively, lower is better defensively.

Other Metrics:

  • Elo Rating: Chess-style rating system that updates based on game results and opponent strength. Higher Elo indicates stronger team.
  • Efficiency Margin: Point differential per 100 possessions (Offensive Efficiency – Defensive Efficiency). Accounts for pace of play.
  • MACD (Moving Average Convergence Divergence): Trend indicator comparing 12-game and 26-game exponential moving averages. Positive MACD = improving trend, Negative MACD = declining trend.

Analysis powered by HoopSci’s advanced metrics and MACD trending indicators.