Summit League Update: Week 11

Summit League Update: Week 11

January 19, 2026 0 By Neill White

The Summit League enters Week 11 with teams showing diverse trending patterns. This analysis examines each team’s performance trends using MACD (Moving Average Convergence Divergence) indicators to identify not just where teams stand, but where they’re headed.


Figure 1: Efficiency margin trends for Summit League teams throughout the season. Teams trending upward show improving performance, while downward trends indicate struggles.

Conference Snapshot


Team-by-Team Analysis

Denver

Record: 9-11 | Elo: 1405.9 (ranked 301 of 365) | Efficiency Margin: -12.89 (ranked 268 of 365)

Offensive Trends:

  • Turnovers (Turnovers): Currently ranked 50 of 365 in D1. Trending down strongly 🟢.
  • Adj Off Eff (Adjusted Offensive Efficiency): Currently ranked 110 of 365 in D1. Trending up strongly 🟢.

Defensive Trends:

  • Opp Turnovers (Opp Turnovers): Currently ranked 334 of 365 in D1. Trending down strongly 🟢.
  • Opp FT Rate (Opp FTA/FGA (%)): Currently ranked 211 of 365 in D1. Trending down strongly 🟢.

North Dakota

Record: 10-12 | Elo: 1416.9 (ranked 286 of 365) | Efficiency Margin: -15.94 (ranked 296 of 365)

Offensive Trends:

  • Shooting (Shooting): Currently ranked 297 of 365 in D1. Trending up strongly 🟢.
  • Turnovers (Turnovers): Currently ranked 71 of 365 in D1. Trending down strongly 🟢.

Defensive Trends:

  • Opp Shooting (Opp Shooting): Currently ranked 360 of 365 in D1. Trending up strongly 🔴.
  • Opp Turnovers (Opp Turnovers): Currently ranked 30 of 365 in D1. Trending up strongly 🔴.

North Dakota St

Record: 16-5 | Elo: 1589.0 (ranked 78 of 365) | Efficiency Margin: +3.74 (ranked 130 of 365)

Offensive Trends:

  • FT Rate (FTA/FGA (%)): Currently ranked 270 of 365 in D1. Trending down strongly 🔴.
  • FGA Per Poss (Field Goal Attempts Per Possession (%)): Currently ranked 48 of 365 in D1. Trending up strongly 🟢.

Defensive Trends:

  • Opp Turnovers (Opp Turnovers): Currently ranked 36 of 365 in D1. Trending up strongly 🔴.
  • Opp FGA Per Poss (Opp FG Attempts Per Possession (%)): Currently ranked 75 of 365 in D1. Trending down strongly 🟢.

Omaha

Record: 6-11 | Elo: 1472.3 (ranked 230 of 365) | Efficiency Margin: -12.99 (ranked 270 of 365)

Offensive Trends:

  • Off Reb Pct (Offensive Rebounding): Currently ranked 347 of 365 in D1. Trending down strongly 🔴.
  • FGA Per Poss (Field Goal Attempts Per Possession (%)): Currently ranked 314 of 365 in D1. Trending down strongly 🔴.

Defensive Trends:

  • Opp 2PM Per Poss (Opp 2 Point Makes Per Possession (%)): Currently ranked 216 of 365 in D1. Trending up strongly 🔴.
  • Opp 3PM Per Poss (Opp 3 Point Makes Per Possession (%)): Currently ranked 305 of 365 in D1. Trending down strongly 🟢.

Oral Roberts

Record: 5-15 | Elo: 1327.4 (ranked 361 of 365) | Efficiency Margin: -18.49 (ranked 318 of 365)

Offensive Trends:

  • 2PM Per Poss (2 Point Makes Per Possession (%)): Currently ranked 349 of 365 in D1. Trending up strongly 🟢.
  • 2Pt Pct (2 Point FGM/FGA (%)): Currently ranked 232 of 365 in D1. Trending up strongly 🟢.

Defensive Trends:

  • Opp 2Pt Rate (Opp 2 Point Attempts/FGA (%)): Currently ranked 276 of 365 in D1. Trending up strongly 🔴.
  • Opp 3Pt Rate (Opp 3 Point Attempts/FGA (%)): Currently ranked 90 of 365 in D1. Trending down strongly 🟢.

South Dakota

Record: 9-10 | Elo: 1446.6 (ranked 255 of 365) | Efficiency Margin: -15.64 (ranked 289 of 365)

Offensive Trends:

  • Shooting (Shooting): Currently ranked 211 of 365 in D1. Trending up strongly 🟢.
  • Turnovers (Turnovers): Currently ranked 268 of 365 in D1. Trending up strongly 🔴.

Defensive Trends:

  • Opp Shooting (Opp Shooting): Currently ranked 347 of 365 in D1. Trending up strongly 🔴.
  • Opp Turnovers (Opp Turnovers): Currently ranked 216 of 365 in D1. Trending down strongly 🟢.

South Dakota St

Record: 10-10 | Elo: 1515.8 (ranked 158 of 365) | Efficiency Margin: -2.14 (ranked 180 of 365)

Offensive Trends:

  • Turnovers (Turnovers): Currently ranked 203 of 365 in D1. Trending down strongly 🟢.
  • Off Reb Pct (Offensive Rebounding): Currently ranked 157 of 365 in D1. Trending down strongly 🔴.

Defensive Trends:

  • Def Reb Pct (Defensive Rebounding): Currently ranked 101 of 365 in D1. Trending down strongly 🔴.
  • Opp FGM Per Poss (Opp FG Makes Per Possession (%)): Currently ranked 154 of 365 in D1. Trending up strongly 🔴.

St. Thomas – Minnesota

Record: 15-5 | Elo: 1585.0 (ranked 83 of 365) | Efficiency Margin: +3.53 (ranked 132 of 365)

Offensive Trends:

  • Shooting (Shooting): Currently ranked 9 of 365 in D1. Trending up strongly 🟢.
  • Turnovers (Turnovers): Currently ranked 25 of 365 in D1. Trending up strongly 🔴.

Defensive Trends:

  • Opp FT Rate (Opp FTA/FGA (%)): Currently ranked 111 of 365 in D1. Trending up moderately 🔴.
  • Opp 2Pt Rate (Opp 2 Point Attempts/FGA (%)): Currently ranked 149 of 365 in D1. Trending up moderately 🔴.

UM Kansas City

Record: 3-16 | Elo: 1336.6 (ranked 355 of 365) | Efficiency Margin: -23.04 (ranked 342 of 365)

Offensive Trends:

  • 3Pt Pct (3 Point FGM/FGA (%)): Currently ranked 320 of 365 in D1. Trending up strongly 🟢.
  • Fouls Drawn Per Poss (Fouls Drawn Per Possession): Currently ranked 141 of 365 in D1. Trending down strongly 🟢.

Defensive Trends:

  • Opp Shooting (Opp Shooting): Currently ranked 338 of 365 in D1. Trending up strongly 🔴.
  • Opp Turnovers (Opp Turnovers): Currently ranked 208 of 365 in D1. Trending down strongly 🟢.


Figure 2: Offensive Four Factors comparison across Summit League teams. The radar chart shows each team’s shooting efficiency (eFG%), ball security (TOV%), offensive rebounding (OREB%), and free throw generation (FT Rate).


Figure 3: Defensive Four Factors comparison across Summit League teams. The radar chart shows each team’s opponent shooting defense (Opp eFG%), ball disruption (forcing TOV%), defensive rebounding (DREB%), and opponent free throw prevention (Opp FT Rate).


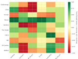
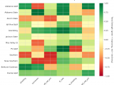
Figure 4: MACD trends heatmap showing which metrics are improving (green) or declining (red) for each team. Stronger colors indicate more pronounced trends.


Looking Ahead

As Summit League teams continue their season, the MACD trending indicators will help identify which teams are genuinely improving versus those riding unsustainable momentum. Check back next week for updated analysis.


Metrics Glossary

Four Factors (Dean Oliver’s framework for basketball success):

  • eFG% (Effective Field Goal %): Field goal percentage adjusted for 3-pointers being worth more (FGM + 0.5×3PM) / FGA. Higher is better offensively, lower is better defensively.
  • TOV% (Turnover Rate): Turnovers per 100 possessions. Lower is better offensively (taking care of the ball), higher is better defensively (forcing turnovers).
  • OREB% / DREB% (Offensive/Defensive Rebound Rate): Percentage of available rebounds grabbed. Offensive rebounds create second-chance points; defensive rebounds end opponent possessions.
  • FTR (Free Throw Rate): Free throws made per field goal attempt (FTM/FGA). Measures ability to get to the line AND convert. Higher is better offensively, lower is better defensively.

Other Metrics:

  • Elo Rating: Chess-style rating system that updates based on game results and opponent strength. Higher Elo indicates stronger team.
  • Efficiency Margin: Point differential per 100 possessions (Offensive Efficiency – Defensive Efficiency). Accounts for pace of play.
  • MACD (Moving Average Convergence Divergence): Trend indicator comparing 12-game and 26-game exponential moving averages. Positive MACD = improving trend, Negative MACD = declining trend.

Analysis powered by HoopSci’s advanced metrics and MACD trending indicators.