Patriot League Update: Week 12
January 26, 2026Patriot League Mid-Season Trends: Separating the Rising from the Falling
As Week 12 of the Patriot League season approaches, teams are showcasing diverse performance trends that set them up for varying degrees of success. Our analysis employs Moving Average Convergence Divergence (MACD) indicators to reveal not only where each team stands but also which direction they’re heading.
What is MACD?
The Moving Average Convergence Divergence (MACD) indicator is a technical tool used to analyze trends in financial and sporting data. It calculates the difference between two moving averages of different lengths, helping to identify shifts in momentum and potential buy/sell signals. In this context, we’ve adapted the MACD formula to reflect team performance by analyzing rebounds, turnovers, and shooting percentages.
Offensive Trends: Where Teams Are Struggling
Three teams in particular stand out for their struggles on the offensive end.
- Boston U: The Terriers’ rebounding percentage is trending downward, with a season average of 0.245 (Strongly Down). This decline indicates worsening performance.
- Holy Cross: Like Boston U, Holy Cross is experiencing a decrease in its rebounding percentage, currently averaging 0.195 (Strongly Down), further indicating a decline in performance.
Defensive Trends: Where Teams Are Improving
Conversely, several teams are showing improvement on the defensive side of the court.
- Colgate: The Raiders’ defensive rebounding percentage is trending upward, with a season average of 0.709 (Strongly Up). This upward trend signifies improving performance.
- Navy: The Midshipmen’s opponents’ shooting percentage is trending downward, currently averaging 0.48 (Strongly Down), indicating improved defense.
Teams Finding Balance
Two teams are balancing their trends in both offense and defense.
- Bucknell: While the Bison are improving on turnovers (currently averaging 0.185, Strongly Down), they are also experiencing a worsening trend in shooting percentage (season average of 0.49).
- Lafayette: The Leopards’ opponents are trending upward in terms of turnover rate, but Lafayette is struggling with its own shooting percentage (season average of 0.49).

Figure 1: Efficiency margin trends for Patriot League teams throughout the season. Teams trending upward show improving performance, while downward trends indicate struggles.
Conference Snapshot
- Week Dates: January 19 – January 25, 2026
- Trending Up (Efficiency): American, Army, Boston U, Lehigh, Loyola (MD)
- Trending Down (Efficiency): Bucknell, Colgate, Holy Cross, Lafayette
Team-by-Team Analysis
American
Record: 13-8 | Elo: 1523.9 (ranked 150 of 365) | Efficiency Margin: -5.30 (ranked 206 of 365)
Offensive Trends:
- Shooting (Shooting): Currently ranked 161 of 365 in D1. Trending up weakly 🟢.
- Turnovers (Turnovers): Currently ranked 148 of 365 in D1. Trending up weakly 🔴.
Defensive Trends:
- Opp Shooting (Opp Shooting): Currently ranked 257 of 365 in D1. Trending down moderately 🟢.
- Def Reb Pct (Defensive Rebounding): Currently ranked 245 of 365 in D1. Trending up moderately 🟢.
Army
Record: 8-13 | Elo: 1399.1 (ranked 308 of 365) | Efficiency Margin: -18.09 (ranked 317 of 365)
Offensive Trends:
- Shooting (Shooting): Currently ranked 231 of 365 in D1. Trending up moderately 🟢.
- Turnovers (Turnovers): Currently ranked 135 of 365 in D1. Trending up weakly 🔴.
Defensive Trends:
- Opp Shooting (Opp Shooting): Currently ranked 348 of 365 in D1. Trending up strongly 🔴.
- Def Reb Pct (Defensive Rebounding): Currently ranked 110 of 365 in D1. Trending down moderately 🔴.
Boston U
Record: 8-13 | Elo: 1416.1 (ranked 284 of 365) | Efficiency Margin: -9.54 (ranked 241 of 365)
Offensive Trends:
- Off Reb Pct (Offensive Rebounding): Currently ranked 295 of 365 in D1. Trending down strongly 🔴.
- Shooting (Shooting): Currently ranked 20 of 365 in D1. Trending up moderately 🟢.
Defensive Trends:
- Opp Turnovers (Opp Turnovers): Currently ranked 345 of 365 in D1. Trending down strongly 🔴.
- Opp Shooting (Opp Shooting): Currently ranked 325 of 365 in D1. Trending down weakly 🟢.
Bucknell
Record: 6-15 | Elo: 1415.0 (ranked 286 of 365) | Efficiency Margin: -16.78 (ranked 306 of 365)
Offensive Trends:
- Turnovers (Turnovers): Currently ranked 329 of 365 in D1. Trending down strongly 🟢.
- Shooting (Shooting): Currently ranked 319 of 365 in D1. Trending down moderately 🔴.
Defensive Trends:
- Opp Shooting (Opp Shooting): Currently ranked 326 of 365 in D1. Trending up moderately 🔴.
- Opp Turnovers (Opp Turnovers): Currently ranked 61 of 365 in D1. Trending up moderately 🟢.
Colgate
Record: 12-9 | Elo: 1512.6 (ranked 162 of 365) | Efficiency Margin: +0.32 (ranked 157 of 365)
Offensive Trends:
- Off Reb Pct (Offensive Rebounding): Currently ranked 294 of 365 in D1. Trending up moderately 🟢.
- Shooting (Shooting): Currently ranked 81 of 365 in D1. Trending down weakly 🔴.
Defensive Trends:
- Def Reb Pct (Defensive Rebounding): Currently ranked 217 of 365 in D1. Trending up strongly 🟢.
- Opp Turnovers (Opp Turnovers): Currently ranked 256 of 365 in D1. Trending up moderately 🟢.
Holy Cross
Record: 8-13 | Elo: 1371.8 (ranked 333 of 365) | Efficiency Margin: -17.43 (ranked 310 of 365)
Offensive Trends:
- Off Reb Pct (Offensive Rebounding): Currently ranked 358 of 365 in D1. Trending down strongly 🔴.
- Shooting (Shooting): Currently ranked 239 of 365 in D1. Trending down weakly 🔴.
Defensive Trends:
- Opp Turnovers (Opp Turnovers): Currently ranked 282 of 365 in D1. Trending down moderately 🔴.
- Opp Shooting (Opp Shooting): Currently ranked 303 of 365 in D1. Trending down weakly 🟢.
Lafayette
Record: 5-15 | Elo: 1342.4 (ranked 350 of 365) | Efficiency Margin: -13.96 (ranked 282 of 365)
Offensive Trends:
- Shooting (Shooting): Currently ranked 268 of 365 in D1. Trending down strongly 🔴.
- Turnovers (Turnovers): Currently ranked 70 of 365 in D1. Trending down strongly 🟢.
Defensive Trends:
- Opp Turnovers (Opp Turnovers): Currently ranked 299 of 365 in D1. Trending up strongly 🟢.
- Opp Shooting (Opp Shooting): Currently ranked 287 of 365 in D1. Trending up moderately 🔴.
Lehigh
Record: 9-12 | Elo: 1404.8 (ranked 300 of 365) | Efficiency Margin: -12.76 (ranked 270 of 365)
Offensive Trends:
- Shooting (Shooting): Currently ranked 183 of 365 in D1. Trending up moderately 🟢.
- Turnovers (Turnovers): Currently ranked 275 of 365 in D1. Trending down weakly 🟢.
Defensive Trends:
- Opp Turnovers (Opp Turnovers): Currently ranked 130 of 365 in D1. Trending down moderately 🔴.
- Opp Shooting (Opp Shooting): Currently ranked 172 of 365 in D1. Trending down weakly 🟢.
Loyola (MD)
Record: 7-14 | Elo: 1349.7 (ranked 346 of 365) | Efficiency Margin: -15.51 (ranked 296 of 365)
Offensive Trends:
- Turnovers (Turnovers): Currently ranked 229 of 365 in D1. Trending down moderately 🟢.
- Shooting (Shooting): Currently ranked 236 of 365 in D1. Trending up weakly 🟢.
Defensive Trends:
- Opp Shooting (Opp Shooting): Currently ranked 306 of 365 in D1. Trending down moderately 🟢.
- Opp Turnovers (Opp Turnovers): Currently ranked 252 of 365 in D1. Trending down moderately 🔴.
Navy
Record: 15-6 | Elo: 1514.2 (ranked 159 of 365) | Efficiency Margin: +5.33 (ranked 113 of 365)
Offensive Trends:
- Shooting (Shooting): Currently ranked 172 of 365 in D1. Trending up strongly 🟢.
- Turnovers (Turnovers): Currently ranked 248 of 365 in D1. Trending up weakly 🔴.
Defensive Trends:
- Opp Shooting (Opp Shooting): Currently ranked 54 of 365 in D1. Trending down strongly 🟢.
- Def Reb Pct (Defensive Rebounding): Currently ranked 40 of 365 in D1. Trending up strongly 🟢.

Figure 2: Offensive Four Factors comparison across Patriot League teams. The radar chart shows each team’s shooting efficiency (eFG%), ball security (TOV%), offensive rebounding (OREB%), and free throw generation (FT Rate).

Figure 3: Defensive Four Factors comparison across Patriot League teams. The radar chart shows each team’s opponent shooting defense (Opp eFG%), ball disruption (forcing TOV%), defensive rebounding (DREB%), and opponent free throw prevention (Opp FT Rate).

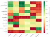
Figure 4: MACD trends heatmap showing which metrics are improving (green) or declining (red) for each team. Stronger colors indicate more pronounced trends.
Looking Ahead
Patriot League Teams Show Signs of Improvement and Decline
As the Patriot League continues its season, several teams have demonstrated trends in key categories. Analyzing these metrics can help identify which teams are genuinely improving versus those experiencing a trend that may not be sustainable.
Offensive Trends to Highlight:
- Boston University’s ability to secure rebounds has worsened, with their off-rebound percentage trending down strongly over the past few games. This decline could impact their scoring efficiency.
- Bucknell is showing improvement on the defensive end by reducing turnovers, a trend that is strengthening as the season progresses.
- Holy Cross and Lafayette are experiencing difficulties in various aspects of their offense. Holy Cross’s off-rebound percentage has worsened, while Lafayette’s shooting accuracy has declined strongly over the past week.
Defensive Trends to Highlight:
- Army’s opponents have seen an increase in shooting accuracy, which is a concerning trend for the team on defense.
- Colgate’s defensive rebounding percentage is trending up strongly, indicating improved ability to secure rebounds and limit opponents’ scoring opportunities.
- Lafayette is making strides in forcing turnovers among its opponents, a trend that has strengthened throughout the season.
These trends will be revisited next week, providing further insight into the Patriot League teams’ performances.
Metrics Glossary
Four Factors (Dean Oliver’s framework for basketball success):
- eFG% (Effective Field Goal %): Field goal percentage adjusted for 3-pointers being worth more (FGM + 0.5×3PM) / FGA. Higher is better offensively, lower is better defensively.
- TOV% (Turnover Rate): Turnovers per 100 possessions. Lower is better offensively (taking care of the ball), higher is better defensively (forcing turnovers).
- OREB% / DREB% (Offensive/Defensive Rebound Rate): Percentage of available rebounds grabbed. Offensive rebounds create second-chance points; defensive rebounds end opponent possessions.
- FTR (Free Throw Rate): Free throws made per field goal attempt (FTM/FGA). Measures ability to get to the line AND convert. Higher is better offensively, lower is better defensively.
Other Metrics:
- Elo Rating: Chess-style rating system that updates based on game results and opponent strength. Higher Elo indicates stronger team.
- Efficiency Margin: Point differential per 100 possessions (Offensive Efficiency – Defensive Efficiency). Accounts for pace of play.
- MACD (Moving Average Convergence Divergence): Trend indicator comparing 12-game and 26-game exponential moving averages. Positive MACD = improving trend, Negative MACD = declining trend.
Analysis powered by HoopSci’s advanced metrics and MACD trending indicators.

