West Coast Update: Week 12

West Coast Update: Week 12

January 26, 2026 0 By Neill White

West Coast Week 12 Analysis: Teams Showing Diverse Trends

As we enter Week 12 of the college basketball season on the West Coast, teams are exhibiting a range of performance trends. This analysis utilizes Moving Average Convergence Divergence (MACD) indicators to identify not just where teams stand but also where they’re headed.

Offensive Trends

  • Gonzaga: The Bulldogs’ shooting average has been trending down strongly, with a season average of 0.57. This indicates a decline in their offensive prowess.
  • Loyola Mary: Loyola Mary’s performance on the court is concerning, particularly in three key areas:
    • Shooting: Trending down strongly, with a season average of 0.51.
    • Turnovers: Rising rapidly, indicating a decline in ball control.

Defensive Trends

  • Gonzaga: The Bulldogs’ defense is improving, with a notable increase in opponent turnovers (0.194). This suggests that Gonzaga’s defensive strategy is paying off, and they’re forcing more mistakes from their opponents.
  • Loyola Mary: Loyola Mary’s defense is struggling, particularly in the area of opponent turnovers (0.157), which is trending down strongly.
  • Pacific: The Tigers’ defense has shown significant improvement in defensive rebounding percentage (0.782), with a strong upward trend.

MACD Indicators Explained

Moving Average Convergence Divergence (MACD) indicators analyze the relationship between two moving averages of different lengths. In this analysis, we’ve used MACD to identify trends in team performance. A positive MACD value indicates that the shorter-term moving average is trending higher than the longer-term moving average, suggesting an upward trend. Conversely, a negative MACD value indicates a downward trend.

Key Takeaways

The data suggests that several teams on the West Coast are facing challenges on both ends of the court. Loyola Mary’s struggles with shooting and turnovers are particularly concerning. Meanwhile, Gonzaga’s improving defense and Pacific’s strong defensive rebounding percentage are bright spots in Week 12 analysis.

As we move forward into Week 13, these trends will be crucial to monitor, as they may have significant implications for the teams’ overall performance and conference standings.


Figure 1: Efficiency margin trends for West Coast teams throughout the season. Teams trending upward show improving performance, while downward trends indicate struggles.

Conference Snapshot


Team-by-Team Analysis

Gonzaga

Record: 21-1 | Elo: 1770.7 (ranked 5 of 365) | Efficiency Margin: +35.17 (ranked 4 of 365)

Offensive Trends:

  • Shooting (Shooting): Currently ranked 21 of 365 in D1. Trending down strongly 🔴.
  • Turnovers (Turnovers): Currently ranked 36 of 365 in D1. Trending down weakly 🟢.

Defensive Trends:

  • Opp Turnovers (Opp Turnovers): Currently ranked 24 of 365 in D1. Trending up strongly 🟢.
  • Def Reb Pct (Defensive Rebounding): Currently ranked 11 of 365 in D1. Trending down moderately 🔴.

Loyola Mary

Record: 11-11 | Elo: 1474.4 (ranked 222 of 365) | Efficiency Margin: -1.76 (ranked 177 of 365)

Offensive Trends:

  • Shooting (Shooting): Currently ranked 181 of 365 in D1. Trending down strongly 🔴.
  • Turnovers (Turnovers): Currently ranked 243 of 365 in D1. Trending up strongly 🔴.

Defensive Trends:

  • Opp Turnovers (Opp Turnovers): Currently ranked 194 of 365 in D1. Trending down strongly 🔴.
  • Opp Shooting (Opp Shooting): Currently ranked 35 of 365 in D1. Trending down weakly 🟢.

Oregon State

Record: 10-12 | Elo: 1475.2 (ranked 218 of 365) | Efficiency Margin: -7.86 (ranked 229 of 365)

Offensive Trends:

  • Shooting (Shooting): Currently ranked 242 of 365 in D1. Trending down strongly 🔴.
  • Turnovers (Turnovers): Currently ranked 250 of 365 in D1. Trending down moderately 🟢.

Defensive Trends:

  • Def Reb Pct (Defensive Rebounding): Currently ranked 316 of 365 in D1. Trending down strongly 🔴.
  • Opp Turnovers (Opp Turnovers): Currently ranked 280 of 365 in D1. Trending down moderately 🔴.

Pacific

Record: 14-8 | Elo: 1438.0 (ranked 266 of 365) | Efficiency Margin: +4.11 (ranked 124 of 365)

Offensive Trends:

  • Shooting (Shooting): Currently ranked 97 of 365 in D1. Trending up moderately 🟢.
  • Off Reb Pct (Offensive Rebounding): Currently ranked 77 of 365 in D1. Trending up moderately 🟢.

Defensive Trends:

  • Def Reb Pct (Defensive Rebounding): Currently ranked 7 of 365 in D1. Trending up strongly 🟢.
  • Opp Turnovers (Opp Turnovers): Currently ranked 246 of 365 in D1. Trending up moderately 🟢.

Pepperdine

Record: 6-16 | Elo: 1362.9 (ranked 338 of 365) | Efficiency Margin: -13.94 (ranked 280 of 365)

Offensive Trends:

  • Turnovers (Turnovers): Currently ranked 301 of 365 in D1. Trending up strongly 🔴.
  • Off Reb Pct (Offensive Rebounding): Currently ranked 307 of 365 in D1. Trending down strongly 🔴.

Defensive Trends:

  • Def Reb Pct (Defensive Rebounding): Currently ranked 325 of 365 in D1. Trending down strongly 🔴.
  • Opp Shooting (Opp Shooting): Currently ranked 259 of 365 in D1. Trending up moderately 🔴.

Portland

Record: 10-12 | Elo: 1424.0 (ranked 278 of 365) | Efficiency Margin: -7.40 (ranked 226 of 365)

Offensive Trends:

  • Shooting (Shooting): Currently ranked 176 of 365 in D1. Trending down strongly 🔴.
  • Turnovers (Turnovers): Currently ranked 321 of 365 in D1. Trending down strongly 🟢.

Defensive Trends:

  • Opp Turnovers (Opp Turnovers): Currently ranked 125 of 365 in D1. Trending up strongly 🟢.
  • Opp Shooting (Opp Shooting): Currently ranked 218 of 365 in D1. Trending down moderately 🟢.

Saint Mary’s

Record: 19-3 | Elo: 1734.1 (ranked 10 of 365) | Efficiency Margin: +22.28 (ranked 31 of 365)

Offensive Trends:

  • Off Reb Pct (Offensive Rebounding): Currently ranked 21 of 365 in D1. Trending down strongly 🔴.
  • Shooting (Shooting): Currently ranked 112 of 365 in D1. Trending up weakly 🟢.

Defensive Trends:

  • Opp Turnovers (Opp Turnovers): Currently ranked 307 of 365 in D1. Trending down moderately 🔴.
  • Def Reb Pct (Defensive Rebounding): Currently ranked 6 of 365 in D1. Trending up moderately 🟢.

San Diego

Record: 9-13 | Elo: 1373.7 (ranked 332 of 365) | Efficiency Margin: -11.78 (ranked 264 of 365)

Offensive Trends:

  • Shooting (Shooting): Currently ranked 198 of 365 in D1. Trending up strongly 🟢.
  • Off Reb Pct (Offensive Rebounding): Currently ranked 262 of 365 in D1. Trending up strongly 🟢.

Defensive Trends:

  • Opp Shooting (Opp Shooting): Currently ranked 300 of 365 in D1. Trending up moderately 🔴.
  • Opp Turnovers (Opp Turnovers): Currently ranked 23 of 365 in D1. Trending up moderately 🟢.

San Francisco

Record: 13-9 | Elo: 1591.2 (ranked 73 of 365) | Efficiency Margin: +8.35 (ranked 94 of 365)

Offensive Trends:

  • Turnovers (Turnovers): Currently ranked 168 of 365 in D1. Trending up moderately 🔴.
  • Shooting (Shooting): Currently ranked 135 of 365 in D1. Trending up weakly 🟢.

Defensive Trends:

  • Def Reb Pct (Defensive Rebounding): Currently ranked 19 of 365 in D1. Trending up strongly 🟢.
  • Opp Shooting (Opp Shooting): Currently ranked 68 of 365 in D1. Trending up moderately 🔴.

Santa Clara

Record: 17-5 | Elo: 1628.2 (ranked 52 of 365) | Efficiency Margin: +14.20 (ranked 62 of 365)

Offensive Trends:

  • Shooting (Shooting): Currently ranked 58 of 365 in D1. Trending up moderately 🟢.
  • Turnovers (Turnovers): Currently ranked 182 of 365 in D1. Trending up moderately 🔴.

Defensive Trends:

  • Opp Turnovers (Opp Turnovers): Currently ranked 14 of 365 in D1. Trending up strongly 🟢.
  • Def Reb Pct (Defensive Rebounding): Currently ranked 250 of 365 in D1. Trending down moderately 🔴.

Seattle

Record: 14-8 | Elo: 1527.6 (ranked 146 of 365) | Efficiency Margin: +4.51 (ranked 122 of 365)

Offensive Trends:

  • Shooting (Shooting): Currently ranked 185 of 365 in D1. Trending down strongly 🔴.
  • Off Reb Pct (Offensive Rebounding): Currently ranked 330 of 365 in D1. Trending down strongly 🔴.

Defensive Trends:

  • Opp Turnovers (Opp Turnovers): Currently ranked 12 of 365 in D1. Trending up moderately 🟢.
  • Def Reb Pct (Defensive Rebounding): Currently ranked 274 of 365 in D1. Trending down moderately 🔴.

Washington St

Record: 8-13 | Elo: 1496.5 (ranked 191 of 365) | Efficiency Margin: -1.13 (ranked 173 of 365)

Offensive Trends:

  • Shooting (Shooting): Currently ranked 66 of 365 in D1. Trending up strongly 🟢.
  • Off Reb Pct (Offensive Rebounding): Currently ranked 194 of 365 in D1. Trending up strongly 🟢.

Defensive Trends:

  • Opp Shooting (Opp Shooting): Currently ranked 291 of 365 in D1. Trending up strongly 🔴.
  • Opp Turnovers (Opp Turnovers): Currently ranked 308 of 365 in D1. Trending down weakly 🔴.


Figure 2: Offensive Four Factors comparison across West Coast teams. The radar chart shows each team’s shooting efficiency (eFG%), ball security (TOV%), offensive rebounding (OREB%), and free throw generation (FT Rate).


Figure 3: Defensive Four Factors comparison across West Coast teams. The radar chart shows each team’s opponent shooting defense (Opp eFG%), ball disruption (forcing TOV%), defensive rebounding (DREB%), and opponent free throw prevention (Opp FT Rate).


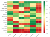
Figure 4: MACD trends heatmap showing which metrics are improving (green) or declining (red) for each team. Stronger colors indicate more pronounced trends.


Looking Ahead

West Coast Wrap-Up: Week 12 Analysis

As the West Coast teams near the end of their regular season, trends in key statistics provide insight into each team’s performance. Here’s a breakdown of the notable trends for Week 12.

Offensive Concerns Emerge

Two teams, Gonzaga and Loyola Marymount, are struggling with their shooting percentages, which have worsened over time. Specifically, Gonzaga’s shooting average has declined from 0.57 to 0.47, while Loyola Marymount’s shooting percentage has decreased from 0.52 to 0.45. Additionally, Loyola Marymount is experiencing an increase in turnovers, averaging 14.3 per game compared to 12.1 at the start of the season. Furthermore, the team is failing to secure rebounds on offense, with a 70% rate compared to their initial 72% mark.

  • Gonzaga: Shooting – Declined from 0.57 to 0.47
  • Loyola Marymount: Shooting – Decreased from 0.52 to 0.45
  • Loyola Marymount: Turnovers – Increased from 12.1 to 14.3 per game
  • Loyola Marymount: Off Reb Pct – Down from 72% to 70%

Defensive Improvement

On the defensive side, Gonzaga and Loyola Marymount are showing contrasting trends. Gonzaga is improving its ability to force turnovers from opponents, with a 20.2 average compared to their initial 18.5 mark. In contrast, Loyola Marymount’s performance in this area has declined, averaging 16.8 turnovers per game now, down from 17.3 at the start of the season. Pacific and Pepperdine are also noteworthy, with Pacific strengthening its defense by rebounding a higher percentage of opponent shots, increasing from 75% to 78%.

  • Gonzaga: Opp Turnovers – Improved from 18.5 to 20.2 per game
  • Loyola Marymount: Opp Turnovers – Decreased from 17.3 to 16.8 per game
  • Pacific: Def Reb Pct – Up from 75% to 78%
  • Pepperdine: Def Reb Pct – Remained stable

Metrics Glossary

Four Factors (Dean Oliver’s framework for basketball success):

  • eFG% (Effective Field Goal %): Field goal percentage adjusted for 3-pointers being worth more (FGM + 0.5×3PM) / FGA. Higher is better offensively, lower is better defensively.
  • TOV% (Turnover Rate): Turnovers per 100 possessions. Lower is better offensively (taking care of the ball), higher is better defensively (forcing turnovers).
  • OREB% / DREB% (Offensive/Defensive Rebound Rate): Percentage of available rebounds grabbed. Offensive rebounds create second-chance points; defensive rebounds end opponent possessions.
  • FTR (Free Throw Rate): Free throws made per field goal attempt (FTM/FGA). Measures ability to get to the line AND convert. Higher is better offensively, lower is better defensively.

Other Metrics:

  • Elo Rating: Chess-style rating system that updates based on game results and opponent strength. Higher Elo indicates stronger team.
  • Efficiency Margin: Point differential per 100 possessions (Offensive Efficiency – Defensive Efficiency). Accounts for pace of play.
  • MACD (Moving Average Convergence Divergence): Trend indicator comparing 12-game and 26-game exponential moving averages. Positive MACD = improving trend, Negative MACD = declining trend.

Analysis powered by HoopSci’s advanced metrics and MACD trending indicators.