Atlantic 10 Update: Week 14
February 9, 2026The Atlantic 10 enters Week 14 with teams showing diverse trending patterns. This analysis examines each team’s performance trends using MACD (Moving Average Convergence Divergence) indicators to identify not just where teams stand, but where they’re headed.

Figure 1: Efficiency margin trends for Atlantic 10 teams throughout the season. Teams trending upward show improving performance, while downward trends indicate struggles.
Conference Snapshot
- Week Dates: February 02 – February 08, 2026
- Trending Up (Efficiency): Davidson, Saint Joe’s, Saint Louis, St Bonaventure
- Trending Down (Efficiency): Dayton, Duquesne, Fordham, George Mason, G Washington
Team-by-Team Analysis
Davidson
Record: 14-9 | Elo: 1524.0 (ranked 147 of 365) | Efficiency Margin: +8.13 (ranked 92 of 365)
Offensive Trends:
- Shooting (Shooting): Currently ranked 76 of 365 in D1. Trending up strongly 🟢.
- Off Reb Pct (Offensive Rebounding): Currently ranked 203 of 365 in D1. Trending up strongly 🟢.
Defensive Trends:
- Opp Turnovers (Opp Turnovers): Currently ranked 110 of 365 in D1. Trending up strongly 🟢.
- Def Reb Pct (Defensive Rebounding): Currently ranked 212 of 365 in D1. Trending down strongly 🔴.
Dayton
Record: 15-9 | Elo: 1608.0 (ranked 64 of 365) | Efficiency Margin: +10.19 (ranked 81 of 365)
Offensive Trends:
- Shooting (Shooting): Currently ranked 173 of 365 in D1. Trending down strongly 🔴.
- Turnovers (Turnovers): Currently ranked 206 of 365 in D1. Trending up strongly 🔴.
Defensive Trends:
- Opp Shooting (Opp Shooting): Currently ranked 205 of 365 in D1. Trending up moderately 🔴.
- Opp Turnovers (Opp Turnovers): Currently ranked 7 of 365 in D1. Trending down moderately 🔴.
Duquesne
Record: 14-10 | Elo: 1525.5 (ranked 145 of 365) | Efficiency Margin: +5.47 (ranked 116 of 365)
Offensive Trends:
- Turnovers (Turnovers): Currently ranked 270 of 365 in D1. Trending down strongly 🟢.
- Off Reb Pct (Offensive Rebounding): Currently ranked 172 of 365 in D1. Trending down strongly 🔴.
Defensive Trends:
- Def Reb Pct (Defensive Rebounding): Currently ranked 155 of 365 in D1. Trending down strongly 🔴.
- Opp Shooting (Opp Shooting): Currently ranked 215 of 365 in D1. Trending up moderately 🔴.
Fordham
Record: 11-12 | Elo: 1430.1 (ranked 271 of 365) | Efficiency Margin: +0.93 (ranked 148 of 365)
Offensive Trends:
- Shooting (Shooting): Currently ranked 274 of 365 in D1. Trending down moderately 🔴.
- Turnovers (Turnovers): Currently ranked 220 of 365 in D1. Trending down moderately 🟢.
Defensive Trends:
- Opp Turnovers (Opp Turnovers): Currently ranked 201 of 365 in D1. Trending up strongly 🟢.
- Opp Shooting (Opp Shooting): Currently ranked 98 of 365 in D1. Trending up moderately 🔴.
G Washington
Record: 13-11 | Elo: 1507.8 (ranked 175 of 365) | Efficiency Margin: +9.61 (ranked 88 of 365)
Offensive Trends:
- Off Reb Pct (Offensive Rebounding): Currently ranked 29 of 365 in D1. Trending up strongly 🟢.
- Shooting (Shooting): Currently ranked 52 of 365 in D1. Trending down moderately 🔴.
Defensive Trends:
- Opp Turnovers (Opp Turnovers): Currently ranked 140 of 365 in D1. Trending down strongly 🔴.
- Def Reb Pct (Defensive Rebounding): Currently ranked 125 of 365 in D1. Trending down strongly 🔴.
George Mason
Record: 21-3 | Elo: 1678.0 (ranked 29 of 365) | Efficiency Margin: +12.45 (ranked 69 of 365)
Offensive Trends:
- Turnovers (Turnovers): Currently ranked 104 of 365 in D1. Trending up moderately 🔴.
- Shooting (Shooting): Currently ranked 88 of 365 in D1. Trending down weakly 🔴.
Defensive Trends:
- Opp Turnovers (Opp Turnovers): Currently ranked 203 of 365 in D1. Trending down moderately 🔴.
- Def Reb Pct (Defensive Rebounding): Currently ranked 100 of 365 in D1. Trending down moderately 🔴.
La Salle
Record: 7-17 | Elo: 1415.7 (ranked 289 of 365) | Efficiency Margin: -10.93 (ranked 262 of 365)
Offensive Trends:
- Off Reb Pct (Offensive Rebounding): Currently ranked 103 of 365 in D1. Trending down strongly 🔴.
- Shooting (Shooting): Currently ranked 340 of 365 in D1. Trending down moderately 🔴.
Defensive Trends:
- Def Reb Pct (Defensive Rebounding): Currently ranked 186 of 365 in D1. Trending up strongly 🟢.
- Opp Shooting (Opp Shooting): Currently ranked 304 of 365 in D1. Trending up moderately 🔴.
Loyola-Chicago
Record: 6-19 | Elo: 1463.8 (ranked 231 of 365) | Efficiency Margin: -14.81 (ranked 292 of 365)
Offensive Trends:
- Turnovers (Turnovers): Currently ranked 340 of 365 in D1. Trending up moderately 🔴.
- Off Reb Pct (Offensive Rebounding): Currently ranked 125 of 365 in D1. Trending up moderately 🟢.
Defensive Trends:
- Opp Shooting (Opp Shooting): Currently ranked 248 of 365 in D1. Trending up strongly 🔴.
- Def Reb Pct (Defensive Rebounding): Currently ranked 188 of 365 in D1. Trending up strongly 🟢.
Richmond
Record: 13-11 | Elo: 1463.3 (ranked 232 of 365) | Efficiency Margin: +3.32 (ranked 128 of 365)
Offensive Trends:
- Shooting (Shooting): Currently ranked 101 of 365 in D1. Trending down moderately 🔴.
- Turnovers (Turnovers): Currently ranked 62 of 365 in D1. Trending up weakly 🔴.
Defensive Trends:
- Def Reb Pct (Defensive Rebounding): Currently ranked 223 of 365 in D1. Trending down strongly 🔴.
- Opp Shooting (Opp Shooting): Currently ranked 194 of 365 in D1. Trending up moderately 🔴.
Saint Joe’s
Record: 15-9 | Elo: 1578.8 (ranked 82 of 365) | Efficiency Margin: +4.39 (ranked 119 of 365)
Offensive Trends:
- Shooting (Shooting): Currently ranked 289 of 365 in D1. Trending up moderately 🟢.
- Turnovers (Turnovers): Currently ranked 234 of 365 in D1. Trending up moderately 🔴.
Defensive Trends:
- Opp Shooting (Opp Shooting): Currently ranked 65 of 365 in D1. Trending down moderately 🟢.
- Def Reb Pct (Defensive Rebounding): Currently ranked 208 of 365 in D1. Trending down moderately 🔴.
Saint Louis
Record: 23-1 | Elo: 1671.4 (ranked 33 of 365) | Efficiency Margin: +26.03 (ranked 23 of 365)
Offensive Trends:
- Shooting (Shooting): Currently ranked 2 of 365 in D1. Trending up strongly 🟢.
- Off Reb Pct (Offensive Rebounding): Currently ranked 106 of 365 in D1. Trending down strongly 🔴.
Defensive Trends:
- Opp Shooting (Opp Shooting): Currently ranked 1 of 365 in D1. Trending down moderately 🟢.
- Opp Turnovers (Opp Turnovers): Currently ranked 258 of 365 in D1. Trending up moderately 🟢.
St Bonaventure
Record: 14-10 | Elo: 1551.2 (ranked 115 of 365) | Efficiency Margin: +2.84 (ranked 131 of 365)
Offensive Trends:
- Shooting (Shooting): Currently ranked 100 of 365 in D1. Trending up strongly 🟢.
- Off Reb Pct (Offensive Rebounding): Currently ranked 69 of 365 in D1. Trending down strongly 🔴.
Defensive Trends:
- Def Reb Pct (Defensive Rebounding): Currently ranked 171 of 365 in D1. Trending down strongly 🔴.
- Opp Shooting (Opp Shooting): Currently ranked 284 of 365 in D1. Trending up moderately 🔴.
URI
Record: 14-9 | Elo: 1531.7 (ranked 139 of 365) | Efficiency Margin: +7.33 (ranked 98 of 365)
Offensive Trends:
- Turnovers (Turnovers): Currently ranked 280 of 365 in D1. Trending down strongly 🟢.
- Shooting (Shooting): Currently ranked 159 of 365 in D1. Trending down moderately 🔴.
Defensive Trends:
- Opp Shooting (Opp Shooting): Currently ranked 202 of 365 in D1. Trending up strongly 🔴.
- Def Reb Pct (Defensive Rebounding): Currently ranked 158 of 365 in D1. Trending up strongly 🟢.
VCU
Record: 18-6 | Elo: 1683.7 (ranked 26 of 365) | Efficiency Margin: +18.50 (ranked 43 of 365)
Offensive Trends:
- Off Reb Pct (Offensive Rebounding): Currently ranked 51 of 365 in D1. Trending down strongly 🔴.
- Turnovers (Turnovers): Currently ranked 99 of 365 in D1. Trending down moderately 🟢.
Defensive Trends:
- Opp Turnovers (Opp Turnovers): Currently ranked 149 of 365 in D1. Trending down moderately 🔴.
- Opp Shooting (Opp Shooting): Currently ranked 92 of 365 in D1. Trending up weakly 🔴.

Figure 2: Offensive Four Factors comparison across Atlantic 10 teams. The radar chart shows each team’s shooting efficiency (eFG%), ball security (TOV%), offensive rebounding (OREB%), and free throw generation (FT Rate).

Figure 3: Defensive Four Factors comparison across Atlantic 10 teams. The radar chart shows each team’s opponent shooting defense (Opp eFG%), ball disruption (forcing TOV%), defensive rebounding (DREB%), and opponent free throw prevention (Opp FT Rate).

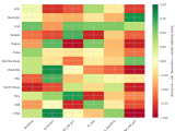
Figure 4: MACD trends heatmap showing which metrics are improving (green) or declining (red) for each team. Stronger colors indicate more pronounced trends.
Looking Ahead
As Atlantic 10 teams continue their season, the MACD trending indicators will help identify which teams are genuinely improving versus those riding unsustainable momentum. Check back next week for updated analysis.
Metrics Glossary
Four Factors (Dean Oliver’s framework for basketball success):
- eFG% (Effective Field Goal %): Field goal percentage adjusted for 3-pointers being worth more (FGM + 0.5×3PM) / FGA. Higher is better offensively, lower is better defensively.
- TOV% (Turnover Rate): Turnovers per 100 possessions. Lower is better offensively (taking care of the ball), higher is better defensively (forcing turnovers).
- OREB% / DREB% (Offensive/Defensive Rebound Rate): Percentage of available rebounds grabbed. Offensive rebounds create second-chance points; defensive rebounds end opponent possessions.
- FTR (Free Throw Rate): Free throws made per field goal attempt (FTM/FGA). Measures ability to get to the line AND convert. Higher is better offensively, lower is better defensively.
Other Metrics:
- Elo Rating: Chess-style rating system that updates based on game results and opponent strength. Higher Elo indicates stronger team.
- Efficiency Margin: Point differential per 100 possessions (Offensive Efficiency – Defensive Efficiency). Accounts for pace of play.
- MACD (Moving Average Convergence Divergence): Trend indicator comparing 12-game and 26-game exponential moving averages. Positive MACD = improving trend, Negative MACD = declining trend.
Analysis powered by HoopSci’s advanced metrics and MACD trending indicators.

