ACC Update: Week 14
February 9, 2026The ACC enters Week 14 with teams showing diverse trending patterns. This analysis examines each team’s performance trends using MACD (Moving Average Convergence Divergence) indicators to identify not just where teams stand, but where they’re headed.

Figure 1: Efficiency margin trends for ACC teams throughout the season. Teams trending upward show improving performance, while downward trends indicate struggles.
Conference Snapshot
- Week Dates: February 02 – February 08, 2026
- Trending Up (Efficiency): Clemson, Florida State, Miami, NC State, UNC
- Trending Down (Efficiency): Boston College, Duke, Georgia Tech, Louisville, Notre Dame
Team-by-Team Analysis
Boston College
Record: 9-14 | Elo: 1439.3 (ranked 260 of 365) | Efficiency Margin: +4.28 (ranked 121 of 365)
Offensive Trends:
- Off Reb Pct (Offensive Rebounding): Currently ranked 254 of 365 in D1. Trending down strongly 🔴.
- Turnovers (Turnovers): Currently ranked 101 of 365 in D1. Trending down moderately 🟢.
Defensive Trends:
- Opp Shooting (Opp Shooting): Currently ranked 31 of 365 in D1. Trending up moderately 🔴.
- Opp Turnovers (Opp Turnovers): Currently ranked 295 of 365 in D1. Trending up weakly 🟢.
Cal
Record: 17-7 | Elo: 1537.5 (ranked 135 of 365) | Efficiency Margin: +14.64 (ranked 57 of 365)
Offensive Trends:
- Off Reb Pct (Offensive Rebounding): Currently ranked 339 of 365 in D1. Trending down strongly 🔴.
- Turnovers (Turnovers): Currently ranked 54 of 365 in D1. Trending up moderately 🔴.
Defensive Trends:
- Opp Shooting (Opp Shooting): Currently ranked 72 of 365 in D1. Trending up strongly 🔴.
- Opp Turnovers (Opp Turnovers): Currently ranked 274 of 365 in D1. Trending down strongly 🔴.
Clemson
Record: 20-4 | Elo: 1722.9 (ranked 16 of 365) | Efficiency Margin: +25.62 (ranked 24 of 365)
Offensive Trends:
- Shooting (Shooting): Currently ranked 69 of 365 in D1. Trending up strongly 🟢.
- Off Reb Pct (Offensive Rebounding): Currently ranked 248 of 365 in D1. Trending down strongly 🔴.
Defensive Trends:
- Def Reb Pct (Defensive Rebounding): Currently ranked 23 of 365 in D1. Trending up moderately 🟢.
- Opp Shooting (Opp Shooting): Currently ranked 14 of 365 in D1. Trending down weakly 🟢.
Duke
Record: 21-2 | Elo: 1813.5 (ranked 2 of 365) | Efficiency Margin: +40.17 (ranked 2 of 365)
Offensive Trends:
- Shooting (Shooting): Currently ranked 17 of 365 in D1. Trending down strongly 🔴.
- Turnovers (Turnovers): Currently ranked 159 of 365 in D1. Trending down weakly 🟢.
Defensive Trends:
- Def Reb Pct (Defensive Rebounding): Currently ranked 12 of 365 in D1. Trending up strongly 🟢.
- Opp Shooting (Opp Shooting): Currently ranked 18 of 365 in D1. Trending up moderately 🔴.
Florida State
Record: 11-12 | Elo: 1518.7 (ranked 156 of 365) | Efficiency Margin: +6.70 (ranked 103 of 365)
Offensive Trends:
- Turnovers (Turnovers): Currently ranked 134 of 365 in D1. Trending down strongly 🟢.
- Off Reb Pct (Offensive Rebounding): Currently ranked 108 of 365 in D1. Trending down moderately 🔴.
Defensive Trends:
- Opp Turnovers (Opp Turnovers): Currently ranked 29 of 365 in D1. Trending down strongly 🔴.
- Def Reb Pct (Defensive Rebounding): Currently ranked 318 of 365 in D1. Trending up moderately 🟢.
Georgia Tech
Record: 11-13 | Elo: 1480.0 (ranked 204 of 365) | Efficiency Margin: +3.52 (ranked 127 of 365)
Offensive Trends:
- Off Reb Pct (Offensive Rebounding): Currently ranked 215 of 365 in D1. Trending down strongly 🔴.
- Turnovers (Turnovers): Currently ranked 273 of 365 in D1. Trending down moderately 🟢.
Defensive Trends:
- Opp Shooting (Opp Shooting): Currently ranked 59 of 365 in D1. Trending up strongly 🔴.
- Opp Turnovers (Opp Turnovers): Currently ranked 289 of 365 in D1. Trending down moderately 🔴.
Louisville
Record: 17-6 | Elo: 1655.9 (ranked 41 of 365) | Efficiency Margin: +31.21 (ranked 11 of 365)
Offensive Trends:
- Off Reb Pct (Offensive Rebounding): Currently ranked 68 of 365 in D1. Trending down moderately 🔴.
- Shooting (Shooting): Currently ranked 39 of 365 in D1. Trending down weakly 🟢.
Defensive Trends:
- Opp Shooting (Opp Shooting): Currently ranked 32 of 365 in D1. Trending up moderately 🔴.
- Opp Turnovers (Opp Turnovers): Currently ranked 157 of 365 in D1. Trending down moderately 🔴.
Miami
Record: 18-5 | Elo: 1552.2 (ranked 111 of 365) | Efficiency Margin: +21.71 (ranked 34 of 365)
Offensive Trends:
- Shooting (Shooting): Currently ranked 19 of 365 in D1. Trending up moderately 🟢.
- Off Reb Pct (Offensive Rebounding): Currently ranked 33 of 365 in D1. Trending down moderately 🔴.
Defensive Trends:
- Opp Turnovers (Opp Turnovers): Currently ranked 82 of 365 in D1. Trending down strongly 🔴.
- Def Reb Pct (Defensive Rebounding): Currently ranked 16 of 365 in D1. Trending up strongly 🟢.
NC State
Record: 18-6 | Elo: 1621.2 (ranked 57 of 365) | Efficiency Margin: +28.40 (ranked 19 of 365)
Offensive Trends:
- Shooting (Shooting): Currently ranked 18 of 365 in D1. Trending up strongly 🟢.
- Off Reb Pct (Offensive Rebounding): Currently ranked 219 of 365 in D1. Trending down strongly 🔴.
Defensive Trends:
- Opp Turnovers (Opp Turnovers): Currently ranked 49 of 365 in D1. Trending down moderately 🔴.
- Def Reb Pct (Defensive Rebounding): Currently ranked 115 of 365 in D1. Trending down moderately 🔴.
Notre Dame
Record: 11-13 | Elo: 1476.5 (ranked 212 of 365) | Efficiency Margin: +10.20 (ranked 80 of 365)
Offensive Trends:
- Turnovers (Turnovers): Currently ranked 188 of 365 in D1. Trending down moderately 🟢.
- Off Reb Pct (Offensive Rebounding): Currently ranked 150 of 365 in D1. Trending down moderately 🔴.
Defensive Trends:
- Opp Shooting (Opp Shooting): Currently ranked 127 of 365 in D1. Trending up strongly 🔴.
- Opp Turnovers (Opp Turnovers): Currently ranked 343 of 365 in D1. Trending down strongly 🔴.
Pitt
Record: 9-15 | Elo: 1479.2 (ranked 206 of 365) | Efficiency Margin: +6.72 (ranked 102 of 365)
Offensive Trends:
- Shooting (Shooting): Currently ranked 224 of 365 in D1. Trending down strongly 🔴.
- Turnovers (Turnovers): Currently ranked 223 of 365 in D1. Trending up strongly 🔴.
Defensive Trends:
- Opp Shooting (Opp Shooting): Currently ranked 254 of 365 in D1. Trending up strongly 🔴.
- Opp Turnovers (Opp Turnovers): Currently ranked 191 of 365 in D1. Trending down moderately 🔴.
SMU
Record: 16-7 | Elo: 1617.8 (ranked 60 of 365) | Efficiency Margin: +21.48 (ranked 36 of 365)
Offensive Trends:
- Shooting (Shooting): Currently ranked 35 of 365 in D1. Trending up moderately 🟢.
- Turnovers (Turnovers): Currently ranked 122 of 365 in D1. Trending down moderately 🟢.
Defensive Trends:
- Opp Turnovers (Opp Turnovers): Currently ranked 135 of 365 in D1. Trending down strongly 🔴.
- Opp Shooting (Opp Shooting): Currently ranked 147 of 365 in D1. Trending up moderately 🔴.
Stanford
Record: 15-9 | Elo: 1556.6 (ranked 108 of 365) | Efficiency Margin: +10.45 (ranked 77 of 365)
Offensive Trends:
- Shooting (Shooting): Currently ranked 211 of 365 in D1. Trending up weakly 🟢.
- Turnovers (Turnovers): Currently ranked 70 of 365 in D1. Trending up weakly 🔴.
Defensive Trends:
- Opp Shooting (Opp Shooting): Currently ranked 212 of 365 in D1. Trending up moderately 🔴.
- Opp Turnovers (Opp Turnovers): Currently ranked 54 of 365 in D1. Trending down moderately 🔴.
Syracuse
Record: 13-11 | Elo: 1520.5 (ranked 152 of 365) | Efficiency Margin: +14.75 (ranked 54 of 365)
Offensive Trends:
- Turnovers (Turnovers): Currently ranked 148 of 365 in D1. Trending down moderately 🟢.
- Off Reb Pct (Offensive Rebounding): Currently ranked 225 of 365 in D1. Trending down moderately 🔴.
Defensive Trends:
- Opp Shooting (Opp Shooting): Currently ranked 48 of 365 in D1. Trending up moderately 🔴.
- Opp Turnovers (Opp Turnovers): Currently ranked 103 of 365 in D1. Trending down moderately 🔴.
UNC
Record: 19-4 | Elo: 1701.1 (ranked 22 of 365) | Efficiency Margin: +27.25 (ranked 21 of 365)
Offensive Trends:
- Turnovers (Turnovers): Currently ranked 24 of 365 in D1. Trending down strongly 🟢.
- Off Reb Pct (Offensive Rebounding): Currently ranked 104 of 365 in D1. Trending down strongly 🔴.
Defensive Trends:
- Opp Shooting (Opp Shooting): Currently ranked 36 of 365 in D1. Trending up strongly 🔴.
- Def Reb Pct (Defensive Rebounding): Currently ranked 27 of 365 in D1. Trending down moderately 🔴.
UVA
Record: 20-3 | Elo: 1658.6 (ranked 38 of 365) | Efficiency Margin: +30.62 (ranked 12 of 365)
Offensive Trends:
- Off Reb Pct (Offensive Rebounding): Currently ranked 5 of 365 in D1. Trending up strongly 🟢.
- Shooting (Shooting): Currently ranked 40 of 365 in D1. Trending down moderately 🔴.
Defensive Trends:
- Opp Turnovers (Opp Turnovers): Currently ranked 228 of 365 in D1. Trending up strongly 🟢.
- Def Reb Pct (Defensive Rebounding): Currently ranked 109 of 365 in D1. Trending up moderately 🟢.
Virginia Tech
Record: 16-8 | Elo: 1561.9 (ranked 101 of 365) | Efficiency Margin: +14.90 (ranked 53 of 365)
Offensive Trends:
- Shooting (Shooting): Currently ranked 176 of 365 in D1. Trending down moderately 🔴.
- Turnovers (Turnovers): Currently ranked 58 of 365 in D1. Trending up weakly 🔴.
Defensive Trends:
- Opp Shooting (Opp Shooting): Currently ranked 116 of 365 in D1. Trending up moderately 🔴.
- Opp Turnovers (Opp Turnovers): Currently ranked 84 of 365 in D1. Trending down weakly 🔴.
Wake Forest
Record: 11-12 | Elo: 1538.4 (ranked 133 of 365) | Efficiency Margin: +13.25 (ranked 63 of 365)
Offensive Trends:
- Turnovers (Turnovers): Currently ranked 116 of 365 in D1. Trending down strongly 🟢.
- Off Reb Pct (Offensive Rebounding): Currently ranked 183 of 365 in D1. Trending down strongly 🔴.
Defensive Trends:
- Opp Shooting (Opp Shooting): Currently ranked 241 of 365 in D1. Trending up strongly 🔴.
- Opp Turnovers (Opp Turnovers): Currently ranked 20 of 365 in D1. Trending down strongly 🔴.

Figure 2: Offensive Four Factors comparison across ACC teams. The radar chart shows each team’s shooting efficiency (eFG%), ball security (TOV%), offensive rebounding (OREB%), and free throw generation (FT Rate).

Figure 3: Defensive Four Factors comparison across ACC teams. The radar chart shows each team’s opponent shooting defense (Opp eFG%), ball disruption (forcing TOV%), defensive rebounding (DREB%), and opponent free throw prevention (Opp FT Rate).

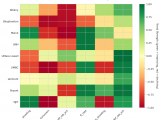
Figure 4: MACD trends heatmap showing which metrics are improving (green) or declining (red) for each team. Stronger colors indicate more pronounced trends.
Looking Ahead
As ACC teams continue their season, the MACD trending indicators will help identify which teams are genuinely improving versus those riding unsustainable momentum. Check back next week for updated analysis.
Metrics Glossary
Four Factors (Dean Oliver’s framework for basketball success):
- eFG% (Effective Field Goal %): Field goal percentage adjusted for 3-pointers being worth more (FGM + 0.5×3PM) / FGA. Higher is better offensively, lower is better defensively.
- TOV% (Turnover Rate): Turnovers per 100 possessions. Lower is better offensively (taking care of the ball), higher is better defensively (forcing turnovers).
- OREB% / DREB% (Offensive/Defensive Rebound Rate): Percentage of available rebounds grabbed. Offensive rebounds create second-chance points; defensive rebounds end opponent possessions.
- FTR (Free Throw Rate): Free throws made per field goal attempt (FTM/FGA). Measures ability to get to the line AND convert. Higher is better offensively, lower is better defensively.
Other Metrics:
- Elo Rating: Chess-style rating system that updates based on game results and opponent strength. Higher Elo indicates stronger team.
- Efficiency Margin: Point differential per 100 possessions (Offensive Efficiency – Defensive Efficiency). Accounts for pace of play.
- MACD (Moving Average Convergence Divergence): Trend indicator comparing 12-game and 26-game exponential moving averages. Positive MACD = improving trend, Negative MACD = declining trend.
Analysis powered by HoopSci’s advanced metrics and MACD trending indicators.

