Ivy Update: Week 14
February 9, 2026The Ivy enters Week 14 with teams showing diverse trending patterns. This analysis examines each team’s performance trends using MACD (Moving Average Convergence Divergence) indicators to identify not just where teams stand, but where they’re headed.

Figure 1: Efficiency margin trends for Ivy teams throughout the season. Teams trending upward show improving performance, while downward trends indicate struggles.
Conference Snapshot
- Week Dates: February 02 – February 08, 2026
- Trending Up (Efficiency): Cornell, Harvard, Yale
- Trending Down (Efficiency): Brown, Columbia, Dartmouth, Penn, Princeton
Team-by-Team Analysis
Brown
Record: 7-14 | Elo: 1423.7 (ranked 280 of 365) | Efficiency Margin: -10.79 (ranked 259 of 365)
Offensive Trends:
- Shooting (Shooting): Currently ranked 321 of 365 in D1. Trending down moderately 🔴.
- Turnovers (Turnovers): Currently ranked 277 of 365 in D1. Trending down moderately 🟢.
Defensive Trends:
- Opp Shooting (Opp Shooting): Currently ranked 155 of 365 in D1. Trending up strongly 🔴.
- Def Reb Pct (Defensive Rebounding): Currently ranked 99 of 365 in D1. Trending up strongly 🟢.
Columbia
Record: 14-8 | Elo: 1471.0 (ranked 223 of 365) | Efficiency Margin: -2.93 (ranked 190 of 365)
Offensive Trends:
- Turnovers (Turnovers): Currently ranked 320 of 365 in D1. Trending up moderately 🔴.
- Off Reb Pct (Offensive Rebounding): Currently ranked 56 of 365 in D1. Trending down moderately 🔴.
Defensive Trends:
- Def Reb Pct (Defensive Rebounding): Currently ranked 83 of 365 in D1. Trending down strongly 🔴.
- Opp Shooting (Opp Shooting): Currently ranked 177 of 365 in D1. Trending up moderately 🔴.
Cornell
Record: 11-10 | Elo: 1552.8 (ranked 110 of 365) | Efficiency Margin: +1.75 (ranked 141 of 365)
Offensive Trends:
- Turnovers (Turnovers): Currently ranked 166 of 365 in D1. Trending down moderately 🟢.
- Off Reb Pct (Offensive Rebounding): Currently ranked 191 of 365 in D1. Trending up moderately 🟢.
Defensive Trends:
- Opp Turnovers (Opp Turnovers): Currently ranked 256 of 365 in D1. Trending up strongly 🟢.
- Opp Shooting (Opp Shooting): Currently ranked 356 of 365 in D1. Trending up moderately 🔴.
Dartmouth
Record: 10-11 | Elo: 1459.5 (ranked 239 of 365) | Efficiency Margin: -7.08 (ranked 223 of 365)
Offensive Trends:
- Turnovers (Turnovers): Currently ranked 258 of 365 in D1. Trending down strongly 🟢.
- Off Reb Pct (Offensive Rebounding): Currently ranked 329 of 365 in D1. Trending down strongly 🔴.
Defensive Trends:
- Opp Shooting (Opp Shooting): Currently ranked 176 of 365 in D1. Trending up moderately 🔴.
- Def Reb Pct (Defensive Rebounding): Currently ranked 145 of 365 in D1. Trending down moderately 🔴.
Harvard
Record: 13-9 | Elo: 1535.4 (ranked 136 of 365) | Efficiency Margin: +3.14 (ranked 130 of 365)
Offensive Trends:
- Shooting (Shooting): Currently ranked 68 of 365 in D1. Trending up strongly 🟢.
- Off Reb Pct (Offensive Rebounding): Currently ranked 322 of 365 in D1. Trending down strongly 🔴.
Defensive Trends:
- Opp Shooting (Opp Shooting): Currently ranked 219 of 365 in D1. Trending down strongly 🟢.
- Opp Turnovers (Opp Turnovers): Currently ranked 147 of 365 in D1. Trending down strongly 🔴.
Penn
Record: 11-10 | Elo: 1467.4 (ranked 228 of 365) | Efficiency Margin: +0.98 (ranked 147 of 365)
Offensive Trends:
- Turnovers (Turnovers): Currently ranked 119 of 365 in D1. Trending down moderately 🟢.
- Shooting (Shooting): Currently ranked 197 of 365 in D1. Trending down weakly 🔴.
Defensive Trends:
- Opp Turnovers (Opp Turnovers): Currently ranked 256 of 365 in D1. Trending up moderately 🟢.
- Opp Shooting (Opp Shooting): Currently ranked 240 of 365 in D1. Trending down weakly 🟢.
Princeton
Record: 8-15 | Elo: 1510.1 (ranked 170 of 365) | Efficiency Margin: -2.10 (ranked 179 of 365)
Offensive Trends:
- Turnovers (Turnovers): Currently ranked 124 of 365 in D1. Trending down strongly 🟢.
- Shooting (Shooting): Currently ranked 259 of 365 in D1. Trending down weakly 🔴.
Defensive Trends:
- Opp Turnovers (Opp Turnovers): Currently ranked 320 of 365 in D1. Trending down strongly 🔴.
- Def Reb Pct (Defensive Rebounding): Currently ranked 47 of 365 in D1. Trending down strongly 🔴.
Yale
Record: 17-4 | Elo: 1670.3 (ranked 35 of 365) | Efficiency Margin: +13.19 (ranked 64 of 365)
Offensive Trends:
- Off Reb Pct (Offensive Rebounding): Currently ranked 89 of 365 in D1. Trending down strongly 🔴.
- Shooting (Shooting): Currently ranked 16 of 365 in D1. Trending up moderately 🟢.
Defensive Trends:
- Opp Turnovers (Opp Turnovers): Currently ranked 232 of 365 in D1. Trending down moderately 🔴.
- Def Reb Pct (Defensive Rebounding): Currently ranked 137 of 365 in D1. Trending up moderately 🟢.

Figure 2: Offensive Four Factors comparison across Ivy teams. The radar chart shows each team’s shooting efficiency (eFG%), ball security (TOV%), offensive rebounding (OREB%), and free throw generation (FT Rate).

Figure 3: Defensive Four Factors comparison across Ivy teams. The radar chart shows each team’s opponent shooting defense (Opp eFG%), ball disruption (forcing TOV%), defensive rebounding (DREB%), and opponent free throw prevention (Opp FT Rate).

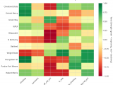
Figure 4: MACD trends heatmap showing which metrics are improving (green) or declining (red) for each team. Stronger colors indicate more pronounced trends.
Looking Ahead
As Ivy teams continue their season, the MACD trending indicators will help identify which teams are genuinely improving versus those riding unsustainable momentum. Check back next week for updated analysis.
Metrics Glossary
Four Factors (Dean Oliver’s framework for basketball success):
- eFG% (Effective Field Goal %): Field goal percentage adjusted for 3-pointers being worth more (FGM + 0.5×3PM) / FGA. Higher is better offensively, lower is better defensively.
- TOV% (Turnover Rate): Turnovers per 100 possessions. Lower is better offensively (taking care of the ball), higher is better defensively (forcing turnovers).
- OREB% / DREB% (Offensive/Defensive Rebound Rate): Percentage of available rebounds grabbed. Offensive rebounds create second-chance points; defensive rebounds end opponent possessions.
- FTR (Free Throw Rate): Free throws made per field goal attempt (FTM/FGA). Measures ability to get to the line AND convert. Higher is better offensively, lower is better defensively.
Other Metrics:
- Elo Rating: Chess-style rating system that updates based on game results and opponent strength. Higher Elo indicates stronger team.
- Efficiency Margin: Point differential per 100 possessions (Offensive Efficiency – Defensive Efficiency). Accounts for pace of play.
- MACD (Moving Average Convergence Divergence): Trend indicator comparing 12-game and 26-game exponential moving averages. Positive MACD = improving trend, Negative MACD = declining trend.
Analysis powered by HoopSci’s advanced metrics and MACD trending indicators.

