MEAC Update: Week 14

MEAC Update: Week 14

February 9, 2026 0 By Neill White

The MEAC enters Week 14 with teams showing diverse trending patterns. This analysis examines each team’s performance trends using MACD (Moving Average Convergence Divergence) indicators to identify not just where teams stand, but where they’re headed.


Figure 1: Efficiency margin trends for MEAC teams throughout the season. Teams trending upward show improving performance, while downward trends indicate struggles.

Conference Snapshot


Team-by-Team Analysis

Coppin State

Record: 4-21 | Elo: 1265.3 (ranked 368 of 365) | Efficiency Margin: -34.92 (ranked 363 of 365)

Offensive Trends:

  • Off Reb Pct (Offensive Rebounding): Currently ranked 209 of 365 in D1. Trending up strongly 🟢.
  • Shooting (Shooting): Currently ranked 350 of 365 in D1. Trending up moderately 🟢.

Defensive Trends:

  • Opp Shooting (Opp Shooting): Currently ranked 354 of 365 in D1. Trending down strongly 🟢.
  • Opp Turnovers (Opp Turnovers): Currently ranked 151 of 365 in D1. Trending up moderately 🟢.

Delaware State

Record: 6-16 | Elo: 1346.4 (ranked 350 of 365) | Efficiency Margin: -26.32 (ranked 355 of 365)

Offensive Trends:

  • Off Reb Pct (Offensive Rebounding): Currently ranked 317 of 365 in D1. Trending down strongly 🔴.
  • Shooting (Shooting): Currently ranked 365 of 365 in D1. Trending down moderately 🔴.

Defensive Trends:

  • Opp Shooting (Opp Shooting): Currently ranked 282 of 365 in D1. Trending down moderately 🟢.
  • Def Reb Pct (Defensive Rebounding): Currently ranked 214 of 365 in D1. Trending up moderately 🟢.

Howard

Record: 14-9 | Elo: 1462.2 (ranked 235 of 365) | Efficiency Margin: -4.76 (ranked 201 of 365)

Offensive Trends:

  • Off Reb Pct (Offensive Rebounding): Currently ranked 47 of 365 in D1. Trending up moderately 🟢.
  • Shooting (Shooting): Currently ranked 297 of 365 in D1. Trending up weakly 🟢.

Defensive Trends:

  • Opp Shooting (Opp Shooting): Currently ranked 52 of 365 in D1. Trending down strongly 🟢.
  • Opp Turnovers (Opp Turnovers): Currently ranked 15 of 365 in D1. Trending up moderately 🟢.

MD-E Shore

Record: 8-17 | Elo: 1327.3 (ranked 355 of 365) | Efficiency Margin: -19.10 (ranked 321 of 365)

Offensive Trends:

  • Shooting (Shooting): Currently ranked 322 of 365 in D1. Trending down weakly 🔴.
  • Turnovers (Turnovers): Currently ranked 363 of 365 in D1. Trending up weakly 🔴.

Defensive Trends:

  • Def Reb Pct (Defensive Rebounding): Currently ranked 288 of 365 in D1. Trending up moderately 🟢.
  • Opp Shooting (Opp Shooting): Currently ranked 150 of 365 in D1. Trending down weakly 🟢.

Morgan State

Record: 10-13 | Elo: 1394.6 (ranked 306 of 365) | Efficiency Margin: -27.73 (ranked 358 of 365)

Offensive Trends:

  • Shooting (Shooting): Currently ranked 345 of 365 in D1. Trending up strongly 🟢.
  • Turnovers (Turnovers): Currently ranked 270 of 365 in D1. Trending down strongly 🟢.

Defensive Trends:

  • Opp Shooting (Opp Shooting): Currently ranked 300 of 365 in D1. Trending down strongly 🟢.
  • Opp Turnovers (Opp Turnovers): Currently ranked 194 of 365 in D1. Trending down moderately 🔴.

NC Central

Record: 8-13 | Elo: 1392.8 (ranked 309 of 365) | Efficiency Margin: -23.29 (ranked 341 of 365)

Offensive Trends:

  • Shooting (Shooting): Currently ranked 336 of 365 in D1. Trending up strongly 🟢.
  • Off Reb Pct (Offensive Rebounding): Currently ranked 306 of 365 in D1. Trending down strongly 🔴.

Defensive Trends:

  • Opp Turnovers (Opp Turnovers): Currently ranked 56 of 365 in D1. Trending up strongly 🟢.
  • Def Reb Pct (Defensive Rebounding): Currently ranked 362 of 365 in D1. Trending down moderately 🔴.

Norfolk State

Record: 11-14 | Elo: 1479.6 (ranked 205 of 365) | Efficiency Margin: -17.26 (ranked 312 of 365)

Offensive Trends:

  • Turnovers (Turnovers): Currently ranked 322 of 365 in D1. Trending up strongly 🔴.
  • Off Reb Pct (Offensive Rebounding): Currently ranked 188 of 365 in D1. Trending up moderately 🟢.

Defensive Trends:

  • Opp Turnovers (Opp Turnovers): Currently ranked 113 of 365 in D1. Trending up strongly 🟢.
  • Opp Shooting (Opp Shooting): Currently ranked 187 of 365 in D1. Trending up moderately 🔴.

S Carolina St

Record: 5-17 | Elo: 1401.3 (ranked 304 of 365) | Efficiency Margin: -31.90 (ranked 360 of 365)

Offensive Trends:

  • Off Reb Pct (Offensive Rebounding): Currently ranked 195 of 365 in D1. Trending down strongly 🔴.
  • Shooting (Shooting): Currently ranked 343 of 365 in D1. Trending up weakly 🟢.

Defensive Trends:

  • Opp Shooting (Opp Shooting): Currently ranked 297 of 365 in D1. Trending down moderately 🟢.
  • Opp Turnovers (Opp Turnovers): Currently ranked 127 of 365 in D1. Trending up weakly 🟢.


Figure 2: Offensive Four Factors comparison across MEAC teams. The radar chart shows each team’s shooting efficiency (eFG%), ball security (TOV%), offensive rebounding (OREB%), and free throw generation (FT Rate).


Figure 3: Defensive Four Factors comparison across MEAC teams. The radar chart shows each team’s opponent shooting defense (Opp eFG%), ball disruption (forcing TOV%), defensive rebounding (DREB%), and opponent free throw prevention (Opp FT Rate).


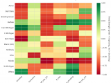
Figure 4: MACD trends heatmap showing which metrics are improving (green) or declining (red) for each team. Stronger colors indicate more pronounced trends.


Looking Ahead

As MEAC teams continue their season, the MACD trending indicators will help identify which teams are genuinely improving versus those riding unsustainable momentum. Check back next week for updated analysis.


Metrics Glossary

Four Factors (Dean Oliver’s framework for basketball success):

  • eFG% (Effective Field Goal %): Field goal percentage adjusted for 3-pointers being worth more (FGM + 0.5×3PM) / FGA. Higher is better offensively, lower is better defensively.
  • TOV% (Turnover Rate): Turnovers per 100 possessions. Lower is better offensively (taking care of the ball), higher is better defensively (forcing turnovers).
  • OREB% / DREB% (Offensive/Defensive Rebound Rate): Percentage of available rebounds grabbed. Offensive rebounds create second-chance points; defensive rebounds end opponent possessions.
  • FTR (Free Throw Rate): Free throws made per field goal attempt (FTM/FGA). Measures ability to get to the line AND convert. Higher is better offensively, lower is better defensively.

Other Metrics:

  • Elo Rating: Chess-style rating system that updates based on game results and opponent strength. Higher Elo indicates stronger team.
  • Efficiency Margin: Point differential per 100 possessions (Offensive Efficiency – Defensive Efficiency). Accounts for pace of play.
  • MACD (Moving Average Convergence Divergence): Trend indicator comparing 12-game and 26-game exponential moving averages. Positive MACD = improving trend, Negative MACD = declining trend.

Analysis powered by HoopSci’s advanced metrics and MACD trending indicators.