West Coast Update: Week 14
February 9, 2026The West Coast enters Week 14 with teams showing diverse trending patterns. This analysis examines each team’s performance trends using MACD (Moving Average Convergence Divergence) indicators to identify not just where teams stand, but where they’re headed.

Figure 1: Efficiency margin trends for West Coast teams throughout the season. Teams trending upward show improving performance, while downward trends indicate struggles.
Conference Snapshot
- Week Dates: February 02 – February 08, 2026
- Trending Up (Efficiency): Loyola Mary, Pacific, Saint Mary’s, Santa Clara, Washington St
- Trending Down (Efficiency): Gonzaga, Pepperdine, Portland, San Diego, San Francisco
Team-by-Team Analysis
Gonzaga
Record: 23-2 | Elo: 1766.3 (ranked 6 of 365) | Efficiency Margin: +33.35 (ranked 7 of 365)
Offensive Trends:
- Shooting (Shooting): Currently ranked 24 of 365 in D1. Trending down strongly 🔴.
- Turnovers (Turnovers): Currently ranked 25 of 365 in D1. Trending down strongly 🟢.
Defensive Trends:
- Opp Shooting (Opp Shooting): Currently ranked 22 of 365 in D1. Trending up strongly 🔴.
- Def Reb Pct (Defensive Rebounding): Currently ranked 6 of 365 in D1. Trending up strongly 🟢.
Loyola Mary
Record: 13-13 | Elo: 1474.5 (ranked 218 of 365) | Efficiency Margin: -1.70 (ranked 177 of 365)
Offensive Trends:
- Turnovers (Turnovers): Currently ranked 246 of 365 in D1. Trending up moderately 🔴.
- Shooting (Shooting): Currently ranked 167 of 365 in D1. Trending up weakly 🟢.
Defensive Trends:
- Opp Turnovers (Opp Turnovers): Currently ranked 190 of 365 in D1. Trending down moderately 🔴.
- Opp Shooting (Opp Shooting): Currently ranked 44 of 365 in D1. Trending up weakly 🔴.
Oregon State
Record: 13-13 | Elo: 1499.7 (ranked 183 of 365) | Efficiency Margin: -6.56 (ranked 220 of 365)
Offensive Trends:
- Shooting (Shooting): Currently ranked 237 of 365 in D1. Trending down strongly 🔴.
- Turnovers (Turnovers): Currently ranked 242 of 365 in D1. Trending down strongly 🟢.
Defensive Trends:
- Opp Turnovers (Opp Turnovers): Currently ranked 284 of 365 in D1. Trending down moderately 🔴.
- Opp Shooting (Opp Shooting): Currently ranked 139 of 365 in D1. Trending up weakly 🔴.
Pacific
Record: 16-10 | Elo: 1444.0 (ranked 258 of 365) | Efficiency Margin: +5.51 (ranked 115 of 365)
Offensive Trends:
- Shooting (Shooting): Currently ranked 77 of 365 in D1. Trending up moderately 🟢.
- Turnovers (Turnovers): Currently ranked 335 of 365 in D1. Trending down moderately 🟢.
Defensive Trends:
- Opp Shooting (Opp Shooting): Currently ranked 82 of 365 in D1. Trending down strongly 🟢.
- Def Reb Pct (Defensive Rebounding): Currently ranked 5 of 365 in D1. Trending up strongly 🟢.
Pepperdine
Record: 6-19 | Elo: 1336.5 (ranked 351 of 365) | Efficiency Margin: -15.51 (ranked 298 of 365)
Offensive Trends:
- Off Reb Pct (Offensive Rebounding): Currently ranked 315 of 365 in D1. Trending down strongly 🔴.
- Shooting (Shooting): Currently ranked 338 of 365 in D1. Trending down moderately 🔴.
Defensive Trends:
- Opp Shooting (Opp Shooting): Currently ranked 276 of 365 in D1. Trending up strongly 🔴.
- Def Reb Pct (Defensive Rebounding): Currently ranked 320 of 365 in D1. Trending down moderately 🔴.
Portland
Record: 12-14 | Elo: 1438.4 (ranked 263 of 365) | Efficiency Margin: -7.71 (ranked 229 of 365)
Offensive Trends:
- Shooting (Shooting): Currently ranked 198 of 365 in D1. Trending down strongly 🔴.
- Off Reb Pct (Offensive Rebounding): Currently ranked 237 of 365 in D1. Trending down moderately 🔴.
Defensive Trends:
- Opp Shooting (Opp Shooting): Currently ranked 237 of 365 in D1. Trending down moderately 🟢.
- Opp Turnovers (Opp Turnovers): Currently ranked 133 of 365 in D1. Trending up moderately 🟢.
Saint Mary’s
Record: 21-4 | Elo: 1732.9 (ranked 12 of 365) | Efficiency Margin: +23.15 (ranked 29 of 365)
Offensive Trends:
- Off Reb Pct (Offensive Rebounding): Currently ranked 25 of 365 in D1. Trending down strongly 🔴.
- Turnovers (Turnovers): Currently ranked 163 of 365 in D1. Trending down moderately 🟢.
Defensive Trends:
- Opp Shooting (Opp Shooting): Currently ranked 16 of 365 in D1. Trending down moderately 🟢.
- Opp Turnovers (Opp Turnovers): Currently ranked 313 of 365 in D1. Trending down moderately 🔴.
San Diego
Record: 10-16 | Elo: 1369.9 (ranked 333 of 365) | Efficiency Margin: -12.07 (ranked 267 of 365)
Offensive Trends:
- Turnovers (Turnovers): Currently ranked 249 of 365 in D1. Trending down moderately 🟢.
- Shooting (Shooting): Currently ranked 216 of 365 in D1. Trending down weakly 🔴.
Defensive Trends:
- Opp Turnovers (Opp Turnovers): Currently ranked 28 of 365 in D1. Trending down strongly 🔴.
- Opp Shooting (Opp Shooting): Currently ranked 300 of 365 in D1. Trending up moderately 🔴.
San Francisco
Record: 14-12 | Elo: 1569.4 (ranked 93 of 365) | Efficiency Margin: +4.52 (ranked 118 of 365)
Offensive Trends:
- Shooting (Shooting): Currently ranked 188 of 365 in D1. Trending down strongly 🔴.
- Turnovers (Turnovers): Currently ranked 135 of 365 in D1. Trending down strongly 🟢.
Defensive Trends:
- Opp Shooting (Opp Shooting): Currently ranked 101 of 365 in D1. Trending up strongly 🔴.
- Opp Turnovers (Opp Turnovers): Currently ranked 347 of 365 in D1. Trending down strongly 🔴.
Santa Clara
Record: 21-5 | Elo: 1658.2 (ranked 39 of 365) | Efficiency Margin: +15.91 (ranked 47 of 365)
Offensive Trends:
- Shooting (Shooting): Currently ranked 45 of 365 in D1. Trending up moderately 🟢.
- Turnovers (Turnovers): Currently ranked 157 of 365 in D1. Trending down moderately 🟢.
Defensive Trends:
- Opp Turnovers (Opp Turnovers): Currently ranked 13 of 365 in D1. Trending up strongly 🟢.
- Def Reb Pct (Defensive Rebounding): Currently ranked 264 of 365 in D1. Trending down strongly 🔴.
Seattle
Record: 15-10 | Elo: 1513.2 (ranked 164 of 365) | Efficiency Margin: +2.57 (ranked 134 of 365)
Offensive Trends:
- Shooting (Shooting): Currently ranked 230 of 365 in D1. Trending down strongly 🔴.
- Off Reb Pct (Offensive Rebounding): Currently ranked 336 of 365 in D1. Trending down strongly 🔴.
Defensive Trends:
- Opp Shooting (Opp Shooting): Currently ranked 50 of 365 in D1. Trending up weakly 🔴.
- Opp Turnovers (Opp Turnovers): Currently ranked 12 of 365 in D1. Trending up weakly 🟢.
Washington St
Record: 10-15 | Elo: 1493.4 (ranked 192 of 365) | Efficiency Margin: +0.26 (ranked 156 of 365)
Offensive Trends:
- Shooting (Shooting): Currently ranked 50 of 365 in D1. Trending up strongly 🟢.
- Turnovers (Turnovers): Currently ranked 312 of 365 in D1. Trending down moderately 🟢.
Defensive Trends:
- Opp Turnovers (Opp Turnovers): Currently ranked 326 of 365 in D1. Trending down strongly 🔴.
- Opp Shooting (Opp Shooting): Currently ranked 263 of 365 in D1. Trending down weakly 🟢.

Figure 2: Offensive Four Factors comparison across West Coast teams. The radar chart shows each team’s shooting efficiency (eFG%), ball security (TOV%), offensive rebounding (OREB%), and free throw generation (FT Rate).

Figure 3: Defensive Four Factors comparison across West Coast teams. The radar chart shows each team’s opponent shooting defense (Opp eFG%), ball disruption (forcing TOV%), defensive rebounding (DREB%), and opponent free throw prevention (Opp FT Rate).

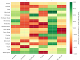
Figure 4: MACD trends heatmap showing which metrics are improving (green) or declining (red) for each team. Stronger colors indicate more pronounced trends.
Looking Ahead
As West Coast teams continue their season, the MACD trending indicators will help identify which teams are genuinely improving versus those riding unsustainable momentum. Check back next week for updated analysis.
Metrics Glossary
Four Factors (Dean Oliver’s framework for basketball success):
- eFG% (Effective Field Goal %): Field goal percentage adjusted for 3-pointers being worth more (FGM + 0.5×3PM) / FGA. Higher is better offensively, lower is better defensively.
- TOV% (Turnover Rate): Turnovers per 100 possessions. Lower is better offensively (taking care of the ball), higher is better defensively (forcing turnovers).
- OREB% / DREB% (Offensive/Defensive Rebound Rate): Percentage of available rebounds grabbed. Offensive rebounds create second-chance points; defensive rebounds end opponent possessions.
- FTR (Free Throw Rate): Free throws made per field goal attempt (FTM/FGA). Measures ability to get to the line AND convert. Higher is better offensively, lower is better defensively.
Other Metrics:
- Elo Rating: Chess-style rating system that updates based on game results and opponent strength. Higher Elo indicates stronger team.
- Efficiency Margin: Point differential per 100 possessions (Offensive Efficiency – Defensive Efficiency). Accounts for pace of play.
- MACD (Moving Average Convergence Divergence): Trend indicator comparing 12-game and 26-game exponential moving averages. Positive MACD = improving trend, Negative MACD = declining trend.
Analysis powered by HoopSci’s advanced metrics and MACD trending indicators.

