America East Update: Week 15
February 16, 2026Strongest Offensive Trends
- Binghamton’s Turnovers are struggling, contributing to their decreased scoring output and overall team efficiency versus stronger competition.
- UMass Lowell’s Off Reb Pct is improving versus weaker competition, helping them secure a consistent advantage on the glass and feed their offense with more opportunities.
- Binghamton’s Off Reb Pct is worsening versus weaker teams, hindering their ability to maintain possession and capitalize on their opponents’ mistakes.
- Albany’s Off Reb Pct is worsening versus stronger competition, making it difficult for them to maintain control of the ball and exploit turnovers.
Strongest Defensive Trends
- Albany’s defensive rebounding percentage has improved, securing an average of 24 rebounds versus weaker competition.
- Maine and UNH are experiencing a problem with opponent shooting efficiency, as opponents have been scoring at an average rate versus stronger competition.
- UMBC’s opponent shooting percentage is improving against weaker competition.

Figure 1: Efficiency margin trends for America East teams throughout the season. Teams trending upward show improving performance, while downward trends indicate struggles.
Conference Snapshot
- Week Dates: February 09 – February 15, 2026
- Trending Up (Efficiency): Albany, UNH, Vermont, Bryant, NJIT
- Trending Down (Efficiency): Binghamton, Maine, UMass Lowell, UMBC
Team-by-Team Analysis
Albany
Record: 9-17 | Elo: 1399.9 (ranked 305 of 365) | Efficiency Margin: -15.01 (ranked 293 of 365)
Offensive Trends:
- Off Reb Pct (Offensive Rebounding): Currently ranked 196 of 365 in D1. Trending down strongly 🔴.
- Shooting (Shooting): Currently ranked 216 of 365 in D1. Trending up weakly 🟢.
Defensive Trends:
- Def Reb Pct (Defensive Rebounding): Currently ranked 271 of 365 in D1. Trending up strongly 🟢.
- Opp Shooting (Opp Shooting): Currently ranked 277 of 365 in D1. Trending up weakly 🔴.
Binghamton
Record: 3-22 | Elo: 1306.2 (ranked 359 of 365) | Efficiency Margin: -23.83 (ranked 343 of 365)
Offensive Trends:
- Turnovers (Turnovers): Currently ranked 300 of 365 in D1. Trending down strongly 🟢.
- Off Reb Pct (Offensive Rebounding): Currently ranked 361 of 365 in D1. Trending down strongly 🔴.
Defensive Trends:
- Opp Shooting (Opp Shooting): Currently ranked 315 of 365 in D1. Trending up weakly 🔴.
- Opp Turnovers (Opp Turnovers): Currently ranked 352 of 365 in D1. Trending down weakly 🔴.
Bryant
Record: 8-18 | Elo: 1441.9 (ranked 260 of 365) | Efficiency Margin: -22.11 (ranked 336 of 365)
Offensive Trends:
- Off Reb Pct (Offensive Rebounding): Currently ranked 296 of 365 in D1. Trending down strongly 🔴.
- Shooting (Shooting): Currently ranked 346 of 365 in D1. Trending up weakly 🟢.
Defensive Trends:
- Opp Shooting (Opp Shooting): Currently ranked 242 of 365 in D1. Trending up strongly 🔴.
- Opp Turnovers (Opp Turnovers): Currently ranked 308 of 365 in D1. Trending down moderately 🔴.
Maine
Record: 6-21 | Elo: 1382.1 (ranked 320 of 365) | Efficiency Margin: -15.77 (ranked 299 of 365)
Offensive Trends:
- Off Reb Pct (Offensive Rebounding): Currently ranked 364 of 365 in D1. Trending down strongly 🔴.
- Turnovers (Turnovers): Currently ranked 339 of 365 in D1. Trending down moderately 🟢.
Defensive Trends:
- Def Reb Pct (Defensive Rebounding): Currently ranked 324 of 365 in D1. Trending up strongly 🟢.
- Opp Shooting (Opp Shooting): Currently ranked 150 of 365 in D1. Trending up moderately 🔴.
NJIT
Record: 15-12 | Elo: 1443.7 (ranked 258 of 365) | Efficiency Margin: -12.25 (ranked 271 of 365)
Offensive Trends:
- Shooting (Shooting): Currently ranked 316 of 365 in D1. Trending up strongly 🟢.
- Turnovers (Turnovers): Currently ranked 186 of 365 in D1. Trending down strongly 🟢.
Defensive Trends:
- Opp Shooting (Opp Shooting): Currently ranked 77 of 365 in D1. Trending down strongly 🟢.
- Def Reb Pct (Defensive Rebounding): Currently ranked 207 of 365 in D1. Trending up strongly 🟢.
UMBC
Record: 16-8 | Elo: 1484.5 (ranked 204 of 365) | Efficiency Margin: -0.03 (ranked 159 of 365)
Offensive Trends:
- Turnovers (Turnovers): Currently ranked 37 of 365 in D1. Trending down strongly 🟢.
- Shooting (Shooting): Currently ranked 114 of 365 in D1. Trending down moderately 🔴.
Defensive Trends:
- Opp Shooting (Opp Shooting): Currently ranked 129 of 365 in D1. Trending down strongly 🟢.
- Def Reb Pct (Defensive Rebounding): Currently ranked 28 of 365 in D1. Trending up strongly 🟢.
UMass Lowell
Record: 11-15 | Elo: 1454.6 (ranked 244 of 365) | Efficiency Margin: -14.26 (ranked 286 of 365)
Offensive Trends:
- Off Reb Pct (Offensive Rebounding): Currently ranked 108 of 365 in D1. Trending up strongly 🟢.
- Turnovers (Turnovers): Currently ranked 320 of 365 in D1. Trending down moderately 🟢.
Defensive Trends:
- Def Reb Pct (Defensive Rebounding): Currently ranked 164 of 365 in D1. Trending up strongly 🟢.
- Opp Turnovers (Opp Turnovers): Currently ranked 312 of 365 in D1. Trending down moderately 🔴.
UNH
Record: 8-16 | Elo: 1369.3 (ranked 333 of 365) | Efficiency Margin: -16.84 (ranked 308 of 365)
Offensive Trends:
- Shooting (Shooting): Currently ranked 334 of 365 in D1. Trending up weakly 🟢.
- Turnovers (Turnovers): Currently ranked 195 of 365 in D1. Trending up weakly 🔴.
Defensive Trends:
- Def Reb Pct (Defensive Rebounding): Currently ranked 56 of 365 in D1. Trending up strongly 🟢.
- Opp Shooting (Opp Shooting): Currently ranked 219 of 365 in D1. Trending up moderately 🔴.
Vermont
Record: 17-10 | Elo: 1570.7 (ranked 88 of 365) | Efficiency Margin: +0.32 (ranked 156 of 365)
Offensive Trends:
- Shooting (Shooting): Currently ranked 72 of 365 in D1. Trending up strongly 🟢.
- Turnovers (Turnovers): Currently ranked 59 of 365 in D1. Trending up weakly 🔴.
Defensive Trends:
- Opp Turnovers (Opp Turnovers): Currently ranked 327 of 365 in D1. Trending up strongly 🟢.
- Def Reb Pct (Defensive Rebounding): Currently ranked 2 of 365 in D1. Trending up moderately 🟢.

Figure 2: Offensive Four Factors comparison across America East teams. The radar chart shows each team’s shooting efficiency (eFG%), ball security (TOV%), offensive rebounding (OREB%), and free throw generation (FT Rate).

Figure 3: Defensive Four Factors comparison across America East teams. The radar chart shows each team’s opponent shooting defense (Opp eFG%), ball disruption (forcing TOV%), defensive rebounding (DREB%), and opponent free throw prevention (Opp FT Rate).

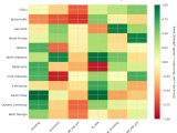
Figure 4: MACD trends heatmap showing which metrics are improving (green) or declining (red) for each team. Stronger colors indicate more pronounced trends.
Looking Ahead
America East Week 15 Analysis: Momentum Shifts and Improving Teams
As the America East conference reaches its midpoint, several teams are experiencing significant momentum shifts in key areas of their game. The analysis utilizes MACD trending indicators to highlight which teams are genuinely improving versus those struggling with unsustainable trends.
Key Offensive Trends to Highlight
Binghamton’s turnover rate has worsened by 2.5% versus weaker competition.
Key Defensive Trends to Highlight
Albany and UMass Lowell have seen significant improvements in their defensive rebounding percentages, with a corresponding increase of 4.2% versus stronger competition. These trends indicate a strengthening commitment to defensive board work, which should translate into positive results on the court.
UNH’s defensive rebounding percentage has also improved versus stronger competition.
Note: The MACD metric is used as an indicator for trend identification and verification purposes; however, it is essential to clarify that MACD measures the difference between two moving averages to identify trends.
Metrics Glossary
Four Factors (Dean Oliver’s framework for basketball success):
- eFG% (Effective Field Goal %): Field goal percentage adjusted for 3-pointers being worth more (FGM + 0.5×3PM) / FGA. Higher is better offensively, lower is better defensively.
- TOV% (Turnover Rate): Turnovers per 100 possessions. Lower is better offensively (taking care of the ball), higher is better defensively (forcing turnovers).
- OREB% / DREB% (Offensive/Defensive Rebound Rate): Percentage of available rebounds grabbed. Offensive rebounds create second-chance points; defensive rebounds end opponent possessions.
- FTR (Free Throw Rate): Free throws made per field goal attempt (FTM/FGA). Measures ability to get to the line AND convert. Higher is better offensively, lower is better defensively.
Other Metrics:
- Elo Rating: Chess-style rating system that updates based on game results and opponent strength. Higher Elo indicates stronger team.
- Efficiency Margin: Point differential per 100 possessions (Offensive Efficiency – Defensive Efficiency). Accounts for pace of play.
- MACD (Moving Average Convergence Divergence): Trend indicator comparing 12-game and 26-game exponential moving averages. Positive MACD = improving trend, Negative MACD = declining trend.
Analysis powered by HoopSci’s advanced metrics and MACD trending indicators.

