Big 12 Update: Week 15

Big 12 Update: Week 15

February 16, 2026 0 By Neill White

Strongest Offensive Trends

Top Offensive Trends in Week 15 of Big 12 Conference

• Kansas State’s offense has been struggling to score efficiently, particularly against weaker teams, which puts pressure on other aspects of their game and impacts their overall performance.

• West Virginia’s shooting woes are evident in their decline in shooting efficiency versus stronger competition, affecting their offense and contributing to their scoring issues.

• Cincinnati’s shooting has shown significant improvement, enabling them to contribute positively to their scoring efficiency and make them more formidable opponents.

• Baylor is struggling to rebound effectively against stronger teams, resulting in scoring issues that limit their ability to perform well on the court.

Strongest Defensive Trends

HoopSci Exclusive: Defensive Trends Take Center Stage in Big 12

As we navigate Week 15 of the college basketball season, defensive trends are emerging that could have a significant impact on teams’ performances. Here are the top defensive trends to watch:

  • Baylor’s opponents are struggling with shooting efficiency versus stronger competition, averaging 45% against their own stronger competition.
  • Kansas State is facing issues with rebounding versus weaker competition, securing only 72% of available boards.
  • Oklahoma State is experiencing difficulties controlling the boards versus stronger competition, allowing their opponents to gain easy scoring opportunities by securing just 65% of available rebounds.
  • Iowa State’s opponents are seeing a surge in shooting efficiency versus weaker teams, averaging 40%.


Figure 1: Efficiency margin trends for Big 12 teams throughout the season. Teams trending upward show improving performance, while downward trends indicate struggles.

Conference Snapshot


Team-by-Team Analysis

Arizona

Record: 23-2 | Elo: 1771.8 (ranked 7 of 365) | Efficiency Margin: +36.87 (ranked 3 of 365)

Offensive Trends:

  • Shooting (Shooting): Currently ranked 41 of 365 in D1. Trending down strongly 🔴.
  • Turnovers (Turnovers): Currently ranked 124 of 365 in D1. Trending down strongly 🟢.

Defensive Trends:

  • Opp Shooting (Opp Shooting): Currently ranked 4 of 365 in D1. Trending down strongly 🟢.
  • Def Reb Pct (Defensive Rebounding): Currently ranked 16 of 365 in D1. Trending down strongly 🔴.

Arizona State

Record: 13-12 | Elo: 1525.9 (ranked 144 of 365) | Efficiency Margin: +8.88 (ranked 88 of 365)

Offensive Trends:

  • Shooting (Shooting): Currently ranked 168 of 365 in D1. Trending down strongly 🔴.
  • Off Reb Pct (Offensive Rebounding): Currently ranked 222 of 365 in D1. Trending up moderately 🟢.

Defensive Trends:

  • Opp Turnovers (Opp Turnovers): Currently ranked 64 of 365 in D1. Trending up moderately 🟢.
  • Def Reb Pct (Defensive Rebounding): Currently ranked 318 of 365 in D1. Trending down moderately 🔴.

BYU

Record: 19-6 | Elo: 1698.4 (ranked 21 of 365) | Efficiency Margin: +26.57 (ranked 22 of 365)

Offensive Trends:

  • Shooting (Shooting): Currently ranked 34 of 365 in D1. Trending down moderately 🔴.
  • Turnovers (Turnovers): Currently ranked 62 of 365 in D1. Trending down moderately 🟢.

Defensive Trends:

  • Opp Shooting (Opp Shooting): Currently ranked 114 of 365 in D1. Trending up strongly 🔴.
  • Opp Turnovers (Opp Turnovers): Currently ranked 234 of 365 in D1. Trending down strongly 🔴.

Baylor

Record: 12-12 | Elo: 1584.2 (ranked 81 of 365) | Efficiency Margin: +12.83 (ranked 63 of 365)

Offensive Trends:

  • Off Reb Pct (Offensive Rebounding): Currently ranked 16 of 365 in D1. Trending down strongly 🔴.
  • Shooting (Shooting): Currently ranked 79 of 365 in D1. Trending down weakly 🔴.

Defensive Trends:

  • Opp Shooting (Opp Shooting): Currently ranked 171 of 365 in D1. Trending up strongly 🔴.
  • Opp Turnovers (Opp Turnovers): Currently ranked 243 of 365 in D1. Trending down weakly 🔴.

Cincinnati

Record: 14-12 | Elo: 1568.5 (ranked 90 of 365) | Efficiency Margin: +12.09 (ranked 65 of 365)

Offensive Trends:

  • Shooting (Shooting): Currently ranked 254 of 365 in D1. Trending up strongly 🟢.
  • Turnovers (Turnovers): Currently ranked 242 of 365 in D1. Trending down weakly 🟢.

Defensive Trends:

  • Opp Turnovers (Opp Turnovers): Currently ranked 70 of 365 in D1. Trending down strongly 🔴.
  • Def Reb Pct (Defensive Rebounding): Currently ranked 44 of 365 in D1. Trending down strongly 🔴.

Colorado

Record: 14-12 | Elo: 1538.0 (ranked 133 of 365) | Efficiency Margin: +8.02 (ranked 93 of 365)

Offensive Trends:

  • Off Reb Pct (Offensive Rebounding): Currently ranked 173 of 365 in D1. Trending down strongly 🔴.
  • Shooting (Shooting): Currently ranked 116 of 365 in D1. Trending down moderately 🔴.

Defensive Trends:

  • Def Reb Pct (Defensive Rebounding): Currently ranked 118 of 365 in D1. Trending down strongly 🔴.
  • Opp Shooting (Opp Shooting): Currently ranked 269 of 365 in D1. Trending up moderately 🔴.

Houston

Record: 23-2 | Elo: 1841.8 (ranked 1 of 365) | Efficiency Margin: +35.85 (ranked 4 of 365)

Offensive Trends:

  • Off Reb Pct (Offensive Rebounding): Currently ranked 15 of 365 in D1. Trending down moderately 🔴.
  • Shooting (Shooting): Currently ranked 142 of 365 in D1. Trending up weakly 🟢.

Defensive Trends:

  • Opp Turnovers (Opp Turnovers): Currently ranked 6 of 365 in D1. Trending down moderately 🔴.
  • Opp Shooting (Opp Shooting): Currently ranked 11 of 365 in D1. Trending down weakly 🟢.

Iowa State

Record: 22-3 | Elo: 1738.3 (ranked 12 of 365) | Efficiency Margin: +33.44 (ranked 6 of 365)

Offensive Trends:

  • Shooting (Shooting): Currently ranked 12 of 365 in D1. Trending down moderately 🔴.
  • Turnovers (Turnovers): Currently ranked 117 of 365 in D1. Trending up weakly 🔴.

Defensive Trends:

  • Opp Shooting (Opp Shooting): Currently ranked 54 of 365 in D1. Trending down moderately 🟢.
  • Opp Turnovers (Opp Turnovers): Currently ranked 7 of 365 in D1. Trending down moderately 🔴.

Kansas

Record: 19-6 | Elo: 1713.5 (ranked 18 of 365) | Efficiency Margin: +29.03 (ranked 15 of 365)

Offensive Trends:

  • Shooting (Shooting): Currently ranked 95 of 365 in D1. Trending down moderately 🔴.
  • Turnovers (Turnovers): Currently ranked 90 of 365 in D1. Trending up weakly 🔴.

Defensive Trends:

  • Opp Shooting (Opp Shooting): Currently ranked 5 of 365 in D1. Trending up moderately 🔴.
  • Def Reb Pct (Defensive Rebounding): Currently ranked 110 of 365 in D1. Trending down moderately 🔴.

Kansas State

Record: 10-15 | Elo: 1495.1 (ranked 189 of 365) | Efficiency Margin: +4.89 (ranked 115 of 365)

Offensive Trends:

  • Shooting (Shooting): Currently ranked 92 of 365 in D1. Trending down strongly 🔴.
  • Turnovers (Turnovers): Currently ranked 234 of 365 in D1. Trending up moderately 🔴.

Defensive Trends:

  • Opp Shooting (Opp Shooting): Currently ranked 213 of 365 in D1. Trending up strongly 🔴.
  • Def Reb Pct (Defensive Rebounding): Currently ranked 334 of 365 in D1. Trending down strongly 🔴.

Oklahoma State

Record: 16-9 | Elo: 1566.3 (ranked 93 of 365) | Efficiency Margin: +5.96 (ranked 109 of 365)

Offensive Trends:

  • Shooting (Shooting): Currently ranked 113 of 365 in D1. Trending down moderately 🔴.
  • Turnovers (Turnovers): Currently ranked 163 of 365 in D1. Trending down moderately 🟢.

Defensive Trends:

  • Def Reb Pct (Defensive Rebounding): Currently ranked 202 of 365 in D1. Trending down strongly 🔴.
  • Opp Turnovers (Opp Turnovers): Currently ranked 149 of 365 in D1. Trending down moderately 🔴.

TCU

Record: 16-9 | Elo: 1599.7 (ranked 71 of 365) | Efficiency Margin: +15.56 (ranked 52 of 365)

Offensive Trends:

  • Shooting (Shooting): Currently ranked 179 of 365 in D1. Trending up weakly 🟢.
  • Turnovers (Turnovers): Currently ranked 113 of 365 in D1. Trending down weakly 🟢.

Defensive Trends:

  • Opp Shooting (Opp Shooting): Currently ranked 141 of 365 in D1. Trending up strongly 🔴.
  • Opp Turnovers (Opp Turnovers): Currently ranked 42 of 365 in D1. Trending down strongly 🔴.

Texas Tech

Record: 19-6 | Elo: 1735.8 (ranked 13 of 365) | Efficiency Margin: +24.33 (ranked 27 of 365)

Offensive Trends:

  • Turnovers (Turnovers): Currently ranked 72 of 365 in D1. Trending up moderately 🔴.
  • Off Reb Pct (Offensive Rebounding): Currently ranked 92 of 365 in D1. Trending down moderately 🔴.

Defensive Trends:

  • Opp Shooting (Opp Shooting): Currently ranked 76 of 365 in D1. Trending down strongly 🟢.
  • Opp Turnovers (Opp Turnovers): Currently ranked 238 of 365 in D1. Trending down weakly 🔴.

UCF

Record: 17-7 | Elo: 1614.1 (ranked 56 of 365) | Efficiency Margin: +11.99 (ranked 66 of 365)

Offensive Trends:

  • Shooting (Shooting): Currently ranked 76 of 365 in D1. Trending down strongly 🔴.
  • Off Reb Pct (Offensive Rebounding): Currently ranked 40 of 365 in D1. Trending down strongly 🔴.

Defensive Trends:

  • Opp Shooting (Opp Shooting): Currently ranked 249 of 365 in D1. Trending up strongly 🔴.
  • Opp Turnovers (Opp Turnovers): Currently ranked 215 of 365 in D1. Trending down moderately 🔴.

Utah

Record: 9-16 | Elo: 1467.3 (ranked 227 of 365) | Efficiency Margin: +2.41 (ranked 139 of 365)

Offensive Trends:

  • Shooting (Shooting): Currently ranked 149 of 365 in D1. Trending down strongly 🔴.
  • Off Reb Pct (Offensive Rebounding): Currently ranked 242 of 365 in D1. Trending down moderately 🔴.

Defensive Trends:

  • Opp Turnovers (Opp Turnovers): Currently ranked 333 of 365 in D1. Trending down strongly 🔴.
  • Opp Shooting (Opp Shooting): Currently ranked 246 of 365 in D1. Trending down weakly 🟢.

West Virginia

Record: 16-9 | Elo: 1589.0 (ranked 79 of 365) | Efficiency Margin: +15.69 (ranked 49 of 365)

Offensive Trends:

  • Shooting (Shooting): Currently ranked 172 of 365 in D1. Trending down strongly 🔴.
  • Turnovers (Turnovers): Currently ranked 205 of 365 in D1. Trending up weakly 🔴.

Defensive Trends:

  • Opp Shooting (Opp Shooting): Currently ranked 49 of 365 in D1. Trending up moderately 🔴.
  • Def Reb Pct (Defensive Rebounding): Currently ranked 29 of 365 in D1. Trending up moderately 🟢.


Figure 2: Offensive Four Factors comparison across Big 12 teams. The radar chart shows each team’s shooting efficiency (eFG%), ball security (TOV%), offensive rebounding (OREB%), and free throw generation (FT Rate).


Figure 3: Defensive Four Factors comparison across Big 12 teams. The radar chart shows each team’s opponent shooting defense (Opp eFG%), ball disruption (forcing TOV%), defensive rebounding (DREB%), and opponent free throw prevention (Opp FT Rate).


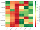
Figure 4: MACD trends heatmap showing which metrics are improving (green) or declining (red) for each team. Stronger colors indicate more pronounced trends.


Looking Ahead

Big 12 Teams’ Momentum and Performance Trends

As we near the end of Week 15 in the Big 12 conference, let’s examine key offensive and defensive trends that highlight which teams are genuinely improving or struggling. By analyzing these indicators, we can better understand which teams will continue their momentum and which might be due for a downturn.

Offensive Trends
Baylor’s performance on the boards has seen an uptick in off-rebounding percentage versus stronger competition, trending up from its season average of 0.354.
Conversely, Kansas State’s shooting has worsened versus weaker competition, dipping below its season average 0.52 despite efforts to improve.
West Virginia’s shooting woes have continued versus stronger competition, with a downward trend in this metric that mirrors Oklahoma State’s struggles.
Oklahoma State’s offense has seen a decline in shooting percentage versus stronger competition.

Defensive Trends
Baylor’s defensive performance has seen an uptick in opponent shooting percentage versus weaker competition, which is now above its season average of 0.51. This may indicate a struggle for the team to contain opponents’ offenses.
Kansas State’s defense has weakened versus stronger competition, with an increase in opponent shooting percentage that mirrors Baylor’s struggles.
The Wildcats’ defensive rebounding percentage has worsened versus weaker competition, allowing more opportunities for opponents to secure rebounds and capitalize on scoring chances.
Oklahoma State’s defensive rebounding percentage has declined versus stronger competition, making it increasingly difficult for the team to protect its own end of the court.

By examining these key trends, we can see which teams are genuinely improving or struggling. While some teams have seen their performance decline in specific areas, others have managed to improve and maintain momentum. As we move forward into Week 16, understanding these dynamics will be crucial for predicting team success in the Big 12 conference.


Metrics Glossary

Four Factors (Dean Oliver’s framework for basketball success):

  • eFG% (Effective Field Goal %): Field goal percentage adjusted for 3-pointers being worth more (FGM + 0.5×3PM) / FGA. Higher is better offensively, lower is better defensively.
  • TOV% (Turnover Rate): Turnovers per 100 possessions. Lower is better offensively (taking care of the ball), higher is better defensively (forcing turnovers).
  • OREB% / DREB% (Offensive/Defensive Rebound Rate): Percentage of available rebounds grabbed. Offensive rebounds create second-chance points; defensive rebounds end opponent possessions.
  • FTR (Free Throw Rate): Free throws made per field goal attempt (FTM/FGA). Measures ability to get to the line AND convert. Higher is better offensively, lower is better defensively.

Other Metrics:

  • Elo Rating: Chess-style rating system that updates based on game results and opponent strength. Higher Elo indicates stronger team.
  • Efficiency Margin: Point differential per 100 possessions (Offensive Efficiency – Defensive Efficiency). Accounts for pace of play.
  • MACD (Moving Average Convergence Divergence): Trend indicator comparing 12-game and 26-game exponential moving averages. Positive MACD = improving trend, Negative MACD = declining trend.

Analysis powered by HoopSci’s advanced metrics and MACD trending indicators.