Big East Update: Week 15
February 16, 2026Strongest Offensive Trends
• Overwhelming Struggle with Shooting: Butler’s offense has been severely hindered by their woeful shooting, which has become a significant and crippling problem for the team versus stronger competition.
• Marquette’s ability to secure rebounds on offense is strongly improving, bolstering their scoring chances, especially versus weaker competition. Meanwhile, their offense efficiency against top-tier teams remains a concern.
• Georgetown’s turnovers are worsening at an alarming rate, putting unsustainable pressure on their defense and disrupting their rhythm versus stronger competition.
• DePaul’s shooting has surged, helping them maintain a high-scoring pace, particularly when facing inferior opponents.
Strongest Defensive Trends
Top Defensive Trends in the Big East
- Butler’s stifling defense has struggled against weaker competition, getting caught out of position more often
- Creighton’s defensive rebounding percentage versus stronger competition has slipped away from their season average, leading to second-chance opportunities for opposing teams
- DePaul’s opponent shooting percentage is a problem against stronger competition, creating difficulties for their defense

Figure 1: Efficiency margin trends for Big East teams throughout the season. Teams trending upward show improving performance, while downward trends indicate struggles.
Conference Snapshot
- Week Dates: February 09 – February 15, 2026
- Trending Up (Efficiency): Georgetown, Marquette, Seton Hall, Xavier, UConn
- Trending Down (Efficiency): Butler, Creighton, DePaul, Providence, St John’s
Team-by-Team Analysis
Butler
Record: 13-13 | Elo: 1498.7 (ranked 183 of 365) | Efficiency Margin: +11.64 (ranked 69 of 365)
Offensive Trends:
- Shooting (Shooting): Currently ranked 188 of 365 in D1. Trending down strongly 🔴.
- Turnovers (Turnovers): Currently ranked 115 of 365 in D1. Trending down moderately 🟢.
Defensive Trends:
- Opp Shooting (Opp Shooting): Currently ranked 192 of 365 in D1. Trending up strongly 🔴.
- Opp Turnovers (Opp Turnovers): Currently ranked 266 of 365 in D1. Trending up strongly 🟢.
Creighton
Record: 13-13 | Elo: 1593.3 (ranked 75 of 365) | Efficiency Margin: +12.53 (ranked 64 of 365)
Offensive Trends:
- Shooting (Shooting): Currently ranked 73 of 365 in D1. Trending down moderately 🔴.
- Turnovers (Turnovers): Currently ranked 126 of 365 in D1. Trending up moderately 🔴.
Defensive Trends:
- Opp Shooting (Opp Shooting): Currently ranked 169 of 365 in D1. Trending up strongly 🔴.
- Def Reb Pct (Defensive Rebounding): Currently ranked 240 of 365 in D1. Trending down strongly 🔴.
DePaul
Record: 13-12 | Elo: 1469.4 (ranked 224 of 365) | Efficiency Margin: +10.38 (ranked 80 of 365)
Offensive Trends:
- Off Reb Pct (Offensive Rebounding): Currently ranked 189 of 365 in D1. Trending up strongly 🟢.
- Shooting (Shooting): Currently ranked 201 of 365 in D1. Trending down weakly 🔴.
Defensive Trends:
- Opp Shooting (Opp Shooting): Currently ranked 93 of 365 in D1. Trending up strongly 🔴.
- Opp Turnovers (Opp Turnovers): Currently ranked 106 of 365 in D1. Trending down weakly 🔴.
Georgetown
Record: 13-12 | Elo: 1510.2 (ranked 164 of 365) | Efficiency Margin: +13.72 (ranked 60 of 365)
Offensive Trends:
- Turnovers (Turnovers): Currently ranked 53 of 365 in D1. Trending up strongly 🔴.
- Shooting (Shooting): Currently ranked 262 of 365 in D1. Trending up moderately 🟢.
Defensive Trends:
- Def Reb Pct (Defensive Rebounding): Currently ranked 191 of 365 in D1. Trending down moderately 🔴.
- Opp Shooting (Opp Shooting): Currently ranked 96 of 365 in D1. Trending up weakly 🔴.
Marquette
Record: 9-17 | Elo: 1538.8 (ranked 132 of 365) | Efficiency Margin: +8.79 (ranked 90 of 365)
Offensive Trends:
- Shooting (Shooting): Currently ranked 219 of 365 in D1. Trending up strongly 🟢.
- Turnovers (Turnovers): Currently ranked 152 of 365 in D1. Trending up strongly 🔴.
Defensive Trends:
- Def Reb Pct (Defensive Rebounding): Currently ranked 308 of 365 in D1. Trending down strongly 🔴.
- Opp Turnovers (Opp Turnovers): Currently ranked 102 of 365 in D1. Trending down moderately 🔴.
Providence
Record: 11-15 | Elo: 1480.3 (ranked 211 of 365) | Efficiency Margin: +15.79 (ranked 47 of 365)
Offensive Trends:
- Turnovers (Turnovers): Currently ranked 156 of 365 in D1. Trending up strongly 🔴.
- Off Reb Pct (Offensive Rebounding): Currently ranked 116 of 365 in D1. Trending up strongly 🟢.
Defensive Trends:
- Opp Turnovers (Opp Turnovers): Currently ranked 355 of 365 in D1. Trending down strongly 🔴.
- Opp Shooting (Opp Shooting): Currently ranked 189 of 365 in D1. Trending down weakly 🟢.
Seton Hall
Record: 17-8 | Elo: 1560.7 (ranked 104 of 365) | Efficiency Margin: +19.23 (ranked 39 of 365)
Offensive Trends:
- Shooting (Shooting): Currently ranked 301 of 365 in D1. Trending up strongly 🟢.
- Off Reb Pct (Offensive Rebounding): Currently ranked 73 of 365 in D1. Trending down moderately 🔴.
Defensive Trends:
- Opp Turnovers (Opp Turnovers): Currently ranked 13 of 365 in D1. Trending down moderately 🔴.
- Opp Shooting (Opp Shooting): Currently ranked 30 of 365 in D1. Trending down weakly 🟢.
St John’s
Record: 20-5 | Elo: 1744.6 (ranked 9 of 365) | Efficiency Margin: +29.29 (ranked 14 of 365)
Offensive Trends:
- Turnovers (Turnovers): Currently ranked 55 of 365 in D1. Trending down strongly 🟢.
- Off Reb Pct (Offensive Rebounding): Currently ranked 29 of 365 in D1. Trending down strongly 🔴.
Defensive Trends:
- Opp Turnovers (Opp Turnovers): Currently ranked 59 of 365 in D1. Trending down strongly 🔴.
- Opp Shooting (Opp Shooting): Currently ranked 51 of 365 in D1. Trending up weakly 🔴.
UConn
Record: 24-2 | Elo: 1787.3 (ranked 3 of 365) | Efficiency Margin: +33.04 (ranked 10 of 365)
Offensive Trends:
- Shooting (Shooting): Currently ranked 24 of 365 in D1. Trending up strongly 🟢.
- Turnovers (Turnovers): Currently ranked 123 of 365 in D1. Trending up weakly 🔴.
Defensive Trends:
- Opp Shooting (Opp Shooting): Currently ranked 6 of 365 in D1. Trending up strongly 🔴.
- Def Reb Pct (Defensive Rebounding): Currently ranked 106 of 365 in D1. Trending down moderately 🔴.
Villanova
Record: 20-5 | Elo: 1669.5 (ranked 40 of 365) | Efficiency Margin: +24.90 (ranked 25 of 365)
Offensive Trends:
- Shooting (Shooting): Currently ranked 62 of 365 in D1. Trending down weakly 🔴.
- Turnovers (Turnovers): Currently ranked 47 of 365 in D1. Trending down weakly 🟢.
Defensive Trends:
- Opp Turnovers (Opp Turnovers): Currently ranked 63 of 365 in D1. Trending up strongly 🟢.
- Def Reb Pct (Defensive Rebounding): Currently ranked 232 of 365 in D1. Trending down moderately 🔴.
Xavier
Record: 13-12 | Elo: 1567.8 (ranked 92 of 365) | Efficiency Margin: +8.19 (ranked 92 of 365)
Offensive Trends:
- Shooting (Shooting): Currently ranked 198 of 365 in D1. Trending up weakly 🟢.
- Turnovers (Turnovers): Currently ranked 35 of 365 in D1. Trending up weakly 🔴.
Defensive Trends:
- Opp Turnovers (Opp Turnovers): Currently ranked 206 of 365 in D1. Trending down strongly 🔴.
- Def Reb Pct (Defensive Rebounding): Currently ranked 65 of 365 in D1. Trending down strongly 🔴.

Figure 2: Offensive Four Factors comparison across Big East teams. The radar chart shows each team’s shooting efficiency (eFG%), ball security (TOV%), offensive rebounding (OREB%), and free throw generation (FT Rate).

Figure 3: Defensive Four Factors comparison across Big East teams. The radar chart shows each team’s opponent shooting defense (Opp eFG%), ball disruption (forcing TOV%), defensive rebounding (DREB%), and opponent free throw prevention (Opp FT Rate).

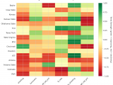
Figure 4: MACD trends heatmap showing which metrics are improving (green) or declining (red) for each team. Stronger colors indicate more pronounced trends.
Looking Ahead
Big East Teams Show Mixed Signals in Week 15 Analysis
As the Big East conference enters its final stretch, several teams are displaying contrasting trends on both ends of the court. Our analysis focuses on key offensive and defensive metrics to identify which teams are genuinely improving versus those experiencing unsustainable momentum.
Offensive Trends: A Tale of Two Teams
DePaul’s ability to secure rebounds on offense has shown significant improvement, with an increase in their Offensive Rebound Percentage (Season Avg: 0.281) compared to weaker competition. Conversely, Butler’s shooting woes continue, indicating a decline in their scoring efficiency.
Meanwhile, Marquette is trending up strongly in terms of shooting, suggesting an increase in their scoring potential versus stronger competition. However, Georgetown struggles with turnovers, persisting as an unsustainable momentum (Season Avg: 0.138) that could hinder their chances of success against weaker opponents.
Defensive Trends: A Mixed Bag
Butler’s defensive issues are compounded by their inability to limit opponent shooting, indicating a decline in their defensive effectiveness versus stronger competition. Creighton struggles on the defensive end, as evident from their rising opponent shooting average (Season Avg: 0.51) against weaker competition, which poses a significant problem.
Conclusion
While some teams in the Big East are showing signs of improvement on both ends of the court, others are struggling with unsustainable momentum or defensive issues. As we move forward into Week 16, it will be essential for coaches and analysts alike to monitor these trends closely to gain a better understanding of each team’s prospects.
Metrics Glossary
Four Factors (Dean Oliver’s framework for basketball success):
- eFG% (Effective Field Goal %): Field goal percentage adjusted for 3-pointers being worth more (FGM + 0.5×3PM) / FGA. Higher is better offensively, lower is better defensively.
- TOV% (Turnover Rate): Turnovers per 100 possessions. Lower is better offensively (taking care of the ball), higher is better defensively (forcing turnovers).
- OREB% / DREB% (Offensive/Defensive Rebound Rate): Percentage of available rebounds grabbed. Offensive rebounds create second-chance points; defensive rebounds end opponent possessions.
- FTR (Free Throw Rate): Free throws made per field goal attempt (FTM/FGA). Measures ability to get to the line AND convert. Higher is better offensively, lower is better defensively.
Other Metrics:
- Elo Rating: Chess-style rating system that updates based on game results and opponent strength. Higher Elo indicates stronger team.
- Efficiency Margin: Point differential per 100 possessions (Offensive Efficiency – Defensive Efficiency). Accounts for pace of play.
- MACD (Moving Average Convergence Divergence): Trend indicator comparing 12-game and 26-game exponential moving averages. Positive MACD = improving trend, Negative MACD = declining trend.
Analysis powered by HoopSci’s advanced metrics and MACD trending indicators.

