Mountain West Update: Week 16
February 24, 2026Strongest Offensive Trends
- Fresno State, Shooting, Up, Trend Strength: 0.018 – Fresno State’s sharpshooting has been a game-changer, catapulting the team to enhanced scoring opportunities and overall performance improvements, as evident in their recent victories.
- New Mexico, Shooting, Up, Trend Strength: 0.017 – New Mexico’s improved shooting accuracy has emerged as a key strength for the team, allowing them to capitalize on their increased precision from the field.
- Boise State, Shooting, Up, Trend Strength: 0.016 – Boise State’s consistent scoring trend has been fueled by their improved shooting performance, indicating a positive shift in their overall offense.
- Nevada, Turnovers, Up, Trend Strength: 0.012 – Nevada’s defensive struggles are intensified by their inability to prevent turnovers, consistently relinquishing possession and hindering their overall performance.
- Fresno State, Turnovers, Down, Trend Strength: -0.011 – Fresno State’s ability to limit turnovers has emerged as an obstacle for their offense, contributing to their struggle with relying on high-risk plays and diminished efficiency in game situations.
Strongest Defensive Trends
- Air Force, Opp Shooting, Up, Trend Strength: 0.032 – Air Force’s defense has struggled to contain opponents’ scoring opportunities at the rim, where they are frequently contested by the team.
- Air Force, Def Reb Pct, Up, Trend Strength: 0.016 – Air Force’s ability to pull down defensive rebounds has become a significant advantage, but their own defense struggles to match this level of effectiveness in rebounding the ball, showcasing a clear disparity between their offense and defense.
- Boise State, Opp Turnovers, Down, Trend Strength: -0.014 – Boise State’s defense has been struggling with allowing opponents to maintain prolonged periods of control, which is stifling their own momentum.
- Air Force, Opp Turnovers, Down, Trend Strength: -0.012 – Air Force’s defense has struggled to prevent opposing teams from scoring consistently this season, stifling their ability to capitalize on turnovers and limit opponents’ opportunities in critical situations.
- Boise State, Opp Shooting, Up, Trend Strength: 0.012 – Boise State’s defense has struggled to contain opponents, ultimately failing to effectively counter their scoring attacks as they consistently capitalize on the Broncos’ inability to adapt and respond to these threats.

Figure 1: Efficiency margin trends for Mountain West teams throughout the season. Teams trending upward show improving performance, while downward trends indicate struggles.
Conference Snapshot
- Week Dates: February 16 – February 22, 2026
- Trending Up (Efficiency): Boise State, Colorado State, Fresno State, New Mexico, San Jose State
- Trending Down (Efficiency): Air Force, Nevada, San Diego State, Wyoming
Team-by-Team Analysis
Air Force
Record: 3-24 | Elo: 1266.2 (ranked 368 of 365) | Efficiency Margin: -27.77 (ranked 356 of 365)
Offensive Trends:
- Off Reb Pct (Offensive Rebounding): Currently ranked 351 of 365 in D1. Trending down moderately 🔴.
- Shooting (Shooting): Currently ranked 288 of 365 in D1. Trending down weakly 🔴.
Defensive Trends:
- Opp Shooting (Opp Shooting): Currently ranked 353 of 365 in D1. Trending up strongly 🔴.
- Opp Turnovers (Opp Turnovers): Currently ranked 270 of 365 in D1. Trending down strongly 🔴.
Boise State
Record: 15-11 | Elo: 1630.5 (ranked 50 of 365) | Efficiency Margin: +8.60 (ranked 94 of 365)
Offensive Trends:
- Shooting (Shooting): Currently ranked 152 of 365 in D1. Trending up strongly 🟢.
- Turnovers (Turnovers): Currently ranked 125 of 365 in D1. Trending down moderately 🟢.
Defensive Trends:
- Opp Shooting (Opp Shooting): Currently ranked 251 of 365 in D1. Trending up strongly 🔴.
- Opp Turnovers (Opp Turnovers): Currently ranked 296 of 365 in D1. Trending down strongly 🔴.
Colorado State
Record: 17-10 | Elo: 1627.9 (ranked 53 of 365) | Efficiency Margin: +9.13 (ranked 87 of 365)
Offensive Trends:
- Shooting (Shooting): Currently ranked 8 of 365 in D1. Trending up moderately 🟢.
- Off Reb Pct (Offensive Rebounding): Currently ranked 159 of 365 in D1. Trending down moderately 🔴.
Defensive Trends:
- Opp Turnovers (Opp Turnovers): Currently ranked 300 of 365 in D1. Trending down moderately 🔴.
- Def Reb Pct (Defensive Rebounding): Currently ranked 196 of 365 in D1. Trending down moderately 🔴.
Fresno State
Record: 12-15 | Elo: 1418.7 (ranked 281 of 365) | Efficiency Margin: -0.82 (ranked 166 of 365)
Offensive Trends:
- Shooting (Shooting): Currently ranked 182 of 365 in D1. Trending up strongly 🟢.
- Turnovers (Turnovers): Currently ranked 281 of 365 in D1. Trending down strongly 🟢.
Defensive Trends:
- Opp Shooting (Opp Shooting): Currently ranked 203 of 365 in D1. Trending up moderately 🔴.
- Opp Turnovers (Opp Turnovers): Currently ranked 74 of 365 in D1. Trending down moderately 🔴.
Grand Canyon
Record: 16-10 | Elo: 1628.7 (ranked 52 of 365) | Efficiency Margin: +9.62 (ranked 85 of 365)
Offensive Trends:
- Shooting (Shooting): Currently ranked 203 of 365 in D1. Trending up weakly 🟢.
- Turnovers (Turnovers): Currently ranked 245 of 365 in D1. Trending down weakly 🟢.
Defensive Trends:
- Opp Turnovers (Opp Turnovers): Currently ranked 100 of 365 in D1. Trending down moderately 🔴.
- Opp Shooting (Opp Shooting): Currently ranked 33 of 365 in D1. Trending down weakly 🟢.
Nevada
Record: 18-9 | Elo: 1605.3 (ranked 70 of 365) | Efficiency Margin: +8.76 (ranked 92 of 365)
Offensive Trends:
- Turnovers (Turnovers): Currently ranked 46 of 365 in D1. Trending up strongly 🔴.
- Off Reb Pct (Offensive Rebounding): Currently ranked 106 of 365 in D1. Trending up moderately 🟢.
Defensive Trends:
- Opp Shooting (Opp Shooting): Currently ranked 159 of 365 in D1. Trending up moderately 🔴.
- Opp Turnovers (Opp Turnovers): Currently ranked 155 of 365 in D1. Trending down moderately 🔴.
New Mexico
Record: 21-6 | Elo: 1693.9 (ranked 24 of 365) | Efficiency Margin: +14.78 (ranked 54 of 365)
Offensive Trends:
- Shooting (Shooting): Currently ranked 61 of 365 in D1. Trending up strongly 🟢.
- Off Reb Pct (Offensive Rebounding): Currently ranked 181 of 365 in D1. Trending down moderately 🔴.
Defensive Trends:
- Opp Turnovers (Opp Turnovers): Currently ranked 63 of 365 in D1. Trending down strongly 🔴.
- Opp Shooting (Opp Shooting): Currently ranked 63 of 365 in D1. Trending up moderately 🔴.
San Diego State
Record: 18-7 | Elo: 1659.4 (ranked 41 of 365) | Efficiency Margin: +13.65 (ranked 62 of 365)
Offensive Trends:
- Shooting (Shooting): Currently ranked 108 of 365 in D1. Trending down strongly 🔴.
- Turnovers (Turnovers): Currently ranked 263 of 365 in D1. Trending down weakly 🟢.
Defensive Trends:
- Opp Turnovers (Opp Turnovers): Currently ranked 16 of 365 in D1. Trending up moderately 🟢.
- Opp Shooting (Opp Shooting): Currently ranked 38 of 365 in D1. Trending up weakly 🔴.
San Jose State
Record: 7-20 | Elo: 1391.1 (ranked 312 of 365) | Efficiency Margin: -9.75 (ranked 252 of 365)
Offensive Trends:
- Turnovers (Turnovers): Currently ranked 109 of 365 in D1. Trending down strongly 🟢.
- Shooting (Shooting): Currently ranked 294 of 365 in D1. Trending up moderately 🟢.
Defensive Trends:
- Opp Turnovers (Opp Turnovers): Currently ranked 107 of 365 in D1. Trending down moderately 🔴.
- Opp Shooting (Opp Shooting): Currently ranked 356 of 365 in D1. Trending up weakly 🔴.
UNLV
Record: 14-13 | Elo: 1555.2 (ranked 110 of 365) | Efficiency Margin: +4.55 (ranked 119 of 365)
Offensive Trends:
- Shooting (Shooting): Currently ranked 111 of 365 in D1. Trending up strongly 🟢.
- Turnovers (Turnovers): Currently ranked 199 of 365 in D1. Trending down strongly 🟢.
Defensive Trends:
- Opp Shooting (Opp Shooting): Currently ranked 254 of 365 in D1. Trending up strongly 🔴.
- Opp Turnovers (Opp Turnovers): Currently ranked 113 of 365 in D1. Trending down moderately 🔴.
Utah State
Record: 23-4 | Elo: 1728.9 (ranked 15 of 365) | Efficiency Margin: +24.18 (ranked 27 of 365)
Offensive Trends:
- Turnovers (Turnovers): Currently ranked 111 of 365 in D1. Trending down strongly 🟢.
- Off Reb Pct (Offensive Rebounding): Currently ranked 64 of 365 in D1. Trending down strongly 🔴.
Defensive Trends:
- Def Reb Pct (Defensive Rebounding): Currently ranked 259 of 365 in D1. Trending down strongly 🔴.
- Opp Turnovers (Opp Turnovers): Currently ranked 19 of 365 in D1. Trending down moderately 🔴.
Wyoming
Record: 15-12 | Elo: 1493.3 (ranked 198 of 365) | Efficiency Margin: +5.40 (ranked 111 of 365)
Offensive Trends:
- Turnovers (Turnovers): Currently ranked 187 of 365 in D1. Trending down strongly 🟢.
- Shooting (Shooting): Currently ranked 170 of 365 in D1. Trending down weakly 🔴.
Defensive Trends:
- Opp Shooting (Opp Shooting): Currently ranked 227 of 365 in D1. Trending up strongly 🔴.
- Opp Turnovers (Opp Turnovers): Currently ranked 173 of 365 in D1. Trending down weakly 🔴.

Figure 2: Offensive Four Factors comparison across Mountain West teams. The radar chart shows each team’s shooting efficiency (eFG%), ball security (TOV%), offensive rebounding (OREB%), and free throw generation (FT Rate).

Figure 3: Defensive Four Factors comparison across Mountain West teams. The radar chart shows each team’s opponent shooting defense (Opp eFG%), ball disruption (forcing TOV%), defensive rebounding (DREB%), and opponent free throw prevention (Opp FT Rate).

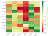
Figure 4: MACD trends heatmap showing which metrics are improving (green) or declining (red) for each team. Stronger colors indicate more pronounced trends.
Looking Ahead
Mountain West Teams’ Performance Review for Week 16
As the Mountain West teams continue their season, our analysis focuses on identifying genuine improvements and areas of concern. By examining key offensive and defensive trends, we can gain insights into which teams are making strides and which might be struggling.
Offensive Trends to Highlight:
Boise State has shown a significant improvement in shooting efficiency. Fresno State’s offense is also gaining momentum, as the team continues to assert itself on the court with improved shooting. These developments indicate that both teams are adapting well to the demands of their opponents.
Defensive Trends to Highlight:
Air Force has struggled to contain opposing teams’ three-point shots, demonstrating a problem with defending against long-range shots. In contrast, Air Force’s ability to secure defensive boards is a notable strength.
Metrics Glossary
Four Factors (Dean Oliver’s framework for basketball success):
- eFG% (Effective Field Goal %): Field goal percentage adjusted for 3-pointers being worth more (FGM + 0.5×3PM) / FGA. Higher is better offensively, lower is better defensively.
- TOV% (Turnover Rate): Turnovers per 100 possessions. Lower is better offensively (taking care of the ball), higher is better defensively (forcing turnovers).
- OREB% / DREB% (Offensive/Defensive Rebound Rate): Percentage of available rebounds grabbed. Offensive rebounds create second-chance points; defensive rebounds end opponent possessions.
- FTR (Free Throw Rate): Free throws made per field goal attempt (FTM/FGA). Measures ability to get to the line AND convert. Higher is better offensively, lower is better defensively.
Other Metrics:
- Elo Rating: Chess-style rating system that updates based on game results and opponent strength. Higher Elo indicates stronger team.
- Efficiency Margin: Point differential per 100 possessions (Offensive Efficiency – Defensive Efficiency). Accounts for pace of play.
- MACD (Moving Average Convergence Divergence): Trend indicator comparing 12-game and 26-game exponential moving averages. Positive MACD = improving trend, Negative MACD = declining trend.
Analysis powered by HoopSci’s advanced metrics and MACD trending indicators.

