Ohio Valley Update: Week 16

Ohio Valley Update: Week 16

February 24, 2026 0 By Neill White

Strongest Offensive Trends

  1. SIUE, Off Reb Pct, Down, Trend Strength: -0.04 – SIUE’s ongoing struggle with maintaining possession in key situations stems from their struggles on the glass, which are directly impacting their ability to secure rebounds and limit opponents’ second-chance opportunities, ultimately affecting their performance.
  2. Morehead State, Shooting, Up, Trend Strength: 0.021 – Morehead State’s shooting has shown marked improvement in terms of field goal percentage, a trend that warrants further analysis to determine its impact on overall success.
  3. E Illinois, Off Reb Pct, Up, Trend Strength: 0.017 – E Illinois’s persistent inability to secure defensive rebounds has plagued their performance, leaving them struggling to assert dominance in the paint and creating a significant challenge for their overall scoring efficiency.
  4. SE Missouri St, Shooting, Down, Trend Strength: -0.017 – SE Missouri St’s inconsistent shooting rhythm is causing problems on both ends of the court, disrupting their offense and defense.
  5. Tennessee St, Turnovers, Down, Trend Strength: -0.008 – Tennessee St has struggled with inconsistency in its ability to control possession due to an inability to effectively manage and reduce turnovers, limiting opportunities for scoring.

Strongest Defensive Trends

  1. SE Missouri St, Opp Shooting, Down, Trend Strength: -0.024 – SE Missouri St’s opponents are struggling at the free throw line, presenting an opportunity for the team to capitalize on their poor shooting and adjust their strategy accordingly.
  2. Tenn Tech, Opp Shooting, Down, Trend Strength: -0.018 – Tenn Tech’s defense continues to struggle with its inability to effectively stifle opponents due to an ineffectual defensive strategy and coordination, leading to high scoring opportunities for opposing teams.
  3. UT Martin, Opp Turnovers, Up, Trend Strength: 0.014 – UT Martin has been struggling with maintaining possession, consistently allowing opponents to gain an advantage in the game.
  4. E Illinois, Def Reb Pct, Up, Trend Strength: 0.013 – E Illinois’s defensive rebounding has improved, as evidenced by their reliance on defensive rebound percentage (Def Reb Pct), which measures the proportion of available rebounds secured by a team, thereby limiting opponents’ opportunities to score on second chances.
  5. SE Missouri St, Opp Turnovers, Down, Trend Strength: -0.011 – SE Missouri St’s inability to force turnovers from its opponents indicates difficulties in stifling their attacks.


Figure 1: Efficiency margin trends for Ohio Valley teams throughout the season. Teams trending upward show improving performance, while downward trends indicate struggles.

Conference Snapshot


Team-by-Team Analysis

E Illinois

Record: 10-18 | Elo: 1357.0 (ranked 337 of 365) | Efficiency Margin: -17.76 (ranked 314 of 365)

Offensive Trends:

  • Off Reb Pct (Offensive Rebounding): Currently ranked 271 of 365 in D1. Trending up strongly 🟢.
  • Turnovers (Turnovers): Currently ranked 241 of 365 in D1. Trending down moderately 🟢.

Defensive Trends:

  • Def Reb Pct (Defensive Rebounding): Currently ranked 335 of 365 in D1. Trending up strongly 🟢.
  • Opp Shooting (Opp Shooting): Currently ranked 139 of 365 in D1. Trending up moderately 🔴.

Lindenwood

Record: 16-13 | Elo: 1440.0 (ranked 259 of 365) | Efficiency Margin: -11.48 (ranked 264 of 365)

Offensive Trends:

  • Off Reb Pct (Offensive Rebounding): Currently ranked 145 of 365 in D1. Trending down strongly 🔴.
  • Turnovers (Turnovers): Currently ranked 324 of 365 in D1. Trending up moderately 🔴.

Defensive Trends:

  • Opp Turnovers (Opp Turnovers): Currently ranked 97 of 365 in D1. Trending down moderately 🔴.
  • Opp Shooting (Opp Shooting): Currently ranked 99 of 365 in D1. Trending up weakly 🔴.

Little Rock

Record: 10-18 | Elo: 1424.0 (ranked 277 of 365) | Efficiency Margin: -17.30 (ranked 311 of 365)

Offensive Trends:

  • Turnovers (Turnovers): Currently ranked 303 of 365 in D1. Trending down strongly 🟢.
  • Shooting (Shooting): Currently ranked 269 of 365 in D1. Trending down moderately 🔴.

Defensive Trends:

  • Opp Shooting (Opp Shooting): Currently ranked 267 of 365 in D1. Trending down strongly 🟢.
  • Opp Turnovers (Opp Turnovers): Currently ranked 54 of 365 in D1. Trending down strongly 🔴.

Morehead State

Record: 17-12 | Elo: 1503.8 (ranked 181 of 365) | Efficiency Margin: -13.10 (ranked 277 of 365)

Offensive Trends:

  • Shooting (Shooting): Currently ranked 239 of 365 in D1. Trending up strongly 🟢.
  • Turnovers (Turnovers): Currently ranked 311 of 365 in D1. Trending down weakly 🟢.

Defensive Trends:

  • Opp Shooting (Opp Shooting): Currently ranked 114 of 365 in D1. Trending down moderately 🟢.
  • Opp Turnovers (Opp Turnovers): Currently ranked 273 of 365 in D1. Trending up weakly 🟢.

SE Missouri St

Record: 18-11 | Elo: 1528.9 (ranked 141 of 365) | Efficiency Margin: -8.28 (ranked 240 of 365)

Offensive Trends:

  • Shooting (Shooting): Currently ranked 219 of 365 in D1. Trending down strongly 🔴.
  • Turnovers (Turnovers): Currently ranked 229 of 365 in D1. Trending up moderately 🔴.

Defensive Trends:

  • Opp Shooting (Opp Shooting): Currently ranked 105 of 365 in D1. Trending down strongly 🟢.
  • Opp Turnovers (Opp Turnovers): Currently ranked 93 of 365 in D1. Trending down strongly 🔴.

SIUE

Record: 17-12 | Elo: 1502.3 (ranked 184 of 365) | Efficiency Margin: -7.97 (ranked 237 of 365)

Offensive Trends:

  • Off Reb Pct (Offensive Rebounding): Currently ranked 200 of 365 in D1. Trending down strongly 🔴.
  • Turnovers (Turnovers): Currently ranked 238 of 365 in D1. Trending up moderately 🔴.

Defensive Trends:

  • Opp Shooting (Opp Shooting): Currently ranked 14 of 365 in D1. Trending up moderately 🔴.
  • Def Reb Pct (Defensive Rebounding): Currently ranked 253 of 365 in D1. Trending down moderately 🔴.

Southern Indiana

Record: 7-21 | Elo: 1295.8 (ranked 362 of 365) | Efficiency Margin: -21.70 (ranked 332 of 365)

Offensive Trends:

  • Turnovers (Turnovers): Currently ranked 156 of 365 in D1. Trending down moderately 🟢.
  • Shooting (Shooting): Currently ranked 363 of 365 in D1. Trending up weakly 🟢.

Defensive Trends:

  • Def Reb Pct (Defensive Rebounding): Currently ranked 312 of 365 in D1. Trending down strongly 🔴.
  • Opp Shooting (Opp Shooting): Currently ranked 71 of 365 in D1. Trending down weakly 🟢.

Tenn Tech

Record: 13-16 | Elo: 1402.3 (ranked 304 of 365) | Efficiency Margin: -17.07 (ranked 309 of 365)

Offensive Trends:

  • Turnovers (Turnovers): Currently ranked 316 of 365 in D1. Trending down strongly 🟢.
  • Shooting (Shooting): Currently ranked 263 of 365 in D1. Trending down weakly 🔴.

Defensive Trends:

  • Opp Shooting (Opp Shooting): Currently ranked 168 of 365 in D1. Trending down strongly 🟢.
  • Def Reb Pct (Defensive Rebounding): Currently ranked 288 of 365 in D1. Trending up strongly 🟢.

Tennessee St

Record: 19-9 | Elo: 1525.2 (ranked 146 of 365) | Efficiency Margin: -7.89 (ranked 235 of 365)

Offensive Trends:

  • Turnovers (Turnovers): Currently ranked 132 of 365 in D1. Trending down strongly 🟢.
  • Shooting (Shooting): Currently ranked 258 of 365 in D1. Trending up weakly 🟢.

Defensive Trends:

  • Opp Shooting (Opp Shooting): Currently ranked 248 of 365 in D1. Trending up moderately 🔴.
  • Opp Turnovers (Opp Turnovers): Currently ranked 22 of 365 in D1. Trending up moderately 🟢.

UT Martin

Record: 20-9 | Elo: 1498.4 (ranked 191 of 365) | Efficiency Margin: -2.28 (ranked 180 of 365)

Offensive Trends:

  • Shooting (Shooting): Currently ranked 252 of 365 in D1. Trending down moderately 🔴.
  • Turnovers (Turnovers): Currently ranked 354 of 365 in D1. Trending down weakly 🟢.

Defensive Trends:

  • Opp Turnovers (Opp Turnovers): Currently ranked 60 of 365 in D1. Trending up strongly 🟢.
  • Def Reb Pct (Defensive Rebounding): Currently ranked 244 of 365 in D1. Trending down moderately 🔴.

W Illinois

Record: 5-24 | Elo: 1276.0 (ranked 367 of 365) | Efficiency Margin: -34.35 (ranked 363 of 365)

Offensive Trends:

  • Off Reb Pct (Offensive Rebounding): Currently ranked 299 of 365 in D1. Trending down strongly 🔴.
  • Shooting (Shooting): Currently ranked 359 of 365 in D1. Trending up moderately 🟢.

Defensive Trends:

  • Def Reb Pct (Defensive Rebounding): Currently ranked 345 of 365 in D1. Trending down strongly 🔴.
  • Opp Shooting (Opp Shooting): Currently ranked 293 of 365 in D1. Trending up moderately 🔴.


Figure 2: Offensive Four Factors comparison across Ohio Valley teams. The radar chart shows each team’s shooting efficiency (eFG%), ball security (TOV%), offensive rebounding (OREB%), and free throw generation (FT Rate).


Figure 3: Defensive Four Factors comparison across Ohio Valley teams. The radar chart shows each team’s opponent shooting defense (Opp eFG%), ball disruption (forcing TOV%), defensive rebounding (DREB%), and opponent free throw prevention (Opp FT Rate).


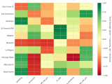
Figure 4: MACD trends heatmap showing which metrics are improving (green) or declining (red) for each team. Stronger colors indicate more pronounced trends.


Looking Ahead

Ohio Valley Teams Show Mixed Momentum in Week 16 Analysis

As the Ohio Valley Conference continues through its season, our analysis reveals trends that indicate genuine improvement and potential decline for certain teams.

Key Offensive Trends:

Morehead State has experienced strong momentum in their shooting performance, boasting an uptick in efficiency compared to their season average. This surge in shooting accuracy suggests that the Eagles are becoming a more formidable force on the court.

Eastern Illinois is showing a notable increase in off-rebound percentage (0.256), which may benefit their scoring capabilities. This trend highlights the Panthers’ growing prowess on offense.

Key Defensive Trends:

Southeast Missouri State has seen a significant improvement in forcing turnovers from their opponents, suggesting that they are adapting well to the game’s rhythms.

UT Martin is observing an improvement in opponent shooting efficiency (0.5), which indicates that they are gaining control over their defense and limiting scoring opportunities for their opponents.

Teams Riding Unsustainable Momentum:

SIUE is experiencing a decline in off-rebound percentage, which could be indicative of a struggle on the offensive end for the Cougars, particularly in securing second-chance opportunities.


Metrics Glossary

Four Factors (Dean Oliver’s framework for basketball success):

  • eFG% (Effective Field Goal %): Field goal percentage adjusted for 3-pointers being worth more (FGM + 0.5×3PM) / FGA. Higher is better offensively, lower is better defensively.
  • TOV% (Turnover Rate): Turnovers per 100 possessions. Lower is better offensively (taking care of the ball), higher is better defensively (forcing turnovers).
  • OREB% / DREB% (Offensive/Defensive Rebound Rate): Percentage of available rebounds grabbed. Offensive rebounds create second-chance points; defensive rebounds end opponent possessions.
  • FTR (Free Throw Rate): Free throws made per field goal attempt (FTM/FGA). Measures ability to get to the line AND convert. Higher is better offensively, lower is better defensively.

Other Metrics:

  • Elo Rating: Chess-style rating system that updates based on game results and opponent strength. Higher Elo indicates stronger team.
  • Efficiency Margin: Point differential per 100 possessions (Offensive Efficiency – Defensive Efficiency). Accounts for pace of play.
  • MACD (Moving Average Convergence Divergence): Trend indicator comparing 12-game and 26-game exponential moving averages. Positive MACD = improving trend, Negative MACD = declining trend.

Analysis powered by HoopSci’s advanced metrics and MACD trending indicators.