Patriot League Update: Week 16
February 24, 2026Strongest Offensive Trends
- Colgate, Off Reb Pct, Down, Trend Strength: -0.029 – Colgate’s struggles with defensive rebounding are evident in their inability to secure crucial rebounds, allowing opponents to capitalize on second-chance opportunities and gain control of possessions in games.
- Boston U, Shooting, Up, Trend Strength: 0.016 – Boston University’s shooting has shown a marked improvement over time, enabling them to maintain a strong level of efficiency in their games.
- Bucknell, Shooting, Down, Trend Strength: -0.014 – Bucknell’s struggles with shooting from beyond the arc consistently hinder their scoring opportunities, posing a significant problem for their overall performance in the Patriot League.
- Holy Cross, Turnovers, Down, Trend Strength: -0.009 – Holy Cross has struggled with turnovers, but by effectively managing possessions on the court, they have been able to mitigate this issue and contribute to their overall performance.
- American, Turnovers, Down, Trend Strength: -0.007 – The American team has experienced a notable improvement in their defensive performance, resulting in a decrease in turnovers and an increase in possession time on offense, subsequently leading to enhanced scoring opportunities.
Strongest Defensive Trends
- Loyola (MD), Def Reb Pct, Up, Trend Strength: 0.021 – Loyola (MD) is struggling to secure defensive rebounds, as they’re conceding a higher share of defensive rebounds to their opponents compared to their own Def Reb Pct.
- Lafayette, Def Reb Pct, Up, Trend Strength: 0.016 – Lafayette’s defensive performance has shown improvement in securing rebounds, having successfully limited opponents’ points off turnovers by contesting a larger share of available boards on both ends of the court.
- American, Def Reb Pct, Up, Trend Strength: 0.014 – The American team’s struggle with securing defensive rebounds poses a significant problem in their overall performance on the court, as they often allow opponents to gain possession of the ball following missed shots.
- Loyola (MD), Opp Turnovers, Down, Trend Strength: -0.011 – Loyola (MD) has been struggling to contain opponents who capitalize on its diminished capacity for generating turnovers, exacerbating a trend of increased vulnerability in defensive situations.
- Boston U, Opp Shooting, Down, Trend Strength: -0.01 – Boston U’s defense has become more effective by stifling opponents’ shooting, particularly in field goal percentage, leading to improved results.

Figure 1: Efficiency margin trends for Patriot League teams throughout the season. Teams trending upward show improving performance, while downward trends indicate struggles.
Conference Snapshot
- Week Dates: February 16 – February 22, 2026
- Trending Up (Efficiency): American, Boston U, Holy Cross, Lafayette, Lehigh
- Trending Down (Efficiency): Army, Bucknell, Colgate
Team-by-Team Analysis
American
Record: 16-13 | Elo: 1490.7 (ranked 202 of 365) | Efficiency Margin: -4.95 (ranked 209 of 365)
Offensive Trends:
- Turnovers (Turnovers): Currently ranked 137 of 365 in D1. Trending down strongly 🟢.
- Off Reb Pct (Offensive Rebounding): Currently ranked 316 of 365 in D1. Trending down moderately 🔴.
Defensive Trends:
- Def Reb Pct (Defensive Rebounding): Currently ranked 196 of 365 in D1. Trending up strongly 🟢.
- Opp Shooting (Opp Shooting): Currently ranked 261 of 365 in D1. Trending up weakly 🔴.
Army
Record: 11-18 | Elo: 1381.5 (ranked 319 of 365) | Efficiency Margin: -17.75 (ranked 313 of 365)
Offensive Trends:
- Turnovers (Turnovers): Currently ranked 195 of 365 in D1. Trending up moderately 🔴.
- Shooting (Shooting): Currently ranked 274 of 365 in D1. Trending down weakly 🔴.
Defensive Trends:
- Opp Shooting (Opp Shooting): Currently ranked 339 of 365 in D1. Trending up weakly 🔴.
- Opp Turnovers (Opp Turnovers): Currently ranked 292 of 365 in D1. Trending up weakly 🟢.
Boston U
Record: 13-16 | Elo: 1436.8 (ranked 265 of 365) | Efficiency Margin: -4.85 (ranked 207 of 365)
Offensive Trends:
- Shooting (Shooting): Currently ranked 14 of 365 in D1. Trending up strongly 🟢.
- Turnovers (Turnovers): Currently ranked 214 of 365 in D1. Trending down moderately 🟢.
Defensive Trends:
- Opp Shooting (Opp Shooting): Currently ranked 310 of 365 in D1. Trending down moderately 🟢.
- Opp Turnovers (Opp Turnovers): Currently ranked 350 of 365 in D1. Trending down moderately 🔴.
Bucknell
Record: 8-21 | Elo: 1376.2 (ranked 324 of 365) | Efficiency Margin: -18.43 (ranked 317 of 365)
Offensive Trends:
- Shooting (Shooting): Currently ranked 331 of 365 in D1. Trending down strongly 🔴.
- Turnovers (Turnovers): Currently ranked 309 of 365 in D1. Trending down moderately 🟢.
Defensive Trends:
- Opp Turnovers (Opp Turnovers): Currently ranked 98 of 365 in D1. Trending down moderately 🔴.
- Def Reb Pct (Defensive Rebounding): Currently ranked 236 of 365 in D1. Trending down moderately 🔴.
Colgate
Record: 17-12 | Elo: 1512.0 (ranked 167 of 365) | Efficiency Margin: -1.23 (ranked 171 of 365)
Offensive Trends:
- Off Reb Pct (Offensive Rebounding): Currently ranked 301 of 365 in D1. Trending down strongly 🔴.
- Shooting (Shooting): Currently ranked 100 of 365 in D1. Trending down moderately 🔴.
Defensive Trends:
- Opp Turnovers (Opp Turnovers): Currently ranked 236 of 365 in D1. Trending down moderately 🔴.
- Opp Shooting (Opp Shooting): Currently ranked 196 of 365 in D1. Trending up weakly 🔴.
Holy Cross
Record: 10-19 | Elo: 1345.2 (ranked 343 of 365) | Efficiency Margin: -15.23 (ranked 298 of 365)
Offensive Trends:
- Turnovers (Turnovers): Currently ranked 117 of 365 in D1. Trending down strongly 🟢.
- Off Reb Pct (Offensive Rebounding): Currently ranked 359 of 365 in D1. Trending down strongly 🔴.
Defensive Trends:
- Opp Turnovers (Opp Turnovers): Currently ranked 313 of 365 in D1. Trending down moderately 🔴.
- Opp Shooting (Opp Shooting): Currently ranked 314 of 365 in D1. Trending down weakly 🟢.
Lafayette
Record: 9-19 | Elo: 1352.0 (ranked 339 of 365) | Efficiency Margin: -14.23 (ranked 289 of 365)
Offensive Trends:
- Shooting (Shooting): Currently ranked 284 of 365 in D1. Trending up weakly 🟢.
- Turnovers (Turnovers): Currently ranked 90 of 365 in D1. Trending down weakly 🟢.
Defensive Trends:
- Def Reb Pct (Defensive Rebounding): Currently ranked 167 of 365 in D1. Trending up strongly 🟢.
- Opp Shooting (Opp Shooting): Currently ranked 284 of 365 in D1. Trending up moderately 🔴.
Lehigh
Record: 13-16 | Elo: 1416.5 (ranked 289 of 365) | Efficiency Margin: -11.89 (ranked 267 of 365)
Offensive Trends:
- Shooting (Shooting): Currently ranked 139 of 365 in D1. Trending up moderately 🟢.
- Turnovers (Turnovers): Currently ranked 278 of 365 in D1. Trending down weakly 🟢.
Defensive Trends:
- Opp Shooting (Opp Shooting): Currently ranked 172 of 365 in D1. Trending up moderately 🔴.
- Opp Turnovers (Opp Turnovers): Currently ranked 154 of 365 in D1. Trending down moderately 🔴.
Loyola (MD)
Record: 11-18 | Elo: 1363.5 (ranked 330 of 365) | Efficiency Margin: -13.12 (ranked 278 of 365)
Offensive Trends:
- Turnovers (Turnovers): Currently ranked 155 of 365 in D1. Trending down strongly 🟢.
- Off Reb Pct (Offensive Rebounding): Currently ranked 267 of 365 in D1. Trending down strongly 🔴.
Defensive Trends:
- Opp Turnovers (Opp Turnovers): Currently ranked 268 of 365 in D1. Trending down strongly 🔴.
- Def Reb Pct (Defensive Rebounding): Currently ranked 78 of 365 in D1. Trending up strongly 🟢.
Navy
Record: 23-6 | Elo: 1575.0 (ranked 88 of 365) | Efficiency Margin: +9.30 (ranked 86 of 365)
Offensive Trends:
- Shooting (Shooting): Currently ranked 117 of 365 in D1. Trending up moderately 🟢.
- Turnovers (Turnovers): Currently ranked 231 of 365 in D1. Trending down moderately 🟢.
Defensive Trends:
- Opp Shooting (Opp Shooting): Currently ranked 35 of 365 in D1. Trending down moderately 🟢.
- Opp Turnovers (Opp Turnovers): Currently ranked 77 of 365 in D1. Trending up weakly 🟢.

Figure 2: Offensive Four Factors comparison across Patriot League teams. The radar chart shows each team’s shooting efficiency (eFG%), ball security (TOV%), offensive rebounding (OREB%), and free throw generation (FT Rate).

Figure 3: Defensive Four Factors comparison across Patriot League teams. The radar chart shows each team’s opponent shooting defense (Opp eFG%), ball disruption (forcing TOV%), defensive rebounding (DREB%), and opponent free throw prevention (Opp FT Rate).

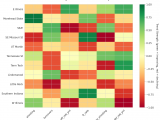
Figure 4: MACD trends heatmap showing which metrics are improving (green) or declining (red) for each team. Stronger colors indicate more pronounced trends.
Looking Ahead
Patriot League Week 16 Analysis
American University’s turnover rate has decreased significantly this season, indicating a strongly positive shift towards reducing turnovers.
Boston U’s shooting percentage is trending up, suggesting an improvement in scoring efficiency. Colgate is also showing signs of improvement on offense, with their shooting percentage trending upwards.
Loyola (MD) faces a challenge in forcing turnovers, as their trend in this area is negative. Their ability to force opponents into mistakes is struggling this season.
On the defensive side, American University is excelling defensively, with an improving defensive rebounding percentage that indicates they are securing more rebounds on defense. Lafayette is also seeing improvement on defense, with their defensive rebounding percentage trending upwards.
It’s worth noting that while Loyola (MD) is improving in defensive rebounding percentage, it does not offset the negative trend of forcing fewer turnovers.
Metrics Glossary
Four Factors (Dean Oliver’s framework for basketball success):
- eFG% (Effective Field Goal %): Field goal percentage adjusted for 3-pointers being worth more (FGM + 0.5×3PM) / FGA. Higher is better offensively, lower is better defensively.
- TOV% (Turnover Rate): Turnovers per 100 possessions. Lower is better offensively (taking care of the ball), higher is better defensively (forcing turnovers).
- OREB% / DREB% (Offensive/Defensive Rebound Rate): Percentage of available rebounds grabbed. Offensive rebounds create second-chance points; defensive rebounds end opponent possessions.
- FTR (Free Throw Rate): Free throws made per field goal attempt (FTM/FGA). Measures ability to get to the line AND convert. Higher is better offensively, lower is better defensively.
Other Metrics:
- Elo Rating: Chess-style rating system that updates based on game results and opponent strength. Higher Elo indicates stronger team.
- Efficiency Margin: Point differential per 100 possessions (Offensive Efficiency – Defensive Efficiency). Accounts for pace of play.
- MACD (Moving Average Convergence Divergence): Trend indicator comparing 12-game and 26-game exponential moving averages. Positive MACD = improving trend, Negative MACD = declining trend.
Analysis powered by HoopSci’s advanced metrics and MACD trending indicators.

