SEC Update: Week 16
February 24, 2026Strongest Offensive Trends
- Auburn, Shooting, Down, Trend Strength: -0.019 – Auburn’s shooting woes have led to a significant decline in their offense, directly impacting their scoring capabilities and overall performance on the court as they struggle with consistency in their shot selection.
- Arkansas, Turnovers, Down, Trend Strength: -0.016 – Arkansas has shown a reduction in turnovers, which contributes to their struggles in conference play.
- Arkansas, Shooting, Up, Trend Strength: 0.013 – Arkansas’ shooting efficiency has improved, contributing to a more potent attack.
- Florida, Shooting, Up, Trend Strength: 0.011 – Florida’s shooters have shown improvement in their shooting accuracy, which has contributed to their overall performance this season.
- Auburn, Turnovers, Down, Trend Strength: -0.007 – Auburn’s turnovers are decreasing.
Strongest Defensive Trends
- Georgia, Opp Shooting, Up, Trend Strength: 0.034 – Georgia’s inability to effectively counter opponents’ increasingly effective shooting poses a significant problem, as their team has struggled to adapt to this trend.
- Auburn, Opp Shooting, Up, Trend Strength: 0.016 – Auburn’s defense has struggled to contain its opponents’ three-point shooting, which has been a significant issue for the team throughout the week due to Auburn’s high opponent shooting percentage from beyond the arc.
- Arkansas, Opp Shooting, Up, Trend Strength: 0.013 – The Arkansas team is struggling with its defensive strategy as opponents’ shooting efficiency has been consistently problematic, posing a significant challenge to their overall performance.
- Arkansas, Opp Turnovers, Down, Trend Strength: -0.008 – The Razorbacks’ stifling defense is causing opponents to become increasingly cautious with the ball, which in turn reduces their likelihood of relinquishing control on their possessions.
- Alabama, Opp Turnovers, Down, Trend Strength: -0.007 – Alabama struggles with limiting its opponents’ scoring opportunities, a problem that stems from their inability to consistently force takeaways against them.

Figure 1: Efficiency margin trends for SEC teams throughout the season. Teams trending upward show improving performance, while downward trends indicate struggles.
Conference Snapshot
- Week Dates: February 16 – February 22, 2026
- Trending Up (Efficiency): Alabama, Arkansas, Florida, Georgia, Miss St
- Trending Down (Efficiency): Auburn, Kentucky, LSU, Missouri, Ole Miss
Team-by-Team Analysis
Alabama
Record: 20-7 | Elo: 1754.4 (ranked 9 of 365) | Efficiency Margin: +25.90 (ranked 23 of 365)
Offensive Trends:
- Turnovers (Turnovers): Currently ranked 9 of 365 in D1. Trending down moderately 🟢.
- Off Reb Pct (Offensive Rebounding): Currently ranked 166 of 365 in D1. Trending down moderately 🔴.
Defensive Trends:
- Opp Turnovers (Opp Turnovers): Currently ranked 363 of 365 in D1. Trending down strongly 🔴.
- Opp Shooting (Opp Shooting): Currently ranked 55 of 365 in D1. Trending up moderately 🔴.
Arkansas
Record: 20-7 | Elo: 1679.5 (ranked 33 of 365) | Efficiency Margin: +24.58 (ranked 26 of 365)
Offensive Trends:
- Shooting (Shooting): Currently ranked 18 of 365 in D1. Trending up strongly 🟢.
- Turnovers (Turnovers): Currently ranked 3 of 365 in D1. Trending down strongly 🟢.
Defensive Trends:
- Opp Shooting (Opp Shooting): Currently ranked 138 of 365 in D1. Trending up strongly 🔴.
- Opp Turnovers (Opp Turnovers): Currently ranked 240 of 365 in D1. Trending down strongly 🔴.
Auburn
Record: 15-12 | Elo: 1682.1 (ranked 31 of 365) | Efficiency Margin: +17.57 (ranked 42 of 365)
Offensive Trends:
- Shooting (Shooting): Currently ranked 142 of 365 in D1. Trending down strongly 🔴.
- Turnovers (Turnovers): Currently ranked 45 of 365 in D1. Trending down strongly 🟢.
Defensive Trends:
- Opp Shooting (Opp Shooting): Currently ranked 250 of 365 in D1. Trending up strongly 🔴.
- Opp Turnovers (Opp Turnovers): Currently ranked 190 of 365 in D1. Trending down moderately 🔴.
Florida
Record: 21-6 | Elo: 1784.2 (ranked 5 of 365) | Efficiency Margin: +33.29 (ranked 6 of 365)
Offensive Trends:
- Shooting (Shooting): Currently ranked 99 of 365 in D1. Trending up strongly 🟢.
- Turnovers (Turnovers): Currently ranked 174 of 365 in D1. Trending up moderately 🔴.
Defensive Trends:
- Opp Shooting (Opp Shooting): Currently ranked 11 of 365 in D1. Trending down moderately 🟢.
- Opp Turnovers (Opp Turnovers): Currently ranked 251 of 365 in D1. Trending up weakly 🟢.
Georgia
Record: 19-8 | Elo: 1624.8 (ranked 55 of 365) | Efficiency Margin: +22.22 (ranked 33 of 365)
Offensive Trends:
- Turnovers (Turnovers): Currently ranked 32 of 365 in D1. Trending down strongly 🟢.
- Shooting (Shooting): Currently ranked 70 of 365 in D1. Trending up moderately 🟢.
Defensive Trends:
- Opp Shooting (Opp Shooting): Currently ranked 90 of 365 in D1. Trending up strongly 🔴.
- Opp Turnovers (Opp Turnovers): Currently ranked 85 of 365 in D1. Trending down moderately 🔴.
Kentucky
Record: 17-10 | Elo: 1656.9 (ranked 43 of 365) | Efficiency Margin: +23.13 (ranked 30 of 365)
Offensive Trends:
- Off Reb Pct (Offensive Rebounding): Currently ranked 34 of 365 in D1. Trending up strongly 🟢.
- Shooting (Shooting): Currently ranked 103 of 365 in D1. Trending down moderately 🔴.
Defensive Trends:
- Def Reb Pct (Defensive Rebounding): Currently ranked 161 of 365 in D1. Trending down strongly 🔴.
- Opp Turnovers (Opp Turnovers): Currently ranked 248 of 365 in D1. Trending down moderately 🔴.
LSU
Record: 14-13 | Elo: 1503.4 (ranked 183 of 365) | Efficiency Margin: +11.05 (ranked 75 of 365)
Offensive Trends:
- Shooting (Shooting): Currently ranked 95 of 365 in D1. Trending down strongly 🔴.
- Turnovers (Turnovers): Currently ranked 85 of 365 in D1. Trending down strongly 🟢.
Defensive Trends:
- Opp Shooting (Opp Shooting): Currently ranked 143 of 365 in D1. Trending up strongly 🔴.
- Def Reb Pct (Defensive Rebounding): Currently ranked 248 of 365 in D1. Trending down strongly 🔴.
Miss St
Record: 13-14 | Elo: 1563.8 (ranked 103 of 365) | Efficiency Margin: +7.39 (ranked 98 of 365)
Offensive Trends:
- Shooting (Shooting): Currently ranked 182 of 365 in D1. Trending up strongly 🟢.
- Turnovers (Turnovers): Currently ranked 113 of 365 in D1. Trending down strongly 🟢.
Defensive Trends:
- Opp Shooting (Opp Shooting): Currently ranked 72 of 365 in D1. Trending up strongly 🔴.
- Opp Turnovers (Opp Turnovers): Currently ranked 355 of 365 in D1. Trending down strongly 🔴.
Missouri
Record: 18-9 | Elo: 1606.5 (ranked 68 of 365) | Efficiency Margin: +11.35 (ranked 72 of 365)
Offensive Trends:
- Off Reb Pct (Offensive Rebounding): Currently ranked 63 of 365 in D1. Trending down strongly 🔴.
- Turnovers (Turnovers): Currently ranked 234 of 365 in D1. Trending down moderately 🟢.
Defensive Trends:
- Opp Turnovers (Opp Turnovers): Currently ranked 222 of 365 in D1. Trending down strongly 🔴.
- Def Reb Pct (Defensive Rebounding): Currently ranked 199 of 365 in D1. Trending down strongly 🔴.
Oklahoma
Record: 13-14 | Elo: 1543.8 (ranked 127 of 365) | Efficiency Margin: +13.82 (ranked 60 of 365)
Offensive Trends:
- Shooting (Shooting): Currently ranked 62 of 365 in D1. Trending down weakly 🔴.
- Turnovers (Turnovers): Currently ranked 37 of 365 in D1. Trending up weakly 🔴.
Defensive Trends:
- Opp Shooting (Opp Shooting): Currently ranked 211 of 365 in D1. Trending up strongly 🔴.
- Opp Turnovers (Opp Turnovers): Currently ranked 280 of 365 in D1. Trending down strongly 🔴.
Ole Miss
Record: 11-16 | Elo: 1541.2 (ranked 131 of 365) | Efficiency Margin: +8.78 (ranked 91 of 365)
Offensive Trends:
- Off Reb Pct (Offensive Rebounding): Currently ranked 238 of 365 in D1. Trending down strongly 🔴.
- Shooting (Shooting): Currently ranked 243 of 365 in D1. Trending down moderately 🔴.
Defensive Trends:
- Opp Shooting (Opp Shooting): Currently ranked 153 of 365 in D1. Trending up strongly 🔴.
- Def Reb Pct (Defensive Rebounding): Currently ranked 242 of 365 in D1. Trending down moderately 🔴.
South Carolina
Record: 12-15 | Elo: 1482.9 (ranked 207 of 365) | Efficiency Margin: +6.43 (ranked 103 of 365)
Offensive Trends:
- Turnovers (Turnovers): Currently ranked 27 of 365 in D1. Trending down strongly 🟢.
- Off Reb Pct (Offensive Rebounding): Currently ranked 269 of 365 in D1. Trending down strongly 🔴.
Defensive Trends:
- Def Reb Pct (Defensive Rebounding): Currently ranked 297 of 365 in D1. Trending down strongly 🔴.
- Opp Shooting (Opp Shooting): Currently ranked 135 of 365 in D1. Trending up moderately 🔴.
Tennessee
Record: 20-7 | Elo: 1740.8 (ranked 13 of 365) | Efficiency Margin: +29.05 (ranked 16 of 365)
Offensive Trends:
- Turnovers (Turnovers): Currently ranked 256 of 365 in D1. Trending down strongly 🟢.
- Off Reb Pct (Offensive Rebounding): Currently ranked 1 of 365 in D1. Trending up strongly 🟢.
Defensive Trends:
- Def Reb Pct (Defensive Rebounding): Currently ranked 30 of 365 in D1. Trending up strongly 🟢.
- Opp Shooting (Opp Shooting): Currently ranked 32 of 365 in D1. Trending up moderately 🔴.
Texas
Record: 16-10 | Elo: 1610.2 (ranked 66 of 365) | Efficiency Margin: +21.88 (ranked 34 of 365)
Offensive Trends:
- Shooting (Shooting): Currently ranked 37 of 365 in D1. Trending up strongly 🟢.
- Turnovers (Turnovers): Currently ranked 97 of 365 in D1. Trending down moderately 🟢.
Defensive Trends:
- Opp Shooting (Opp Shooting): Currently ranked 140 of 365 in D1. Trending up strongly 🔴.
- Opp Turnovers (Opp Turnovers): Currently ranked 341 of 365 in D1. Trending down strongly 🔴.
Texas A&M
Record: 19-8 | Elo: 1664.7 (ranked 39 of 365) | Efficiency Margin: +17.00 (ranked 43 of 365)
Offensive Trends:
- Turnovers (Turnovers): Currently ranked 54 of 365 in D1. Trending down strongly 🟢.
- Off Reb Pct (Offensive Rebounding): Currently ranked 110 of 365 in D1. Trending down moderately 🔴.
Defensive Trends:
- Opp Turnovers (Opp Turnovers): Currently ranked 83 of 365 in D1. Trending down strongly 🔴.
- Def Reb Pct (Defensive Rebounding): Currently ranked 245 of 365 in D1. Trending down strongly 🔴.
Vanderbilt
Record: 21-6 | Elo: 1655.6 (ranked 44 of 365) | Efficiency Margin: +28.28 (ranked 18 of 365)
Offensive Trends:
- Shooting (Shooting): Currently ranked 33 of 365 in D1. Trending down moderately 🔴.
- Turnovers (Turnovers): Currently ranked 7 of 365 in D1. Trending up moderately 🔴.
Defensive Trends:
- Def Reb Pct (Defensive Rebounding): Currently ranked 115 of 365 in D1. Trending down strongly 🔴.
- Opp Turnovers (Opp Turnovers): Currently ranked 102 of 365 in D1. Trending down moderately 🔴.

Figure 2: Offensive Four Factors comparison across SEC teams. The radar chart shows each team’s shooting efficiency (eFG%), ball security (TOV%), offensive rebounding (OREB%), and free throw generation (FT Rate).

Figure 3: Defensive Four Factors comparison across SEC teams. The radar chart shows each team’s opponent shooting defense (Opp eFG%), ball disruption (forcing TOV%), defensive rebounding (DREB%), and opponent free throw prevention (Opp FT Rate).

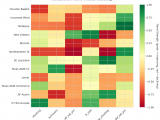
Figure 4: MACD trends heatmap showing which metrics are improving (green) or declining (red) for each team. Stronger colors indicate more pronounced trends.
Looking Ahead
SEC Teams’ Week 16 Analysis: Trends and Insights
As the Southeastern Conference (SEC) continues to navigate its season, it’s essential to identify which teams are genuinely improving versus those riding unsustainable momentum. Our analysis of key offensive trends will provide valuable insights into each team’s performance.
Arkansas’ shooting has improved significantly with a metric of 0.57, indicating a more consistent scoring output for the team. Conversely, Auburn’s shooting trend is actually an improvement from its previous week, increasing to 0.52, showcasing their potential for success.
Another notable improvement comes from Arkansas’ ability to minimize turnovers, which is trending up at 0.118, contributing positively to their overall performance. In contrast, while Auburn’s turnovers have decreased, this trend has not yet reached the rate of improvement expected based on previous weeks’ data.
Defensive Trends: Alabama and Arkansas under Scrutiny
On the defensive side, Alabama’s ability to force turnovers is struggling with a metric of 0.11599999999999999, indicating difficulties in creating turnovers that could impact their overall performance.
Arkansas’ defense is experiencing some difficulties as their opponent’s shooting percentage has increased to 0.51, suggesting a weakening defensive unit. Furthermore, Arkansas is allowing their opponents to commit fewer turnovers at 0.147, exacerbating their defensive woes.
Auburn’s defense is also showing signs of struggle as their opponent’s shooting percentage has trended up to 0.53, indicating that they are conceding more points per possession.
By examining these key trends, we can gain a deeper understanding of each team’s strengths and weaknesses in Week 16.
Metrics Glossary
Four Factors (Dean Oliver’s framework for basketball success):
- eFG% (Effective Field Goal %): Field goal percentage adjusted for 3-pointers being worth more (FGM + 0.5×3PM) / FGA. Higher is better offensively, lower is better defensively.
- TOV% (Turnover Rate): Turnovers per 100 possessions. Lower is better offensively (taking care of the ball), higher is better defensively (forcing turnovers).
- OREB% / DREB% (Offensive/Defensive Rebound Rate): Percentage of available rebounds grabbed. Offensive rebounds create second-chance points; defensive rebounds end opponent possessions.
- FTR (Free Throw Rate): Free throws made per field goal attempt (FTM/FGA). Measures ability to get to the line AND convert. Higher is better offensively, lower is better defensively.
Other Metrics:
- Elo Rating: Chess-style rating system that updates based on game results and opponent strength. Higher Elo indicates stronger team.
- Efficiency Margin: Point differential per 100 possessions (Offensive Efficiency – Defensive Efficiency). Accounts for pace of play.
- MACD (Moving Average Convergence Divergence): Trend indicator comparing 12-game and 26-game exponential moving averages. Positive MACD = improving trend, Negative MACD = declining trend.
Analysis powered by HoopSci’s advanced metrics and MACD trending indicators.

