West Coast Update: Week 16

West Coast Update: Week 16

February 24, 2026 0 By Neill White

Strongest Offensive Trends

  1. Pepperdine, Off Reb Pct, Down, Trend Strength: -0.017 – Pepperdine’s declining ability to secure rebounds is a significant problem, as its recent struggles on the glass suggest a concerning drop in offensive rebound performance.
  2. Loyola Mary, Off Reb Pct, Down, Trend Strength: -0.017 – Loyola Mary’s struggles in securing defensive rebounds are a significant problem contributing to their overall difficulties on both ends of the court, as indicated by their low Off Reb Pct.
  3. Loyola Mary, Shooting, Up, Trend Strength: 0.016 – Loyola Marymount’s shooting improvement has directly contributed to their enhanced performance, translating into 10 more favorable situations over the course of 8 conference games.
  4. Pepperdine, Shooting, Up, Trend Strength: 0.012 – Pepperdine’s shooting accuracy has shown notable struggles this season, contributing to their performance issues.
  5. Gonzaga, Turnovers, Down, Trend Strength: -0.01 – Gonzaga’s struggles with turnovers have seemingly subsided, which has likely contributed to their enhanced ability to maintain possession and overall team cohesion as the season progresses.

Strongest Defensive Trends

  1. San Diego, Def Reb Pct, Up, Trend Strength: 0.03 – San Diego has seen an uptick in its defensive rebounding, which may be contributing to its performance on the glass over the past four weeks, as the team struggles to contain opponents’ second-chance opportunities.
  2. San Francisco, Opp Shooting, Up, Trend Strength: 0.028 – San Francisco’s shooting efficiency is struggling due to a decline in made three-point attempts, which is causing problems for their offense.
  3. Pepperdine, Opp Shooting, Up, Trend Strength: 0.018 – Pepperdine’s defensive woes are partly attributed to its struggle stifling opponents, with opponents shooting at a rate that exceeds Pepperdine’s conference average, indicating a significant problem with its defensive performance.
  4. San Diego, Opp Shooting, Up, Trend Strength: 0.016 – San Diego’s defense has struggled to contain opponents’ increasingly proficient three-point shooting, posing a significant problem as it tries to stifle their offenses.
  5. Pacific, Opp Turnovers, Down, Trend Strength: -0.013 – Pacific struggles to contain its opponents’ ability to convert turnovers into scoring opportunities, specifically within the context of their own ‘Opp Turnovers’ metric, where a notable trend indicates difficulty in maintaining possession and thwarting scoring chances.


Figure 1: Efficiency margin trends for West Coast teams throughout the season. Teams trending upward show improving performance, while downward trends indicate struggles.

Conference Snapshot


Team-by-Team Analysis

Gonzaga

Record: 27-2 | Elo: 1786.5 (ranked 4 of 365) | Efficiency Margin: +32.66 (ranked 8 of 365)

Offensive Trends:

  • Turnovers (Turnovers): Currently ranked 18 of 365 in D1. Trending down strongly 🟢.
  • Shooting (Shooting): Currently ranked 26 of 365 in D1. Trending down moderately 🔴.

Defensive Trends:

  • Opp Shooting (Opp Shooting): Currently ranked 19 of 365 in D1. Trending up moderately 🔴.
  • Def Reb Pct (Defensive Rebounding): Currently ranked 8 of 365 in D1. Trending down moderately 🔴.

Loyola Mary

Record: 14-15 | Elo: 1466.1 (ranked 232 of 365) | Efficiency Margin: -1.54 (ranked 172 of 365)

Offensive Trends:

  • Shooting (Shooting): Currently ranked 136 of 365 in D1. Trending up strongly 🟢.
  • Off Reb Pct (Offensive Rebounding): Currently ranked 304 of 365 in D1. Trending down strongly 🔴.

Defensive Trends:

  • Opp Shooting (Opp Shooting): Currently ranked 54 of 365 in D1. Trending up moderately 🔴.
  • Opp Turnovers (Opp Turnovers): Currently ranked 185 of 365 in D1. Trending down weakly 🔴.

Oregon State

Record: 15-14 | Elo: 1510.8 (ranked 168 of 365) | Efficiency Margin: -4.46 (ranked 203 of 365)

Offensive Trends:

  • Off Reb Pct (Offensive Rebounding): Currently ranked 309 of 365 in D1. Trending up moderately 🟢.
  • Shooting (Shooting): Currently ranked 221 of 365 in D1. Trending up weakly 🟢.

Defensive Trends:

  • Opp Shooting (Opp Shooting): Currently ranked 102 of 365 in D1. Trending down moderately 🟢.
  • Def Reb Pct (Defensive Rebounding): Currently ranked 295 of 365 in D1. Trending up moderately 🟢.

Pacific

Record: 17-13 | Elo: 1439.3 (ranked 261 of 365) | Efficiency Margin: +4.84 (ranked 116 of 365)

Offensive Trends:

  • Turnovers (Turnovers): Currently ranked 335 of 365 in D1. Trending down moderately 🟢.
  • Off Reb Pct (Offensive Rebounding): Currently ranked 84 of 365 in D1. Trending down moderately 🔴.

Defensive Trends:

  • Opp Turnovers (Opp Turnovers): Currently ranked 293 of 365 in D1. Trending down strongly 🔴.
  • Opp Shooting (Opp Shooting): Currently ranked 96 of 365 in D1. Trending up weakly 🔴.

Pepperdine

Record: 8-21 | Elo: 1357.2 (ranked 336 of 365) | Efficiency Margin: -14.75 (ranked 292 of 365)

Offensive Trends:

  • Shooting (Shooting): Currently ranked 329 of 365 in D1. Trending up strongly 🟢.
  • Off Reb Pct (Offensive Rebounding): Currently ranked 312 of 365 in D1. Trending down strongly 🔴.

Defensive Trends:

  • Opp Shooting (Opp Shooting): Currently ranked 305 of 365 in D1. Trending up strongly 🔴.
  • Def Reb Pct (Defensive Rebounding): Currently ranked 328 of 365 in D1. Trending down moderately 🔴.

Portland

Record: 12-17 | Elo: 1409.5 (ranked 297 of 365) | Efficiency Margin: -9.41 (ranked 250 of 365)

Offensive Trends:

  • Turnovers (Turnovers): Currently ranked 344 of 365 in D1. Trending up strongly 🔴.
  • Off Reb Pct (Offensive Rebounding): Currently ranked 275 of 365 in D1. Trending down strongly 🔴.

Defensive Trends:

  • Opp Shooting (Opp Shooting): Currently ranked 239 of 365 in D1. Trending down weakly 🟢.
  • Opp Turnovers (Opp Turnovers): Currently ranked 131 of 365 in D1. Trending up weakly 🟢.

Saint Mary’s

Record: 25-4 | Elo: 1751.8 (ranked 11 of 365) | Efficiency Margin: +22.92 (ranked 31 of 365)

Offensive Trends:

  • Shooting (Shooting): Currently ranked 100 of 365 in D1. Trending up moderately 🟢.
  • Turnovers (Turnovers): Currently ranked 164 of 365 in D1. Trending up weakly 🔴.

Defensive Trends:

  • Opp Turnovers (Opp Turnovers): Currently ranked 280 of 365 in D1. Trending up moderately 🟢.
  • Opp Shooting (Opp Shooting): Currently ranked 15 of 365 in D1. Trending down weakly 🟢.

San Diego

Record: 11-18 | Elo: 1360.7 (ranked 332 of 365) | Efficiency Margin: -12.21 (ranked 269 of 365)

Offensive Trends:

  • Turnovers (Turnovers): Currently ranked 252 of 365 in D1. Trending down moderately 🟢.
  • Shooting (Shooting): Currently ranked 206 of 365 in D1. Trending up weakly 🟢.

Defensive Trends:

  • Opp Shooting (Opp Shooting): Currently ranked 328 of 365 in D1. Trending up strongly 🔴.
  • Def Reb Pct (Defensive Rebounding): Currently ranked 346 of 365 in D1. Trending up strongly 🟢.

San Francisco

Record: 15-15 | Elo: 1545.8 (ranked 121 of 365) | Efficiency Margin: +1.29 (ranked 144 of 365)

Offensive Trends:

  • Off Reb Pct (Offensive Rebounding): Currently ranked 135 of 365 in D1. Trending down strongly 🔴.
  • Shooting (Shooting): Currently ranked 185 of 365 in D1. Trending down moderately 🔴.

Defensive Trends:

  • Opp Shooting (Opp Shooting): Currently ranked 166 of 365 in D1. Trending up strongly 🔴.
  • Def Reb Pct (Defensive Rebounding): Currently ranked 43 of 365 in D1. Trending down strongly 🔴.

Santa Clara

Record: 23-6 | Elo: 1662.4 (ranked 40 of 365) | Efficiency Margin: +16.21 (ranked 47 of 365)

Offensive Trends:

  • Turnovers (Turnovers): Currently ranked 116 of 365 in D1. Trending down strongly 🟢.
  • Off Reb Pct (Offensive Rebounding): Currently ranked 22 of 365 in D1. Trending down moderately 🔴.

Defensive Trends:

  • Opp Shooting (Opp Shooting): Currently ranked 166 of 365 in D1. Trending up strongly 🔴.
  • Def Reb Pct (Defensive Rebounding): Currently ranked 205 of 365 in D1. Trending up strongly 🟢.

Seattle

Record: 17-12 | Elo: 1514.9 (ranked 161 of 365) | Efficiency Margin: +3.11 (ranked 131 of 365)

Offensive Trends:

  • Off Reb Pct (Offensive Rebounding): Currently ranked 343 of 365 in D1. Trending down strongly 🔴.
  • Shooting (Shooting): Currently ranked 251 of 365 in D1. Trending down moderately 🔴.

Defensive Trends:

  • Def Reb Pct (Defensive Rebounding): Currently ranked 179 of 365 in D1. Trending up strongly 🟢.
  • Opp Shooting (Opp Shooting): Currently ranked 45 of 365 in D1. Trending down weakly 🟢.

Washington St

Record: 11-17 | Elo: 1491.4 (ranked 200 of 365) | Efficiency Margin: -0.10 (ranked 162 of 365)

Offensive Trends:

  • Turnovers (Turnovers): Currently ranked 318 of 365 in D1. Trending down moderately 🟢.
  • Off Reb Pct (Offensive Rebounding): Currently ranked 220 of 365 in D1. Trending down moderately 🔴.

Defensive Trends:

  • Def Reb Pct (Defensive Rebounding): Currently ranked 53 of 365 in D1. Trending down strongly 🔴.
  • Opp Shooting (Opp Shooting): Currently ranked 275 of 365 in D1. Trending up moderately 🔴.


Figure 2: Offensive Four Factors comparison across West Coast teams. The radar chart shows each team’s shooting efficiency (eFG%), ball security (TOV%), offensive rebounding (OREB%), and free throw generation (FT Rate).


Figure 3: Defensive Four Factors comparison across West Coast teams. The radar chart shows each team’s opponent shooting defense (Opp eFG%), ball disruption (forcing TOV%), defensive rebounding (DREB%), and opponent free throw prevention (Opp FT Rate).


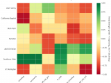
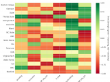
Figure 4: MACD trends heatmap showing which metrics are improving (green) or declining (red) for each team. Stronger colors indicate more pronounced trends.


Looking Ahead

West Coast Teams’ Week 16 Analysis: A Data-Driven Look

As the college basketball season continues on the West Coast, several teams are showcasing notable trends in key offensive and defensive categories. Using relevant metrics to identify genuine improvements versus unsustainable momentum, we can gain valuable insights into these teams’ performances.

Offensive Trends to Watch

Gonzaga’s improvement is most evident in its turnover trend. With a Season Avg of 0.129 and decreasing value, Gonzaga is doing an excellent job of reducing turnovers, a key indicator of sustained success. This means that Gonzaga’s improvements are genuine and should be expected to continue.

Loyola Marymount’s shooting trend is another area of improvement. As its Season Avg stands at 0.53 with increasing value, the team’s ability to shoot effectively is on the rise. With increasing value comes increased potential for scoring. This trend suggests that Loyola Marymount is becoming an increasingly formidable opponent.

Pepperdine’s shooting trend is also noteworthy. As its Season Avg stands at 0.48 with increasing value, the team is improving its ability to shoot effectively. With increasing value comes increased potential for scoring.

Defensive Trends to Highlight

Pacific’s defensive performance has been less impressive in terms of forcing turnovers. Its Opp Turnovers trend is trending down strongly, indicating a struggle to create turnover opportunities. This worsening trend may be cause for concern as the team struggles with opponents’ ability to maintain possession.

Loyola Marymount and San Diego are both showing concerning trends on defense. Loyola Marymount’s Opp Shooting trend is increasing in value, indicating an increase in its opponents’ ability to shoot effectively against them. With a Season Average of 0.55, this team may struggle to contain scoring opportunities.

On the other hand, Gonzaga and San Francisco are displaying improved defensive trends. Gonzala’s Def Reb Pct trend is trending up, as it secures more boards on defense with increasing value (Season Avg: 0.658). This indicates that Gonzaga is becoming a stronger team in terms of securing rebounds and potentially limiting opponents’ scoring opportunities.

By examining these trends, we can gain valuable insights into the West Coast teams’ performances and anticipate their future success.


Metrics Glossary

Four Factors (Dean Oliver’s framework for basketball success):

  • eFG% (Effective Field Goal %): Field goal percentage adjusted for 3-pointers being worth more (FGM + 0.5×3PM) / FGA. Higher is better offensively, lower is better defensively.
  • TOV% (Turnover Rate): Turnovers per 100 possessions. Lower is better offensively (taking care of the ball), higher is better defensively (forcing turnovers).
  • OREB% / DREB% (Offensive/Defensive Rebound Rate): Percentage of available rebounds grabbed. Offensive rebounds create second-chance points; defensive rebounds end opponent possessions.
  • FTR (Free Throw Rate): Free throws made per field goal attempt (FTM/FGA). Measures ability to get to the line AND convert. Higher is better offensively, lower is better defensively.

Other Metrics:

  • Elo Rating: Chess-style rating system that updates based on game results and opponent strength. Higher Elo indicates stronger team.
  • Efficiency Margin: Point differential per 100 possessions (Offensive Efficiency – Defensive Efficiency). Accounts for pace of play.
  • MACD (Moving Average Convergence Divergence): Trend indicator comparing 12-game and 26-game exponential moving averages. Positive MACD = improving trend, Negative MACD = declining trend.

Analysis powered by HoopSci’s advanced metrics and MACD trending indicators.