Big 12 Update: Week 17
March 2, 2026Strongest Offensive Trends
- Kansas State, Off Reb Pct, Down, Trend Strength: -0.029 – Kansas State’s struggles with securing rebounds on offense are a significant problem, contributing to their scoring issues as evident in their 65-75 loss where they grabbed only 22 offensive rebounds compared to their opponents’ 31.
- Iowa State, Off Reb Pct, Down, Trend Strength: -0.023 – Iowa State’s struggling rebounding attack on offense has been impacted by their inability to secure rebounds, ultimately contributing to a reduction in scoring opportunities.
- Kansas, Shooting, Down, Trend Strength: -0.018 – Kansas’s shooting has been in a slump, with their decreased accuracy over time significantly impacting their ability to score effectively on offense, resulting in an overall decline in performance that is hurting their chances of winning games.
- Iowa State, Shooting, Down, Trend Strength: -0.016 – Iowa State’s consistent shooting struggles have been a significant issue, hindering their offense’s efficiency in recent outings.
- Iowa State, Turnovers, Down, Trend Strength: -0.011 – The Cyclones’ struggle with turnovers has led to improved ball control, resulting in fewer possessions squandered and more scoring opportunities created through better possession management.
Strongest Defensive Trends
- Kansas, Def Reb Pct, Down, Trend Strength: -0.023 – Kansas’s defense has struggled to secure its own rebounds, stifling scoring opportunities and posing a problem for the team.
- Iowa State, Opp Shooting, Up, Trend Strength: 0.023 – Iowa State’s defense has been stifled by its inability to contain opponents from the free throw line, posing a significant challenge for the team’s defensive strategy.
- Baylor, Opp Shooting, Up, Trend Strength: 0.017 – Baylor’s defensive struggles have been particularly evident in their inability to effectively counter opposing teams’ shots, posing a significant issue for their defensive strategy as they consistently allow opponents to make their shots.
- Texas Tech, Opp Turnovers, Down, Trend Strength: -0.013 – Texas Tech’s inability to create game-changing opportunities by limiting opponents’ possessions and forcing turnovers on a consistent basis continues to be a problem that affects its ability to assert dominance in games.
- Oklahoma State, Opp Turnovers, Down, Trend Strength: -0.01 – Oklahoma State’s stifling defense has been a problem for their opponents, who have forced turnovers and capitalized on their opportunities.

Figure 1: Efficiency margin trends for Big 12 teams throughout the season. Teams trending upward show improving performance, while downward trends indicate struggles.
Conference Snapshot
- Week Dates: February 23 – March 01, 2026
- Trending Up (Efficiency): Baylor, Texas Tech, Cincinnati, UCF
- Trending Down (Efficiency): Iowa State, Kansas, Kansas State, Oklahoma State, TCU
Team-by-Team Analysis
Arizona
Record: 27-2 | Elo: 1803.4 (ranked 3 of 365) | Efficiency Margin: +37.70 (ranked 3 of 365)
Offensive Trends:
- Shooting (Shooting): Currently ranked 51 of 365 in D1. Trending down strongly 🔴.
- Turnovers (Turnovers): Currently ranked 93 of 365 in D1. Trending down strongly 🟢.
Defensive Trends:
- Opp Turnovers (Opp Turnovers): Currently ranked 131 of 365 in D1. Trending down strongly 🔴.
- Opp Shooting (Opp Shooting): Currently ranked 4 of 365 in D1. Trending down moderately 🟢.
Arizona State
Record: 15-14 | Elo: 1532.9 (ranked 141 of 365) | Efficiency Margin: +9.82 (ranked 85 of 365)
Offensive Trends:
- Turnovers (Turnovers): Currently ranked 129 of 365 in D1. Trending down moderately 🟢.
- Shooting (Shooting): Currently ranked 169 of 365 in D1. Trending down weakly 🔴.
Defensive Trends:
- Opp Shooting (Opp Shooting): Currently ranked 265 of 365 in D1. Trending down moderately 🟢.
- Opp Turnovers (Opp Turnovers): Currently ranked 65 of 365 in D1. Trending down weakly 🔴.
BYU
Record: 20-9 | Elo: 1676.4 (ranked 34 of 365) | Efficiency Margin: +24.49 (ranked 25 of 365)
Offensive Trends:
- Off Reb Pct (Offensive Rebounding): Currently ranked 83 of 365 in D1. Trending down strongly 🔴.
- Shooting (Shooting): Currently ranked 43 of 365 in D1. Trending down moderately 🔴.
Defensive Trends:
- Opp Shooting (Opp Shooting): Currently ranked 135 of 365 in D1. Trending up strongly 🔴.
- Def Reb Pct (Defensive Rebounding): Currently ranked 61 of 365 in D1. Trending down strongly 🔴.
Baylor
Record: 14-14 | Elo: 1588.4 (ranked 79 of 365) | Efficiency Margin: +12.11 (ranked 71 of 365)
Offensive Trends:
- Turnovers (Turnovers): Currently ranked 185 of 365 in D1. Trending down moderately 🟢.
- Off Reb Pct (Offensive Rebounding): Currently ranked 22 of 365 in D1. Trending down moderately 🔴.
Defensive Trends:
- Opp Shooting (Opp Shooting): Currently ranked 208 of 365 in D1. Trending up strongly 🔴.
- Opp Turnovers (Opp Turnovers): Currently ranked 244 of 365 in D1. Trending down moderately 🔴.
Cincinnati
Record: 16-13 | Elo: 1587.3 (ranked 80 of 365) | Efficiency Margin: +14.47 (ranked 60 of 365)
Offensive Trends:
- Shooting (Shooting): Currently ranked 241 of 365 in D1. Trending up strongly 🟢.
- Turnovers (Turnovers): Currently ranked 194 of 365 in D1. Trending down strongly 🟢.
Defensive Trends:
- Def Reb Pct (Defensive Rebounding): Currently ranked 51 of 365 in D1. Trending down strongly 🔴.
- Opp Turnovers (Opp Turnovers): Currently ranked 65 of 365 in D1. Trending down moderately 🔴.
Colorado
Record: 16-13 | Elo: 1549.5 (ranked 115 of 365) | Efficiency Margin: +7.91 (ranked 95 of 365)
Offensive Trends:
- Off Reb Pct (Offensive Rebounding): Currently ranked 209 of 365 in D1. Trending down strongly 🔴.
- Shooting (Shooting): Currently ranked 127 of 365 in D1. Trending down moderately 🔴.
Defensive Trends:
- Opp Shooting (Opp Shooting): Currently ranked 264 of 365 in D1. Trending up moderately 🔴.
- Opp Turnovers (Opp Turnovers): Currently ranked 246 of 365 in D1. Trending down weakly 🔴.
Houston
Record: 24-5 | Elo: 1809.5 (ranked 2 of 365) | Efficiency Margin: +34.03 (ranked 5 of 365)
Offensive Trends:
- Off Reb Pct (Offensive Rebounding): Currently ranked 26 of 365 in D1. Trending down strongly 🔴.
- Turnovers (Turnovers): Currently ranked 1 of 365 in D1. Trending down moderately 🟢.
Defensive Trends:
- Opp Turnovers (Opp Turnovers): Currently ranked 9 of 365 in D1. Trending down strongly 🔴.
- Def Reb Pct (Defensive Rebounding): Currently ranked 124 of 365 in D1. Trending up strongly 🟢.
Iowa State
Record: 24-5 | Elo: 1732.0 (ranked 13 of 365) | Efficiency Margin: +31.01 (ranked 12 of 365)
Offensive Trends:
- Shooting (Shooting): Currently ranked 16 of 365 in D1. Trending down strongly 🔴.
- Turnovers (Turnovers): Currently ranked 84 of 365 in D1. Trending down strongly 🟢.
Defensive Trends:
- Opp Shooting (Opp Shooting): Currently ranked 82 of 365 in D1. Trending up strongly 🔴.
- Opp Turnovers (Opp Turnovers): Currently ranked 7 of 365 in D1. Trending down moderately 🔴.
Kansas
Record: 21-8 | Elo: 1711.0 (ranked 17 of 365) | Efficiency Margin: +26.97 (ranked 18 of 365)
Offensive Trends:
- Shooting (Shooting): Currently ranked 130 of 365 in D1. Trending down strongly 🔴.
- Off Reb Pct (Offensive Rebounding): Currently ranked 229 of 365 in D1. Trending down moderately 🔴.
Defensive Trends:
- Def Reb Pct (Defensive Rebounding): Currently ranked 165 of 365 in D1. Trending down strongly 🔴.
- Opp Shooting (Opp Shooting): Currently ranked 5 of 365 in D1. Trending up weakly 🔴.
Kansas State
Record: 11-18 | Elo: 1486.2 (ranked 204 of 365) | Efficiency Margin: +4.24 (ranked 117 of 365)
Offensive Trends:
- Off Reb Pct (Offensive Rebounding): Currently ranked 211 of 365 in D1. Trending down strongly 🔴.
- Turnovers (Turnovers): Currently ranked 254 of 365 in D1. Trending up moderately 🔴.
Defensive Trends:
- Opp Shooting (Opp Shooting): Currently ranked 202 of 365 in D1. Trending up moderately 🔴.
- Opp Turnovers (Opp Turnovers): Currently ranked 157 of 365 in D1. Trending down weakly 🔴.
Oklahoma State
Record: 17-12 | Elo: 1551.0 (ranked 113 of 365) | Efficiency Margin: +5.57 (ranked 107 of 365)
Offensive Trends:
- Shooting (Shooting): Currently ranked 147 of 365 in D1. Trending down strongly 🔴.
- Turnovers (Turnovers): Currently ranked 175 of 365 in D1. Trending down weakly 🟢.
Defensive Trends:
- Opp Turnovers (Opp Turnovers): Currently ranked 153 of 365 in D1. Trending down strongly 🔴.
- Opp Shooting (Opp Shooting): Currently ranked 242 of 365 in D1. Trending up moderately 🔴.
TCU
Record: 19-10 | Elo: 1614.8 (ranked 62 of 365) | Efficiency Margin: +16.04 (ranked 48 of 365)
Offensive Trends:
- Turnovers (Turnovers): Currently ranked 105 of 365 in D1. Trending down strongly 🟢.
- Shooting (Shooting): Currently ranked 216 of 365 in D1. Trending down moderately 🔴.
Defensive Trends:
- Opp Shooting (Opp Shooting): Currently ranked 138 of 365 in D1. Trending up moderately 🔴.
- Def Reb Pct (Defensive Rebounding): Currently ranked 113 of 365 in D1. Trending up moderately 🟢.
Texas Tech
Record: 22-7 | Elo: 1742.7 (ranked 12 of 365) | Efficiency Margin: +25.88 (ranked 21 of 365)
Offensive Trends:
- Shooting (Shooting): Currently ranked 17 of 365 in D1. Trending up strongly 🟢.
- Turnovers (Turnovers): Currently ranked 117 of 365 in D1. Trending up strongly 🔴.
Defensive Trends:
- Opp Turnovers (Opp Turnovers): Currently ranked 295 of 365 in D1. Trending down strongly 🔴.
- Opp Shooting (Opp Shooting): Currently ranked 63 of 365 in D1. Trending down moderately 🟢.
UCF
Record: 20-8 | Elo: 1629.9 (ranked 54 of 365) | Efficiency Margin: +14.02 (ranked 62 of 365)
Offensive Trends:
- Shooting (Shooting): Currently ranked 56 of 365 in D1. Trending up strongly 🟢.
- Off Reb Pct (Offensive Rebounding): Currently ranked 55 of 365 in D1. Trending down strongly 🔴.
Defensive Trends:
- Opp Turnovers (Opp Turnovers): Currently ranked 226 of 365 in D1. Trending down strongly 🔴.
- Opp Shooting (Opp Shooting): Currently ranked 237 of 365 in D1. Trending up moderately 🔴.
Utah
Record: 10-19 | Elo: 1462.8 (ranked 234 of 365) | Efficiency Margin: +2.35 (ranked 134 of 365)
Offensive Trends:
- Shooting (Shooting): Currently ranked 165 of 365 in D1. Trending down moderately 🔴.
- Turnovers (Turnovers): Currently ranked 135 of 365 in D1. Trending up moderately 🔴.
Defensive Trends:
- Opp Turnovers (Opp Turnovers): Currently ranked 338 of 365 in D1. Trending down strongly 🔴.
- Def Reb Pct (Defensive Rebounding): Currently ranked 182 of 365 in D1. Trending up strongly 🟢.
West Virginia
Record: 17-12 | Elo: 1569.8 (ranked 95 of 365) | Efficiency Margin: +15.27 (ranked 52 of 365)
Offensive Trends:
- Off Reb Pct (Offensive Rebounding): Currently ranked 127 of 365 in D1. Trending up strongly 🟢.
- Shooting (Shooting): Currently ranked 186 of 365 in D1. Trending down moderately 🔴.
Defensive Trends:
- Opp Shooting (Opp Shooting): Currently ranked 51 of 365 in D1. Trending up moderately 🔴.
- Def Reb Pct (Defensive Rebounding): Currently ranked 66 of 365 in D1. Trending down moderately 🔴.

Figure 2: Offensive Four Factors comparison across Big 12 teams. The radar chart shows each team’s shooting efficiency (eFG%), ball security (TOV%), offensive rebounding (OREB%), and free throw generation (FT Rate).

Figure 3: Defensive Four Factors comparison across Big 12 teams. The radar chart shows each team’s opponent shooting defense (Opp eFG%), ball disruption (forcing TOV%), defensive rebounding (DREB%), and opponent free throw prevention (Opp FT Rate).

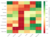
Figure 4: MACD trends heatmap showing which metrics are improving (green) or declining (red) for each team. Stronger colors indicate more pronounced trends.
Looking Ahead
Big 12 Teams Show Varied Momentum Heading into Week 18
As we analyze the Big 12 teams, a clear picture of momentum emerges. Using relevant data and metrics, we’ve identified areas where teams are improving or declining.
Offensive Trends
Baylor’s shooting percentage has decreased this season, trending downward at 0.53 (Season Avg: 0.52, Trend: Down). This decline in efficiency from the field is a struggle for the team, indicating difficulties in finding consistency in their offense.
Kansas’ shooting trend is also concerning, with a decline in their shooting percentage (Season Avg: 0.54, Trend: Down). Unfortunately, this weakness is being exploited by their opponents.
Defensive Trends
On the defensive side of the ball, Iowa State’s struggle to contain opponents’ outside shots is evident in their data. Specifically, Baylor’s opponents have seen an increase in average shooting percentages (Opp Shooting: 0.50, Trend: Up). Similarly, Baylor’s opponents face fewer difficulties in scoring from beyond the arc.
In conclusion, these trends will be crucial to watch as we head into Week 18. Iowa State and Kansas must address their declining shooting percentages, while Baylor needs to shore up its defensive efforts against opponents’ outside shots.
Metrics Glossary
Four Factors (Dean Oliver’s framework for basketball success):
- eFG% (Effective Field Goal %): Field goal percentage adjusted for 3-pointers being worth more (FGM + 0.5×3PM) / FGA. Higher is better offensively, lower is better defensively.
- TOV% (Turnover Rate): Turnovers per 100 possessions. Lower is better offensively (taking care of the ball), higher is better defensively (forcing turnovers).
- OREB% / DREB% (Offensive/Defensive Rebound Rate): Percentage of available rebounds grabbed. Offensive rebounds create second-chance points; defensive rebounds end opponent possessions.
- FTR (Free Throw Rate): Free throws made per field goal attempt (FTM/FGA). Measures ability to get to the line AND convert. Higher is better offensively, lower is better defensively.
Other Metrics:
- Elo Rating: Chess-style rating system that updates based on game results and opponent strength. Higher Elo indicates stronger team.
- Efficiency Margin: Point differential per 100 possessions (Offensive Efficiency – Defensive Efficiency). Accounts for pace of play.
- MACD (Moving Average Convergence Divergence): Trend indicator comparing 12-game and 26-game exponential moving averages. Positive MACD = improving trend, Negative MACD = declining trend.
Analysis powered by HoopSci’s advanced metrics and MACD trending indicators.

