Coastal Update: Week 17
March 2, 2026Strongest Offensive Trends
- Elon, Off Reb Pct, Down, Trend Strength: -0.041 – Elon’s defensive rebounding issues, evident in their 67.4% off-rebound percentage, significantly hinder their overall performance by limiting their ability to secure crucial possessions and maintain momentum on both ends of the court.
- Elon, Shooting, Down, Trend Strength: -0.022 – Elon’s struggles with outside shots have hindered their overall scoring efficiency, resulting from a subpar three-point shooting average that remains one of the season’s lowest marks.
- Drexel, Off Reb Pct, Down, Trend Strength: -0.018 – Drexel’s struggle with rebounding is hindering their ability to capitalize on scoring opportunities and maintain momentum during games.
- Charleston, Turnovers, Down, Trend Strength: -0.008 – Charleston’s decline in turnovers, specifically a 2.5 per game increase from last season, presents a troublesome problem with ball handling that allows opponents more defensive opportunities and disrupts smooth transitions, ultimately jeopardizing their chances in the Colonial Conference.
- Elon, Turnovers, Down, Trend Strength: -0.007 – Elon’s struggles with turnovers have started to show signs of improvement on the court, contributing positively to their overall performance.
Strongest Defensive Trends
- Northeastern, Def Reb Pct, Up, Trend Strength: 0.052 – Northeastern’s defensive rebounding prowess has seen a notable struggle to improve against more physical opponents that can challenge its ability to secure crucial defensive boards.
- Towson, Opp Shooting, Down, Trend Strength: -0.022 – Towson’s opponents have shown a 25% increase in three-point shooting, marking a negative trend that has forced Towson’s defensive strategy into a struggle.
- Hofstra, Opp Shooting, Down, Trend Strength: -0.02 – Hofstra’s defense has struggled to limit opponents’ effectiveness, particularly in stifling their shooting performance.
- Northeastern, Opp Turnovers, Down, Trend Strength: -0.019 – Northeastern’s defensive strategy has struggled to stifle opponents’ possession, who have become increasingly efficient at maintaining the ball, in part due to the team’s inability to effectively pressure the opponent and limit shooting opportunities.
- Elon, Def Reb Pct, Down, Trend Strength: -0.013 – Elon’s struggles with securing defensive rebounds are allowing opponents to gain a significant advantage on the glass, posing a notable problem for the team in terms of maintaining possession and limiting second-chance opportunities.

Figure 1: Efficiency margin trends for Colonial teams throughout the season. Teams trending upward show improving performance, while downward trends indicate struggles.
Conference Snapshot
- Week Dates: February 23 – March 01, 2026
- Trending Up (Efficiency): Charleston, Hofstra, Monmouth, NC A&T
- Trending Down (Efficiency): Drexel, Elon, Northeastern, Towson, UNC Wilmington
Team-by-Team Analysis
Campbell
Record: 12-17 | Elo: 1455.0 (ranked 241 of 365) | Efficiency Margin: -6.86 (ranked 226 of 365)
Offensive Trends:
- Shooting (Shooting): Currently ranked 292 of 365 in D1. Trending down strongly 🔴.
- Turnovers (Turnovers): Currently ranked 182 of 365 in D1. Trending down strongly 🟢.
Defensive Trends:
- Opp Shooting (Opp Shooting): Currently ranked 321 of 365 in D1. Trending down strongly 🟢.
- Def Reb Pct (Defensive Rebounding): Currently ranked 311 of 365 in D1. Trending down moderately 🔴.
Charleston
Record: 21-10 | Elo: 1638.9 (ranked 49 of 365) | Efficiency Margin: -1.76 (ranked 176 of 365)
Offensive Trends:
- Turnovers (Turnovers): Currently ranked 137 of 365 in D1. Trending down strongly 🟢.
- Shooting (Shooting): Currently ranked 199 of 365 in D1. Trending up weakly 🟢.
Defensive Trends:
- Opp Shooting (Opp Shooting): Currently ranked 62 of 365 in D1. Trending down moderately 🟢.
- Opp Turnovers (Opp Turnovers): Currently ranked 323 of 365 in D1. Trending up moderately 🟢.
Drexel
Record: 16-14 | Elo: 1513.8 (ranked 173 of 365) | Efficiency Margin: -2.79 (ranked 188 of 365)
Offensive Trends:
- Off Reb Pct (Offensive Rebounding): Currently ranked 173 of 365 in D1. Trending down strongly 🔴.
- Shooting (Shooting): Currently ranked 185 of 365 in D1. Trending down weakly 🔴.
Defensive Trends:
- Opp Shooting (Opp Shooting): Currently ranked 23 of 365 in D1. Trending down moderately 🟢.
- Opp Turnovers (Opp Turnovers): Currently ranked 229 of 365 in D1. Trending down moderately 🔴.
Elon
Record: 14-16 | Elo: 1441.0 (ranked 257 of 365) | Efficiency Margin: -3.80 (ranked 196 of 365)
Offensive Trends:
- Shooting (Shooting): Currently ranked 122 of 365 in D1. Trending down strongly 🔴.
- Turnovers (Turnovers): Currently ranked 100 of 365 in D1. Trending down strongly 🟢.
Defensive Trends:
- Def Reb Pct (Defensive Rebounding): Currently ranked 323 of 365 in D1. Trending down strongly 🔴.
- Opp Turnovers (Opp Turnovers): Currently ranked 199 of 365 in D1. Trending up moderately 🟢.
Hampton
Record: 13-17 | Elo: 1430.7 (ranked 265 of 365) | Efficiency Margin: -12.62 (ranked 275 of 365)
Offensive Trends:
- Off Reb Pct (Offensive Rebounding): Currently ranked 183 of 365 in D1. Trending down strongly 🔴.
- Turnovers (Turnovers): Currently ranked 141 of 365 in D1. Trending down moderately 🟢.
Defensive Trends:
- Opp Turnovers (Opp Turnovers): Currently ranked 146 of 365 in D1. Trending down strongly 🔴.
- Opp Shooting (Opp Shooting): Currently ranked 195 of 365 in D1. Trending up moderately 🔴.
Hofstra
Record: 20-10 | Elo: 1571.7 (ranked 92 of 365) | Efficiency Margin: +11.48 (ranked 77 of 365)
Offensive Trends:
- Off Reb Pct (Offensive Rebounding): Currently ranked 65 of 365 in D1. Trending down strongly 🔴.
- Turnovers (Turnovers): Currently ranked 95 of 365 in D1. Trending down moderately 🟢.
Defensive Trends:
- Opp Shooting (Opp Shooting): Currently ranked 18 of 365 in D1. Trending down strongly 🟢.
- Opp Turnovers (Opp Turnovers): Currently ranked 316 of 365 in D1. Trending down moderately 🔴.
Monmouth
Record: 16-14 | Elo: 1512.8 (ranked 174 of 365) | Efficiency Margin: -1.31 (ranked 170 of 365)
Offensive Trends:
- Shooting (Shooting): Currently ranked 281 of 365 in D1. Trending up moderately 🟢.
- Turnovers (Turnovers): Currently ranked 225 of 365 in D1. Trending up moderately 🔴.
Defensive Trends:
- Def Reb Pct (Defensive Rebounding): Currently ranked 284 of 365 in D1. Trending up strongly 🟢.
- Opp Shooting (Opp Shooting): Currently ranked 111 of 365 in D1. Trending up weakly 🔴.
NC A&T
Record: 10-17 | Elo: 1368.2 (ranked 326 of 365) | Efficiency Margin: -9.73 (ranked 256 of 365)
Offensive Trends:
- Shooting (Shooting): Currently ranked 197 of 365 in D1. Trending up strongly 🟢.
- Off Reb Pct (Offensive Rebounding): Currently ranked 146 of 365 in D1. Trending down strongly 🔴.
Defensive Trends:
- Def Reb Pct (Defensive Rebounding): Currently ranked 80 of 365 in D1. Trending down strongly 🔴.
- Opp Shooting (Opp Shooting): Currently ranked 223 of 365 in D1. Trending up moderately 🔴.
Northeastern
Record: 6-22 | Elo: 1378.4 (ranked 320 of 365) | Efficiency Margin: -13.00 (ranked 279 of 365)
Offensive Trends:
- Shooting (Shooting): Currently ranked 160 of 365 in D1. Trending down strongly 🔴.
- Turnovers (Turnovers): Currently ranked 158 of 365 in D1. Trending down moderately 🟢.
Defensive Trends:
- Opp Turnovers (Opp Turnovers): Currently ranked 174 of 365 in D1. Trending down strongly 🔴.
- Def Reb Pct (Defensive Rebounding): Currently ranked 187 of 365 in D1. Trending up strongly 🟢.
Stony Brook
Record: 17-13 | Elo: 1472.0 (ranked 223 of 365) | Efficiency Margin: -8.19 (ranked 239 of 365)
Offensive Trends:
- Off Reb Pct (Offensive Rebounding): Currently ranked 298 of 365 in D1. Trending down strongly 🔴.
- Shooting (Shooting): Currently ranked 221 of 365 in D1. Trending down weakly 🔴.
Defensive Trends:
- Opp Turnovers (Opp Turnovers): Currently ranked 176 of 365 in D1. Trending up strongly 🟢.
- Def Reb Pct (Defensive Rebounding): Currently ranked 207 of 365 in D1. Trending up strongly 🟢.
Towson
Record: 16-14 | Elo: 1549.5 (ranked 116 of 365) | Efficiency Margin: -4.94 (ranked 207 of 365)
Offensive Trends:
- Off Reb Pct (Offensive Rebounding): Currently ranked 30 of 365 in D1. Trending down strongly 🔴.
- Turnovers (Turnovers): Currently ranked 133 of 365 in D1. Trending down moderately 🟢.
Defensive Trends:
- Opp Shooting (Opp Shooting): Currently ranked 85 of 365 in D1. Trending down strongly 🟢.
- Opp Turnovers (Opp Turnovers): Currently ranked 296 of 365 in D1. Trending down strongly 🔴.
UNC Wilmington
Record: 25-5 | Elo: 1672.7 (ranked 35 of 365) | Efficiency Margin: +7.18 (ranked 97 of 365)
Offensive Trends:
- Turnovers (Turnovers): Currently ranked 24 of 365 in D1. Trending down moderately 🟢.
- Shooting (Shooting): Currently ranked 203 of 365 in D1. Trending down weakly 🔴.
Defensive Trends:
- Opp Turnovers (Opp Turnovers): Currently ranked 313 of 365 in D1. Trending down moderately 🔴.
- Def Reb Pct (Defensive Rebounding): Currently ranked 18 of 365 in D1. Trending up moderately 🟢.
William & Mary
Record: 18-11 | Elo: 1517.0 (ranked 165 of 365) | Efficiency Margin: +0.65 (ranked 156 of 365)
Offensive Trends:
- Turnovers (Turnovers): Currently ranked 203 of 365 in D1. Trending down strongly 🟢.
- Off Reb Pct (Offensive Rebounding): Currently ranked 324 of 365 in D1. Trending down strongly 🔴.
Defensive Trends:
- Opp Shooting (Opp Shooting): Currently ranked 215 of 365 in D1. Trending up strongly 🔴.
- Def Reb Pct (Defensive Rebounding): Currently ranked 248 of 365 in D1. Trending up strongly 🟢.

Figure 2: Offensive Four Factors comparison across Colonial teams. The radar chart shows each team’s shooting efficiency (eFG%), ball security (TOV%), offensive rebounding (OREB%), and free throw generation (FT Rate).

Figure 3: Defensive Four Factors comparison across Colonial teams. The radar chart shows each team’s opponent shooting defense (Opp eFG%), ball disruption (forcing TOV%), defensive rebounding (DREB%), and opponent free throw prevention (Opp FT Rate).

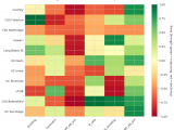
Figure 4: MACD trends heatmap showing which metrics are improving (green) or declining (red) for each team. Stronger colors indicate more pronounced trends.
Looking Ahead
Colonial Conference Week 17 Analysis: Key Trends to Watch
As the Colonial teams conclude their Week 17 season, several key trends emerge from the data, providing valuable insights into which teams are genuinely improving and those that may be experiencing unsustainable momentum.
Offensive Trends
Charleston stands out for its significant improvement in turnover efficiency (Season Avg: -0.15, Trend: Down, Strength: Strongly), with a trend of decreasing turnovers, indicating the team is making strides in ball control and minimizing mistakes on offense. This decline suggests that Charleston’s coaching staff has implemented effective strategies to reduce turnovers.
Drexel’s Off Reb Pct (Season Avg: 0.285, Trend: Down, Strength: Strongly) is a concerning trend, as the team is struggling to secure rebounds on offense, which could be a weakness in its overall performance.
Elon’s shooting percentage has increased (Season Avg: 0.53, Trend: Up, Strength: Strongly), indicating a slight improvement in scoring efficiency.
Defensive Trends
Charleston’s defensive performance stands out for its improvement in two key areas. The team is trending down strongly in Def Reb Pct (Season Avg: 0.7170000000000001, Trend: Down, Strength: Strongly), indicating a significant increase in defensive rebounding efficiency.
Elon’s trend in Def Reb Pct (Season Avg: 0.682, Trend: Down, Strength: Strongly) is a decline in defensive rebounding efficiency, which could be an area of concern for the team.
Charleston’s MACD stands out for its strong upward trend, suggesting the team’s momentum is increasing. This trend will be essential to monitor as the Colonial teams continue their season.
Metrics Glossary
Four Factors (Dean Oliver’s framework for basketball success):
- eFG% (Effective Field Goal %): Field goal percentage adjusted for 3-pointers being worth more (FGM + 0.5×3PM) / FGA. Higher is better offensively, lower is better defensively.
- TOV% (Turnover Rate): Turnovers per 100 possessions. Lower is better offensively (taking care of the ball), higher is better defensively (forcing turnovers).
- OREB% / DREB% (Offensive/Defensive Rebound Rate): Percentage of available rebounds grabbed. Offensive rebounds create second-chance points; defensive rebounds end opponent possessions.
- FTR (Free Throw Rate): Free throws made per field goal attempt (FTM/FGA). Measures ability to get to the line AND convert. Higher is better offensively, lower is better defensively.
Other Metrics:
- Elo Rating: Chess-style rating system that updates based on game results and opponent strength. Higher Elo indicates stronger team.
- Efficiency Margin: Point differential per 100 possessions (Offensive Efficiency – Defensive Efficiency). Accounts for pace of play.
- MACD (Moving Average Convergence Divergence): Trend indicator comparing 12-game and 26-game exponential moving averages. Positive MACD = improving trend, Negative MACD = declining trend.
Analysis powered by HoopSci’s advanced metrics and MACD trending indicators.

