Northeast Update: Week 17

Northeast Update: Week 17

March 2, 2026 0 By Neill White

Strongest Offensive Trends

  1. Brooklyn, Off Reb Pct, Down, Trend Strength: -0.024 – Brooklyn’s struggles on the glass, particularly evident in their defensive rebounding issues, pose a significant problem for their offense.
  2. Brooklyn, Shooting, Up, Trend Strength: 0.023 – While Brooklyn’s persistent struggle with shooting has been a thorn in the side of their opponents, it hasn’t necessarily translated into overall success on the court.
  3. Le Moyne, Off Reb Pct, Down, Trend Strength: -0.023 – Le Moyne’s struggles on both ends of the floor have worsened as the season progresses, with its inability to secure key rebounds posing a significant problem in maintaining possession and creating scoring opportunities.
  4. Stonehill, Turnovers, Down, Trend Strength: -0.017 – Stonehill’s reduced turnover rate has enabled them to maintain possession and create more scoring opportunities on offense, contributing to their improved performance.
  5. Chicago State, Turnovers, Down, Trend Strength: -0.009 – Chicago State’s marked improvement in their ability to control possession has been a key factor in their steady performance, as they have reduced turnovers and demonstrated greater ball control throughout conference play.

Strongest Defensive Trends

  1. Fair Dickinson, Def Reb Pct, Up, Trend Strength: 0.023 – Fair Dickinson’s improvement in defensive rebounding has allowed them to secure rebounds and limit opponents’ scoring opportunities, while also capitalizing on their own second-chance scoring chances after gaining possession of the ball following an opponent’s missed shot.
  2. Fair Dickinson, Opp Shooting, Up, Trend Strength: 0.018 – Fair Dickinson’s defense has been plagued by a persistent issue of allowing opponents to convert field goals at an increasing rate, posing a significant challenge for the team to overcome.
  3. Wagner, Opp Shooting, Down, Trend Strength: -0.015 – Wagner’s previously solid defense faces a challenge on the road due to its struggle against teams like UCLA and Texas, which have improved their scoring efficiency in games played at Wagner, presenting a problem for Wagner’s stifling unit.
  4. Stonehill, Opp Shooting, Down, Trend Strength: -0.013 – Stonehill’s defense faces a growing problem as its opponents have successfully made 20 more shots this season, putting pressure on its ability to maintain strong rebounding performance.
  5. Fair Dickinson, Opp Turnovers, Down, Trend Strength: -0.008 – Fair Dickinson’s defensive strategy is struggling due to opponents’ increasing ability to limit turnovers, specifically by allowing fewer of them.


Figure 1: Efficiency margin trends for Northeast teams throughout the season. Teams trending upward show improving performance, while downward trends indicate struggles.

Conference Snapshot


Team-by-Team Analysis

Brooklyn

Record: 21-10 | Elo: 1527.8 (ranked 146 of 365) | Efficiency Margin: -0.43 (ranked 161 of 365)

Offensive Trends:

  • Shooting (Shooting): Currently ranked 107 of 365 in D1. Trending up strongly 🟢.
  • Off Reb Pct (Offensive Rebounding): Currently ranked 44 of 365 in D1. Trending down strongly 🔴.

Defensive Trends:

  • Opp Turnovers (Opp Turnovers): Currently ranked 63 of 365 in D1. Trending up moderately 🟢.
  • Opp Shooting (Opp Shooting): Currently ranked 102 of 365 in D1. Trending down weakly 🟢.

Cent Conn St

Record: 18-11 | Elo: 1537.7 (ranked 131 of 365) | Efficiency Margin: -10.88 (ranked 261 of 365)

Offensive Trends:

  • Turnovers (Turnovers): Currently ranked 168 of 365 in D1. Trending up moderately 🔴.
  • Off Reb Pct (Offensive Rebounding): Currently ranked 278 of 365 in D1. Trending down moderately 🔴.

Defensive Trends:

  • Opp Turnovers (Opp Turnovers): Currently ranked 326 of 365 in D1. Trending down moderately 🔴.
  • Opp Shooting (Opp Shooting): Currently ranked 106 of 365 in D1. Trending down weakly 🟢.

Chicago State

Record: 7-24 | Elo: 1303.7 (ranked 360 of 365) | Efficiency Margin: -23.37 (ranked 344 of 365)

Offensive Trends:

  • Turnovers (Turnovers): Currently ranked 55 of 365 in D1. Trending down strongly 🟢.
  • Shooting (Shooting): Currently ranked 357 of 365 in D1. Trending up weakly 🟢.

Defensive Trends:

  • Opp Shooting (Opp Shooting): Currently ranked 348 of 365 in D1. Trending down moderately 🟢.
  • Opp Turnovers (Opp Turnovers): Currently ranked 23 of 365 in D1. Trending up moderately 🟢.

Fair Dickinson

Record: 11-20 | Elo: 1363.2 (ranked 331 of 365) | Efficiency Margin: -20.21 (ranked 326 of 365)

Offensive Trends:

  • Turnovers (Turnovers): Currently ranked 236 of 365 in D1. Trending up moderately 🔴.
  • Off Reb Pct (Offensive Rebounding): Currently ranked 136 of 365 in D1. Trending down moderately 🔴.

Defensive Trends:

  • Opp Shooting (Opp Shooting): Currently ranked 331 of 365 in D1. Trending up strongly 🔴.
  • Opp Turnovers (Opp Turnovers): Currently ranked 217 of 365 in D1. Trending down strongly 🔴.

Le Moyne

Record: 15-16 | Elo: 1410.3 (ranked 294 of 365) | Efficiency Margin: -8.56 (ranked 243 of 365)

Offensive Trends:

  • Off Reb Pct (Offensive Rebounding): Currently ranked 342 of 365 in D1. Trending down strongly 🔴.
  • Shooting (Shooting): Currently ranked 84 of 365 in D1. Trending down weakly 🔴.

Defensive Trends:

  • Def Reb Pct (Defensive Rebounding): Currently ranked 177 of 365 in D1. Trending up strongly 🟢.
  • Opp Shooting (Opp Shooting): Currently ranked 66 of 365 in D1. Trending down moderately 🟢.

Mercyhurst

Record: 15-16 | Elo: 1449.2 (ranked 247 of 365) | Efficiency Margin: -7.72 (ranked 230 of 365)

Offensive Trends:

  • Turnovers (Turnovers): Currently ranked 26 of 365 in D1. Trending down strongly 🟢.
  • Shooting (Shooting): Currently ranked 271 of 365 in D1. Trending down weakly 🔴.

Defensive Trends:

  • Opp Turnovers (Opp Turnovers): Currently ranked 47 of 365 in D1. Trending down moderately 🔴.
  • Opp Shooting (Opp Shooting): Currently ranked 122 of 365 in D1. Trending up weakly 🔴.

New Haven

Record: 14-17 | Elo: 1418.3 (ranked 282 of 365) | Efficiency Margin: -16.15 (ranked 303 of 365)

Offensive Trends:

  • Turnovers (Turnovers): Currently ranked 225 of 365 in D1. Trending down strongly 🟢.
  • Off Reb Pct (Offensive Rebounding): Currently ranked 365 of 365 in D1. Trending down moderately 🔴.

Defensive Trends:

  • Opp Shooting (Opp Shooting): Currently ranked 1 of 365 in D1. Trending down strongly 🟢.
  • Opp Turnovers (Opp Turnovers): Currently ranked 253 of 365 in D1. Trending down strongly 🔴.

St Francis (PA)

Record: 7-24 | Elo: 1321.7 (ranked 354 of 365) | Efficiency Margin: -26.03 (ranked 351 of 365)

Offensive Trends:

  • Shooting (Shooting): Currently ranked 284 of 365 in D1. Trending up weakly 🟢.
  • Turnovers (Turnovers): Currently ranked 270 of 365 in D1. Trending up weakly 🔴.

Defensive Trends:

  • Opp Shooting (Opp Shooting): Currently ranked 364 of 365 in D1. Trending up moderately 🔴.
  • Opp Turnovers (Opp Turnovers): Currently ranked 80 of 365 in D1. Trending down moderately 🔴.

Stonehill

Record: 10-20 | Elo: 1360.0 (ranked 335 of 365) | Efficiency Margin: -17.51 (ranked 311 of 365)

Offensive Trends:

  • Turnovers (Turnovers): Currently ranked 321 of 365 in D1. Trending down strongly 🟢.
  • Off Reb Pct (Offensive Rebounding): Currently ranked 242 of 365 in D1. Trending down moderately 🔴.

Defensive Trends:

  • Opp Shooting (Opp Shooting): Currently ranked 54 of 365 in D1. Trending down strongly 🟢.
  • Opp Turnovers (Opp Turnovers): Currently ranked 356 of 365 in D1. Trending down weakly 🔴.

Wagner

Record: 11-15 | Elo: 1415.7 (ranked 285 of 365) | Efficiency Margin: -15.64 (ranked 299 of 365)

Offensive Trends:

  • Shooting (Shooting): Currently ranked 261 of 365 in D1. Trending up moderately 🟢.
  • Turnovers (Turnovers): Currently ranked 299 of 365 in D1. Trending up moderately 🔴.

Defensive Trends:

  • Opp Shooting (Opp Shooting): Currently ranked 173 of 365 in D1. Trending down strongly 🟢.
  • Opp Turnovers (Opp Turnovers): Currently ranked 288 of 365 in D1. Trending down moderately 🔴.


Figure 2: Offensive Four Factors comparison across Northeast teams. The radar chart shows each team’s shooting efficiency (eFG%), ball security (TOV%), offensive rebounding (OREB%), and free throw generation (FT Rate).


Figure 3: Defensive Four Factors comparison across Northeast teams. The radar chart shows each team’s opponent shooting defense (Opp eFG%), ball disruption (forcing TOV%), defensive rebounding (DREB%), and opponent free throw prevention (Opp FT Rate).


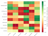
Figure 4: MACD trends heatmap showing which metrics are improving (green) or declining (red) for each team. Stronger colors indicate more pronounced trends.


Looking Ahead

Northeast Teams’ Key Trends to Watch in Week 17 Analysis

As we conclude our Week 17 analysis of the Northeast, several teams have showcased notable trends that warrant attention. Our data-driven insights highlight areas of improvement and decline for each team.

Brooklyn’s Mixed Bag

On the offensive front, Brooklyn is experiencing a significant increase in shooting efficiency (Trend: Up, Strength: Strongly), with an improving rate from 43% to 45%. However, on the defensive glass, Brooklyn’s off-rebounding percentage has seen a notable decline (Trend: Down, Strength: Strongly), indicating a worsening trend that will need to be addressed.

Stonehill’s Defensive Efficiency

Meanwhile, Stonehill is demonstrating a marked improvement in turnovers per game (Season Avg: 0.178), trending downward strongly. This reduction suggests that the team is becoming more effective at managing possessions and limiting mistakes on both ends of the court.

Fair Dickinson’s Concerns

Fair Dickinson’s defense has been inconsistent, with an upward trend in opponents’ shooting efficiency (Trend: Down, Strength: Strongly). However, this increase indicates a decline in defensive performance, as they’re allowing their opponents to score more efficiently. On a positive note, Fair Dickinson is improving its defensive rebounding percentage.

Wagner’s Defensive Upsurge

In contrast, Wagner has shown improvement on defense by experiencing a downward trend in opponents’ shooting efficiency (Trend: Down, Strength: Strongly). This change reflects a more effective defensive strategy, allowing them to contain their opponents and hold onto leads.


Metrics Glossary

Four Factors (Dean Oliver’s framework for basketball success):

  • eFG% (Effective Field Goal %): Field goal percentage adjusted for 3-pointers being worth more (FGM + 0.5×3PM) / FGA. Higher is better offensively, lower is better defensively.
  • TOV% (Turnover Rate): Turnovers per 100 possessions. Lower is better offensively (taking care of the ball), higher is better defensively (forcing turnovers).
  • OREB% / DREB% (Offensive/Defensive Rebound Rate): Percentage of available rebounds grabbed. Offensive rebounds create second-chance points; defensive rebounds end opponent possessions.
  • FTR (Free Throw Rate): Free throws made per field goal attempt (FTM/FGA). Measures ability to get to the line AND convert. Higher is better offensively, lower is better defensively.

Other Metrics:

  • Elo Rating: Chess-style rating system that updates based on game results and opponent strength. Higher Elo indicates stronger team.
  • Efficiency Margin: Point differential per 100 possessions (Offensive Efficiency – Defensive Efficiency). Accounts for pace of play.
  • MACD (Moving Average Convergence Divergence): Trend indicator comparing 12-game and 26-game exponential moving averages. Positive MACD = improving trend, Negative MACD = declining trend.

Analysis powered by HoopSci’s advanced metrics and MACD trending indicators.