SWAC Update: Week 17

SWAC Update: Week 17

March 2, 2026 0 By Neill White

Strongest Offensive Trends

  1. Alabama A&M, Off Reb Pct, Down, Trend Strength: -0.028 – Alabama A&M’s inability to secure defensive boards hampers their ability to limit second-chance opportunities, contributing to issues with rebounding dominance.
  2. Alabama A&M, Shooting, Up, Trend Strength: 0.023 – Alabama A&M has shown a steady growth in their shooting performance, with an increasing proficiency in converting shots from beyond the arc as the season progresses.
  3. Jackson State, Off Reb Pct, Up, Trend Strength: 0.023 – Jackson State’s offensive rebounding has been a notable struggle, with their own efforts resulting in numerous shots, contributing to enhanced scoring opportunities.
  4. Alabama A&M, Turnovers, Down, Trend Strength: -0.01 – Alabama A&M’s pass completion percentage has declined, resulting in decreased possession time and reduced scoring opportunities for the team.
  5. Alcorn State, Turnovers, Down, Trend Strength: -0.009 – Alcorn State’s reduction in turnovers has enabled them to maintain possession and capitalize on scoring opportunities, ultimately contributing to their improved overall performance.

Strongest Defensive Trends

  1. Alabama State, Def Reb Pct, Up, Trend Strength: 0.018 – Alabama State’s defense continues to struggle with securing defensive rebounds, a challenge that plagues its overall performance as it adapts by grabbing more boards in an effort to overcome stifling opponent ball control.
  2. Jackson State, Def Reb Pct, Down, Trend Strength: -0.017 – Jackson State’s defensive rebounding struggles have hindered their scoring chances by allowing opponents to dominate on the boards, stifling their own offense.
  3. Miss Valley St, Opp Shooting, Down, Trend Strength: -0.017 – Miss Valley St’s defense is struggling to contain outside threats, as their opponents have been shooting from beyond the arc at a higher rate.
  4. Alabama A&M, Opp Turnovers, Down, Trend Strength: -0.009 – Alabama A&M’s inability to pressure opponents into mistakes has become a concerning trend as the team struggles consistently disrupt opposing offenses, with their lack of ability to force turnovers over time being a growing concern.
  5. Grambling, Opp Turnovers, Up, Trend Strength: 0.008 – Grambling’s defense has been struggling to contain opponents’ offenses, with a notable trend of forced turnovers that have hindered its overall performance.


Figure 1: Efficiency margin trends for SWAC teams throughout the season. Teams trending upward show improving performance, while downward trends indicate struggles.

Conference Snapshot


Team-by-Team Analysis

AR-Pine Bluff

Record: 10-17 | Elo: 1337.7 (ranked 344 of 365) | Efficiency Margin: -26.61 (ranked 352 of 365)

Offensive Trends:

  • Turnovers (Turnovers): Currently ranked 333 of 365 in D1. Trending down moderately 🟢.
  • Shooting (Shooting): Currently ranked 256 of 365 in D1. Trending up weakly 🟢.

Defensive Trends:

  • Opp Turnovers (Opp Turnovers): Currently ranked 186 of 365 in D1. Trending up moderately 🟢.
  • Def Reb Pct (Defensive Rebounding): Currently ranked 342 of 365 in D1. Trending up moderately 🟢.

Alabama A&M

Record: 16-13 | Elo: 1397.3 (ranked 308 of 365) | Efficiency Margin: -22.06 (ranked 338 of 365)

Offensive Trends:

  • Shooting (Shooting): Currently ranked 279 of 365 in D1. Trending up strongly 🟢.
  • Turnovers (Turnovers): Currently ranked 199 of 365 in D1. Trending down strongly 🟢.

Defensive Trends:

  • Opp Turnovers (Opp Turnovers): Currently ranked 193 of 365 in D1. Trending down strongly 🔴.
  • Opp Shooting (Opp Shooting): Currently ranked 226 of 365 in D1. Trending up moderately 🔴.

Alabama State

Record: 10-19 | Elo: 1412.0 (ranked 293 of 365) | Efficiency Margin: -20.83 (ranked 330 of 365)

Offensive Trends:

  • Shooting (Shooting): Currently ranked 319 of 365 in D1. Trending up moderately 🟢.
  • Turnovers (Turnovers): Currently ranked 306 of 365 in D1. Trending down moderately 🟢.

Defensive Trends:

  • Def Reb Pct (Defensive Rebounding): Currently ranked 261 of 365 in D1. Trending up strongly 🟢.
  • Opp Turnovers (Opp Turnovers): Currently ranked 58 of 365 in D1. Trending down moderately 🔴.

Alcorn State

Record: 7-21 | Elo: 1378.7 (ranked 319 of 365) | Efficiency Margin: -29.21 (ranked 358 of 365)

Offensive Trends:

  • Turnovers (Turnovers): Currently ranked 337 of 365 in D1. Trending down strongly 🟢.
  • Off Reb Pct (Offensive Rebounding): Currently ranked 287 of 365 in D1. Trending down moderately 🔴.

Defensive Trends:

  • Opp Shooting (Opp Shooting): Currently ranked 346 of 365 in D1. Trending down moderately 🟢.
  • Opp Turnovers (Opp Turnovers): Currently ranked 85 of 365 in D1. Trending up weakly 🟢.

Bethune-Cookman

Record: 17-13 | Elo: 1520.1 (ranked 161 of 365) | Efficiency Margin: -12.14 (ranked 270 of 365)

Offensive Trends:

  • Shooting (Shooting): Currently ranked 183 of 365 in D1. Trending up strongly 🟢.
  • Turnovers (Turnovers): Currently ranked 317 of 365 in D1. Trending up moderately 🔴.

Defensive Trends:

  • Opp Shooting (Opp Shooting): Currently ranked 89 of 365 in D1. Trending down moderately 🟢.
  • Opp Turnovers (Opp Turnovers): Currently ranked 224 of 365 in D1. Trending down weakly 🔴.

Florida A&M

Record: 11-15 | Elo: 1415.3 (ranked 286 of 365) | Efficiency Margin: -24.98 (ranked 347 of 365)

Offensive Trends:

  • Off Reb Pct (Offensive Rebounding): Currently ranked 159 of 365 in D1. Trending up strongly 🟢.
  • Shooting (Shooting): Currently ranked 267 of 365 in D1. Trending up weakly 🟢.

Defensive Trends:

  • Opp Shooting (Opp Shooting): Currently ranked 186 of 365 in D1. Trending down strongly 🟢.
  • Def Reb Pct (Defensive Rebounding): Currently ranked 175 of 365 in D1. Trending up moderately 🟢.

Grambling

Record: 12-17 | Elo: 1377.7 (ranked 321 of 365) | Efficiency Margin: -18.39 (ranked 320 of 365)

Offensive Trends:

  • Shooting (Shooting): Currently ranked 282 of 365 in D1. Trending down moderately 🔴.
  • Turnovers (Turnovers): Currently ranked 361 of 365 in D1. Trending up moderately 🔴.

Defensive Trends:

  • Opp Turnovers (Opp Turnovers): Currently ranked 17 of 365 in D1. Trending up strongly 🟢.
  • Opp Shooting (Opp Shooting): Currently ranked 160 of 365 in D1. Trending up weakly 🔴.

Jackson State

Record: 9-20 | Elo: 1417.6 (ranked 284 of 365) | Efficiency Margin: -34.40 (ranked 362 of 365)

Offensive Trends:

  • Off Reb Pct (Offensive Rebounding): Currently ranked 253 of 365 in D1. Trending up strongly 🟢.
  • Shooting (Shooting): Currently ranked 356 of 365 in D1. Trending down moderately 🔴.

Defensive Trends:

  • Def Reb Pct (Defensive Rebounding): Currently ranked 361 of 365 in D1. Trending down strongly 🔴.
  • Opp Shooting (Opp Shooting): Currently ranked 257 of 365 in D1. Trending down moderately 🟢.

Miss Valley St

Record: 3-27 | Elo: 1172.0 (ranked 370 of 365) | Efficiency Margin: -42.65 (ranked 365 of 365)

Offensive Trends:

  • Shooting (Shooting): Currently ranked 360 of 365 in D1. Trending up moderately 🟢.
  • Turnovers (Turnovers): Currently ranked 359 of 365 in D1. Trending down moderately 🟢.

Defensive Trends:

  • Opp Shooting (Opp Shooting): Currently ranked 341 of 365 in D1. Trending down strongly 🟢.
  • Opp Turnovers (Opp Turnovers): Currently ranked 121 of 365 in D1. Trending up strongly 🟢.

PV A&M

Record: 13-17 | Elo: 1331.1 (ranked 349 of 365) | Efficiency Margin: -22.11 (ranked 339 of 365)

Offensive Trends:

  • Off Reb Pct (Offensive Rebounding): Currently ranked 311 of 365 in D1. Trending up moderately 🟢.
  • Shooting (Shooting): Currently ranked 330 of 365 in D1. Trending down weakly 🔴.

Defensive Trends:

  • Opp Shooting (Opp Shooting): Currently ranked 237 of 365 in D1. Trending down strongly 🟢.
  • Def Reb Pct (Defensive Rebounding): Currently ranked 343 of 365 in D1. Trending up strongly 🟢.

Southern

Record: 13-16 | Elo: 1451.1 (ranked 245 of 365) | Efficiency Margin: -19.83 (ranked 325 of 365)

Offensive Trends:

  • Off Reb Pct (Offensive Rebounding): Currently ranked 149 of 365 in D1. Trending down strongly 🔴.
  • Shooting (Shooting): Currently ranked 294 of 365 in D1. Trending up moderately 🟢.

Defensive Trends:

  • Def Reb Pct (Defensive Rebounding): Currently ranked 296 of 365 in D1. Trending down moderately 🔴.
  • Opp Shooting (Opp Shooting): Currently ranked 276 of 365 in D1. Trending up weakly 🔴.

Texas Southern

Record: 11-16 | Elo: 1429.9 (ranked 270 of 365) | Efficiency Margin: -21.78 (ranked 336 of 365)

Offensive Trends:

  • Shooting (Shooting): Currently ranked 207 of 365 in D1. Trending up strongly 🟢.
  • Off Reb Pct (Offensive Rebounding): Currently ranked 244 of 365 in D1. Trending up moderately 🟢.

Defensive Trends:

  • Opp Shooting (Opp Shooting): Currently ranked 228 of 365 in D1. Trending down strongly 🟢.
  • Opp Turnovers (Opp Turnovers): Currently ranked 191 of 365 in D1. Trending down moderately 🔴.


Figure 2: Offensive Four Factors comparison across SWAC teams. The radar chart shows each team’s shooting efficiency (eFG%), ball security (TOV%), offensive rebounding (OREB%), and free throw generation (FT Rate).


Figure 3: Defensive Four Factors comparison across SWAC teams. The radar chart shows each team’s opponent shooting defense (Opp eFG%), ball disruption (forcing TOV%), defensive rebounding (DREB%), and opponent free throw prevention (Opp FT Rate).


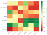
Figure 4: MACD trends heatmap showing which metrics are improving (green) or declining (red) for each team. Stronger colors indicate more pronounced trends.


Looking Ahead

SWAC Week 17 Analysis

As the Southwestern Athletic Conference (SWAC) continues its season, a closer look at key trends reveals some fascinating storylines. Our analysis focuses on Alabama A&M’s rebounding struggles, Alcorn State’s improved defensive efficiency, and Grambling’s increased ability to force turnovers.

On the offensive front, Alabama A&M is struggling in terms of shooting efficiency. This decline has negatively impacted their overall performance. Conversely, the team has seen a decrease in turnovers, which indicates better ball handling and decision-making on offense. Additionally, Alabama A&M is experiencing difficulties with rebounds, as they trend downward in Offense Rebound Percentage (ORP).

However, there are signs that Alcorn State has made notable progress in reducing turnovers. Specifically, Alcorn State is experiencing a decrease in turnover rate.

On the defensive side, several teams have shown significant improvements. Grambling, for instance, is forcing more turnovers from their opponents. This change could be indicative of a stronger defensive mindset and better anticipation. Grambling’s Forced Turnover Percentage has increased, which is a positive development for the team.

Alabama State has also made strides on defense, boasting an impressive Defensive Rebound Percentage (DRP). The trend in MACD momentum indicator provides a comprehensive view of these trends, representing the average difference between each team’s win/loss record and their standard score in each matchup.


Metrics Glossary

Four Factors (Dean Oliver’s framework for basketball success):

  • eFG% (Effective Field Goal %): Field goal percentage adjusted for 3-pointers being worth more (FGM + 0.5×3PM) / FGA. Higher is better offensively, lower is better defensively.
  • TOV% (Turnover Rate): Turnovers per 100 possessions. Lower is better offensively (taking care of the ball), higher is better defensively (forcing turnovers).
  • OREB% / DREB% (Offensive/Defensive Rebound Rate): Percentage of available rebounds grabbed. Offensive rebounds create second-chance points; defensive rebounds end opponent possessions.
  • FTR (Free Throw Rate): Free throws made per field goal attempt (FTM/FGA). Measures ability to get to the line AND convert. Higher is better offensively, lower is better defensively.

Other Metrics:

  • Elo Rating: Chess-style rating system that updates based on game results and opponent strength. Higher Elo indicates stronger team.
  • Efficiency Margin: Point differential per 100 possessions (Offensive Efficiency – Defensive Efficiency). Accounts for pace of play.
  • MACD (Moving Average Convergence Divergence): Trend indicator comparing 12-game and 26-game exponential moving averages. Positive MACD = improving trend, Negative MACD = declining trend.

Analysis powered by HoopSci’s advanced metrics and MACD trending indicators.