Atlantic 10 Update: Week 18
March 10, 2026Strongest Offensive Trends
- URI, Shooting, Down, Trend Strength: -0.026 – The University of Rhode Island’s subpar shooting accuracy is hindering their offense.
- Duquesne, Shooting, Down, Trend Strength: -0.022 – Duquesne’s three-point shooting has been struggling with a consistently declining trend, posing a significant challenge to their field goal percentage and overall offense.
- Fordham, Off Reb Pct, Down, Trend Strength: -0.02 – Fordham’s inability to capitalize on its missed shots has become a significant issue contributing to their scoring struggle.
- La Salle, Turnovers, Down, Trend Strength: -0.009 – La Salle’s persistent turnover issue has hindered their performance by making it difficult for them to maintain possession and capitalize on scoring opportunities, contributing to their overall woes.
- Dayton, Turnovers, Up, Trend Strength: 0.008 – Dayton’s persistent struggles with turnovers are hindering their ability to execute plays effectively, contributing to disappointing losses and inconsistent performance on the court.
Strongest Defensive Trends
- Duquesne, Opp Shooting, Up, Trend Strength: 0.025 – Duquesne’s struggles to contain opponents’ three-point shooting have become a persistent problem, hindering their defensive efforts and contributing to issues stifling their performance against outside threats in games where they allowed over 35% of attempts from beyond the arc.
- Davidson, Opp Shooting, Down, Trend Strength: -0.018 – Davidson’s struggles to prevent their opponents from converting at the free throw line have become a significant challenge for the Wildcats.
- George Mason, Opp Turnovers, Down, Trend Strength: -0.012 – George Mason’s inability to consistently disrupt offenses has led to opponents maintaining possession for extended periods over their last five matches, creating challenges for the team’s defensive strategy.
- Fordham, Opp Turnovers, Up, Trend Strength: 0.011 – Fordham’s defense has been struggling to contain opposing teams’ ball possession, a problem linked to its decreased ability to force turnovers and limit scoring chances.
- Dayton, Opp Turnovers, Down, Trend Strength: -0.01 – The Dayton team’s defensive strategy has started to lose some steam as it allows opponents to hold onto the ball with more frequency, posing a challenge to their overall performance.

Figure 1: Efficiency margin trends for Atlantic 10 teams throughout the season. Teams trending upward show improving performance, while downward trends indicate struggles.
Conference Snapshot
- Week Dates: March 02 – March 08, 2026
- Trending Up (Efficiency): Dayton, George Mason, Richmond, Saint Joe’s, Loyola-Chicago
- Trending Down (Efficiency): Davidson, Duquesne, Fordham, G Washington, La Salle
Team-by-Team Analysis
Davidson
Record: 19-12 | Elo: 1535.3 (ranked 136 of 365) | Efficiency Margin: +7.30 (ranked 96 of 365)
Offensive Trends:
- Shooting (Shooting): Currently ranked 115 of 365 in D1. Trending down moderately 🔴.
- Turnovers (Turnovers): Currently ranked 135 of 365 in D1. Trending down moderately 🟢.
Defensive Trends:
- Opp Shooting (Opp Shooting): Currently ranked 124 of 365 in D1. Trending down strongly 🟢.
- Opp Turnovers (Opp Turnovers): Currently ranked 121 of 365 in D1. Trending down weakly 🔴.
Dayton
Record: 21-10 | Elo: 1646.2 (ranked 48 of 365) | Efficiency Margin: +12.54 (ranked 69 of 365)
Offensive Trends:
- Turnovers (Turnovers): Currently ranked 239 of 365 in D1. Trending up strongly 🔴.
- Shooting (Shooting): Currently ranked 123 of 365 in D1. Trending up moderately 🟢.
Defensive Trends:
- Opp Turnovers (Opp Turnovers): Currently ranked 7 of 365 in D1. Trending down strongly 🔴.
- Def Reb Pct (Defensive Rebounding): Currently ranked 144 of 365 in D1. Trending up moderately 🟢.
Duquesne
Record: 17-14 | Elo: 1518.5 (ranked 161 of 365) | Efficiency Margin: +2.91 (ranked 131 of 365)
Offensive Trends:
- Shooting (Shooting): Currently ranked 125 of 365 in D1. Trending down strongly 🔴.
- Off Reb Pct (Offensive Rebounding): Currently ranked 184 of 365 in D1. Trending down moderately 🔴.
Defensive Trends:
- Opp Shooting (Opp Shooting): Currently ranked 253 of 365 in D1. Trending up strongly 🔴.
- Opp Turnovers (Opp Turnovers): Currently ranked 67 of 365 in D1. Trending up moderately 🟢.
Fordham
Record: 16-14 | Elo: 1473.0 (ranked 223 of 365) | Efficiency Margin: +3.25 (ranked 129 of 365)
Offensive Trends:
- Off Reb Pct (Offensive Rebounding): Currently ranked 37 of 365 in D1. Trending down strongly 🔴.
- Shooting (Shooting): Currently ranked 297 of 365 in D1. Trending down moderately 🔴.
Defensive Trends:
- Opp Turnovers (Opp Turnovers): Currently ranked 128 of 365 in D1. Trending up strongly 🟢.
- Def Reb Pct (Defensive Rebounding): Currently ranked 44 of 365 in D1. Trending down moderately 🔴.
G Washington
Record: 17-14 | Elo: 1521.2 (ranked 152 of 365) | Efficiency Margin: +10.93 (ranked 80 of 365)
Offensive Trends:
- Shooting (Shooting): Currently ranked 41 of 365 in D1. Trending down moderately 🔴.
- Off Reb Pct (Offensive Rebounding): Currently ranked 16 of 365 in D1. Trending up moderately 🟢.
Defensive Trends:
- Opp Turnovers (Opp Turnovers): Currently ranked 100 of 365 in D1. Trending up moderately 🟢.
- Def Reb Pct (Defensive Rebounding): Currently ranked 131 of 365 in D1. Trending up moderately 🟢.
George Mason
Record: 23-8 | Elo: 1638.0 (ranked 52 of 365) | Efficiency Margin: +10.42 (ranked 83 of 365)
Offensive Trends:
- Shooting (Shooting): Currently ranked 110 of 365 in D1. Trending up weakly 🟢.
- Turnovers (Turnovers): Currently ranked 148 of 365 in D1. Trending down weakly 🟢.
Defensive Trends:
- Opp Turnovers (Opp Turnovers): Currently ranked 245 of 365 in D1. Trending down strongly 🔴.
- Opp Shooting (Opp Shooting): Currently ranked 83 of 365 in D1. Trending up weakly 🔴.
La Salle
Record: 9-22 | Elo: 1408.4 (ranked 295 of 365) | Efficiency Margin: -9.30 (ranked 244 of 365)
Offensive Trends:
- Turnovers (Turnovers): Currently ranked 295 of 365 in D1. Trending down strongly 🟢.
- Shooting (Shooting): Currently ranked 352 of 365 in D1. Trending down weakly 🔴.
Defensive Trends:
- Opp Shooting (Opp Shooting): Currently ranked 312 of 365 in D1. Trending up moderately 🔴.
- Opp Turnovers (Opp Turnovers): Currently ranked 160 of 365 in D1. Trending down moderately 🔴.
Loyola-Chicago
Record: 8-23 | Elo: 1460.0 (ranked 238 of 365) | Efficiency Margin: -13.09 (ranked 279 of 365)
Offensive Trends:
- Off Reb Pct (Offensive Rebounding): Currently ranked 195 of 365 in D1. Trending down strongly 🔴.
- Shooting (Shooting): Currently ranked 255 of 365 in D1. Trending up moderately 🟢.
Defensive Trends:
- Def Reb Pct (Defensive Rebounding): Currently ranked 167 of 365 in D1. Trending up moderately 🟢.
- Opp Shooting (Opp Shooting): Currently ranked 227 of 365 in D1. Trending down weakly 🟢.
Richmond
Record: 15-16 | Elo: 1451.2 (ranked 247 of 365) | Efficiency Margin: +3.63 (ranked 125 of 365)
Offensive Trends:
- Off Reb Pct (Offensive Rebounding): Currently ranked 335 of 365 in D1. Trending down strongly 🔴.
- Shooting (Shooting): Currently ranked 119 of 365 in D1. Trending up moderately 🟢.
Defensive Trends:
- Opp Turnovers (Opp Turnovers): Currently ranked 112 of 365 in D1. Trending up moderately 🟢.
- Def Reb Pct (Defensive Rebounding): Currently ranked 248 of 365 in D1. Trending down moderately 🔴.
Saint Joe’s
Record: 21-10 | Elo: 1612.5 (ranked 64 of 365) | Efficiency Margin: +6.56 (ranked 98 of 365)
Offensive Trends:
- Shooting (Shooting): Currently ranked 274 of 365 in D1. Trending up strongly 🟢.
- Off Reb Pct (Offensive Rebounding): Currently ranked 138 of 365 in D1. Trending down strongly 🔴.
Defensive Trends:
- Opp Shooting (Opp Shooting): Currently ranked 28 of 365 in D1. Trending down strongly 🟢.
- Opp Turnovers (Opp Turnovers): Currently ranked 281 of 365 in D1. Trending down strongly 🔴.
Saint Louis
Record: 27-4 | Elo: 1664.5 (ranked 39 of 365) | Efficiency Margin: +22.30 (ranked 34 of 365)
Offensive Trends:
- Off Reb Pct (Offensive Rebounding): Currently ranked 125 of 365 in D1. Trending down strongly 🔴.
- Shooting (Shooting): Currently ranked 2 of 365 in D1. Trending down moderately 🔴.
Defensive Trends:
- Opp Shooting (Opp Shooting): Currently ranked 4 of 365 in D1. Trending up strongly 🔴.
- Def Reb Pct (Defensive Rebounding): Currently ranked 43 of 365 in D1. Trending down strongly 🔴.
St Bonaventure
Record: 15-16 | Elo: 1499.5 (ranked 188 of 365) | Efficiency Margin: +1.87 (ranked 144 of 365)
Offensive Trends:
- Shooting (Shooting): Currently ranked 131 of 365 in D1. Trending down moderately 🔴.
- Turnovers (Turnovers): Currently ranked 212 of 365 in D1. Trending up moderately 🔴.
Defensive Trends:
- Opp Turnovers (Opp Turnovers): Currently ranked 125 of 365 in D1. Trending down strongly 🔴.
- Opp Shooting (Opp Shooting): Currently ranked 300 of 365 in D1. Trending up weakly 🔴.
URI
Record: 16-15 | Elo: 1493.0 (ranked 196 of 365) | Efficiency Margin: +3.82 (ranked 124 of 365)
Offensive Trends:
- Shooting (Shooting): Currently ranked 250 of 365 in D1. Trending down strongly 🔴.
- Turnovers (Turnovers): Currently ranked 314 of 365 in D1. Trending up strongly 🔴.
Defensive Trends:
- Opp Shooting (Opp Shooting): Currently ranked 137 of 365 in D1. Trending down strongly 🟢.
- Opp Turnovers (Opp Turnovers): Currently ranked 7 of 365 in D1. Trending up strongly 🟢.
VCU
Record: 24-7 | Elo: 1711.7 (ranked 18 of 365) | Efficiency Margin: +18.30 (ranked 41 of 365)
Offensive Trends:
- Off Reb Pct (Offensive Rebounding): Currently ranked 63 of 365 in D1. Trending down strongly 🔴.
- Turnovers (Turnovers): Currently ranked 105 of 365 in D1. Trending down moderately 🟢.
Defensive Trends:
- Opp Turnovers (Opp Turnovers): Currently ranked 168 of 365 in D1. Trending down moderately 🔴.
- Opp Shooting (Opp Shooting): Currently ranked 69 of 365 in D1. Trending down weakly 🟢.

Figure 2: Offensive Four Factors comparison across Atlantic 10 teams. The radar chart shows each team’s shooting efficiency (eFG%), ball security (TOV%), offensive rebounding (OREB%), and free throw generation (FT Rate).

Figure 3: Defensive Four Factors comparison across Atlantic 10 teams. The radar chart shows each team’s opponent shooting defense (Opp eFG%), ball disruption (forcing TOV%), defensive rebounding (DREB%), and opponent free throw prevention (Opp FT Rate).

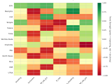
Figure 4: MACD trends heatmap showing which metrics are improving (green) or declining (red) for each team. Stronger colors indicate more pronounced trends.
Looking Ahead
Atlantic 10 Teams’ Key Trends in Week 18
As the Atlantic 10 continues its regular season, several teams have demonstrated notable trends that could impact their standing. By examining key offensive and defensive metrics, we can identify areas of improvement or decline.
Offensive Trends to Watch
- Dayton’s Turnover Problem: The Flyers’ turnover rate has been increasing, with a trend score of 8 and a strongly upward momentum indicator. This worsening trend suggests that Dayton may struggle to maintain possession on the court.
- Duquesne’s Shooting Slump: Duquesne’s shooting percentage has declined significantly, making it difficult for them to score points. This decline in ability to convert shots into points is a growing concern for the Dukes.
- Fordham’s Off-Rebound Woes: Fordham’s off-rebounding percentage has decreased, with a trend score of 8 and a strongly downward momentum indicator. This decline in ability to secure rebounds could hurt the Rams’ scoring opportunities.
Bright Spots: Duquesne’s Improvement
Davidson’s turnover rate has improved due to a decreasing value in their season average, suggesting that they are better at maintaining possession on the court.
Defensive Trends to Highlight
- Davidson’s Defensive Strides: The Wildcats have shown improvement on defense, with their opponents’ shooting percentage trending downward strongly.
- Dayton’s Opponent Turnover Issue: Dayton’s ability to force turnovers has actually worsened, as their opponents are committing fewer turnovers on average, making it difficult for the Flyers to gain momentum.
- Duquesne’s Opponent Shooting Concerns: Duquesne’s inability to limit opponent scoring opportunities is a growing concern, with their opponents’ shooting percentage trending upward strongly.
Momentum Indicators
The MACD momentum indicator suggests that some of these trends may be more than just short-term fluctuations. As the season progresses, it will be essential for teams to address their weaknesses and build on their strengths to stay competitive in the Atlantic 10.
Metrics Glossary
Four Factors (Dean Oliver’s framework for basketball success):
- eFG% (Effective Field Goal %): Field goal percentage adjusted for 3-pointers being worth more (FGM + 0.5×3PM) / FGA. Higher is better offensively, lower is better defensively.
- TOV% (Turnover Rate): Turnovers per 100 possessions. Lower is better offensively (taking care of the ball), higher is better defensively (forcing turnovers).
- OREB% / DREB% (Offensive/Defensive Rebound Rate): Percentage of available rebounds grabbed. Offensive rebounds create second-chance points; defensive rebounds end opponent possessions.
- FTR (Free Throw Rate): Free throws made per field goal attempt (FTM/FGA). Measures ability to get to the line AND convert. Higher is better offensively, lower is better defensively.
Other Metrics:
- Elo Rating: Chess-style rating system that updates based on game results and opponent strength. Higher Elo indicates stronger team.
- Efficiency Margin: Point differential per 100 possessions (Offensive Efficiency – Defensive Efficiency). Accounts for pace of play.
- MACD (Moving Average Convergence Divergence): Trend indicator comparing 12-game and 26-game exponential moving averages. Positive MACD = improving trend, Negative MACD = declining trend.
Analysis powered by HoopSci’s advanced metrics and MACD trending indicators.

