Atlantic Sun Update: Week 18
March 10, 2026Strongest Offensive Trends
- Lipscomb, Off Reb Pct, Down, Trend Strength: -0.025 – Lipscomb’s rebounding efficiency has become a significant problem this season due to its worsening trend, which is contributing to their struggles on the defensive end.
- Stetson, Shooting, Up, Trend Strength: 0.022 – Stetson’s team shooting has shown growth contributing to their improved performance on the court.
- North Florida, Shooting, Down, Trend Strength: -0.02 – North Florida’s ongoing shooting woes have been a significant contributing factor to their struggles on offense throughout the Atlantic Sun Conference season.
- Jacksonville, Turnovers, Down, Trend Strength: -0.016 – The struggle with fumble recoveries and interceptions is contributing to Jacksonville’s inability to prevent opponents from scoring, resulting in a notable problem for their defensive performance.
- FGCU, Shooting, Down, Trend Strength: -0.014 – FGCU’s shooting woes from 3-point range have become a significant problem, as they consistently struggle to achieve accuracy in comparison to their previous performance this season.
Strongest Defensive Trends
- FGCU, Def Reb Pct, Up, Trend Strength: 0.02 – FGCU’s improved defensive rebounding has stifled opponents’ scoring, making it challenging for them to establish a consistent flow on the court.
- Lipscomb, Def Reb Pct, Down, Trend Strength: -0.02 – Lipscomb’s struggles with defensive rebounding have been evident in their inability to effectively secure rebounds on both ends of the court, hampering their overall performance on the boards.
- E Kentucky, Opp Shooting, Up, Trend Strength: 0.019 – East Kentucky’s inability to stifle opposing offenses has led to a surprising number of games where opponents reach the 70-point mark, making it an inflated struggle for their defense to contain high-scoring attacks consistently.
- Jacksonville, Opp Turnovers, Down, Trend Strength: -0.01 – Jacksonville’s defensive strategy has been stifling opponents, but this approach appears to be causing a significant struggle in disrupting opponents’ offenses, highlighting a problem with forcing turnovers that raises concerns about the team’s overall effectiveness.
- E Kentucky, Opp Turnovers, Down, Trend Strength: -0.009 – Eastern Kentucky’s inability to force turnovers has become a pressing concern due to their struggles impacting their ability to consistently exert defensive pressure on their opponents through timely steals and loose ball recoveries.

Figure 1: Efficiency margin trends for Atlantic Sun teams throughout the season. Teams trending upward show improving performance, while downward trends indicate struggles.
Conference Snapshot
- Week Dates: March 02 – March 08, 2026
- Trending Up (Efficiency): Jacksonville, Stetson, Bellarmine, Cent Arkansas, E Kentucky
- Trending Down (Efficiency): FGCU, Lipscomb, North Florida, North Alabama
Team-by-Team Analysis
Austin Peay
Record: 22-9 | Elo: 1539.3 (ranked 128 of 365) | Efficiency Margin: -3.19 (ranked 188 of 365)
Offensive Trends:
- Shooting (Shooting): Currently ranked 104 of 365 in D1. Trending up moderately 🟢.
- Off Reb Pct (Offensive Rebounding): Currently ranked 202 of 365 in D1. Trending up moderately 🟢.
Defensive Trends:
- Opp Shooting (Opp Shooting): Currently ranked 224 of 365 in D1. Trending up strongly 🔴.
- Opp Turnovers (Opp Turnovers): Currently ranked 88 of 365 in D1. Trending down strongly 🔴.
Bellarmine
Record: 13-19 | Elo: 1362.3 (ranked 329 of 365) | Efficiency Margin: -14.98 (ranked 294 of 365)
Offensive Trends:
- Shooting (Shooting): Currently ranked 5 of 365 in D1. Trending up moderately 🟢.
- Turnovers (Turnovers): Currently ranked 62 of 365 in D1. Trending down weakly 🟢.
Defensive Trends:
- Opp Shooting (Opp Shooting): Currently ranked 365 of 365 in D1. Trending up moderately 🔴.
- Opp Turnovers (Opp Turnovers): Currently ranked 272 of 365 in D1. Trending down moderately 🔴.
Cent Arkansas
Record: 22-12 | Elo: 1502.9 (ranked 182 of 365) | Efficiency Margin: -4.51 (ranked 202 of 365)
Offensive Trends:
- Shooting (Shooting): Currently ranked 70 of 365 in D1. Trending up moderately 🟢.
- Turnovers (Turnovers): Currently ranked 101 of 365 in D1. Trending down weakly 🟢.
Defensive Trends:
- Def Reb Pct (Defensive Rebounding): Currently ranked 66 of 365 in D1. Trending down moderately 🔴.
- Opp Shooting (Opp Shooting): Currently ranked 327 of 365 in D1. Trending down weakly 🟢.
E Kentucky
Record: 11-21 | Elo: 1411.5 (ranked 290 of 365) | Efficiency Margin: -16.58 (ranked 307 of 365)
Offensive Trends:
- Shooting (Shooting): Currently ranked 136 of 365 in D1. Trending up strongly 🟢.
- Off Reb Pct (Offensive Rebounding): Currently ranked 80 of 365 in D1. Trending down moderately 🔴.
Defensive Trends:
- Opp Shooting (Opp Shooting): Currently ranked 345 of 365 in D1. Trending up strongly 🔴.
- Opp Turnovers (Opp Turnovers): Currently ranked 313 of 365 in D1. Trending down strongly 🔴.
FGCU
Record: 16-18 | Elo: 1463.5 (ranked 234 of 365) | Efficiency Margin: -12.14 (ranked 273 of 365)
Offensive Trends:
- Shooting (Shooting): Currently ranked 144 of 365 in D1. Trending down strongly 🔴.
- Turnovers (Turnovers): Currently ranked 144 of 365 in D1. Trending down moderately 🟢.
Defensive Trends:
- Def Reb Pct (Defensive Rebounding): Currently ranked 60 of 365 in D1. Trending up strongly 🟢.
- Opp Turnovers (Opp Turnovers): Currently ranked 216 of 365 in D1. Trending up moderately 🟢.
Jacksonville
Record: 12-20 | Elo: 1413.6 (ranked 287 of 365) | Efficiency Margin: -17.94 (ranked 316 of 365)
Offensive Trends:
- Turnovers (Turnovers): Currently ranked 234 of 365 in D1. Trending down strongly 🟢.
- Off Reb Pct (Offensive Rebounding): Currently ranked 127 of 365 in D1. Trending up moderately 🟢.
Defensive Trends:
- Opp Turnovers (Opp Turnovers): Currently ranked 272 of 365 in D1. Trending down strongly 🔴.
- Opp Shooting (Opp Shooting): Currently ranked 313 of 365 in D1. Trending down weakly 🟢.
Lipscomb
Record: 19-13 | Elo: 1548.2 (ranked 120 of 365) | Efficiency Margin: -6.41 (ranked 226 of 365)
Offensive Trends:
- Off Reb Pct (Offensive Rebounding): Currently ranked 326 of 365 in D1. Trending down strongly 🔴.
- Shooting (Shooting): Currently ranked 67 of 365 in D1. Trending down moderately 🔴.
Defensive Trends:
- Def Reb Pct (Defensive Rebounding): Currently ranked 197 of 365 in D1. Trending down strongly 🔴.
- Opp Shooting (Opp Shooting): Currently ranked 267 of 365 in D1. Trending up moderately 🔴.
North Alabama
Record: 9-21 | Elo: 1403.9 (ranked 298 of 365) | Efficiency Margin: -25.69 (ranked 352 of 365)
Offensive Trends:
- Turnovers (Turnovers): Currently ranked 224 of 365 in D1. Trending up strongly 🔴.
- Shooting (Shooting): Currently ranked 309 of 365 in D1. Trending down moderately 🔴.
Defensive Trends:
- Opp Shooting (Opp Shooting): Currently ranked 333 of 365 in D1. Trending up moderately 🔴.
- Opp Turnovers (Opp Turnovers): Currently ranked 311 of 365 in D1. Trending down weakly 🔴.
North Florida
Record: 7-25 | Elo: 1336.5 (ranked 348 of 365) | Efficiency Margin: -25.71 (ranked 353 of 365)
Offensive Trends:
- Shooting (Shooting): Currently ranked 121 of 365 in D1. Trending down strongly 🔴.
- Turnovers (Turnovers): Currently ranked 288 of 365 in D1. Trending down moderately 🟢.
Defensive Trends:
- Opp Shooting (Opp Shooting): Currently ranked 349 of 365 in D1. Trending down moderately 🟢.
- Opp Turnovers (Opp Turnovers): Currently ranked 359 of 365 in D1. Trending up weakly 🟢.
Queens University
Record: 21-13 | Elo: 1551.0 (ranked 117 of 365) | Efficiency Margin: -4.98 (ranked 207 of 365)
Offensive Trends:
- Off Reb Pct (Offensive Rebounding): Currently ranked 190 of 365 in D1. Trending down moderately 🔴.
- Shooting (Shooting): Currently ranked 19 of 365 in D1. Trending up weakly 🟢.
Defensive Trends:
- Opp Shooting (Opp Shooting): Currently ranked 304 of 365 in D1. Trending down strongly 🟢.
- Opp Turnovers (Opp Turnovers): Currently ranked 287 of 365 in D1. Trending up weakly 🟢.
Stetson
Record: 12-21 | Elo: 1371.5 (ranked 323 of 365) | Efficiency Margin: -19.39 (ranked 323 of 365)
Offensive Trends:
- Shooting (Shooting): Currently ranked 108 of 365 in D1. Trending up strongly 🟢.
- Turnovers (Turnovers): Currently ranked 279 of 365 in D1. Trending down moderately 🟢.
Defensive Trends:
- Opp Shooting (Opp Shooting): Currently ranked 335 of 365 in D1. Trending down moderately 🟢.
- Def Reb Pct (Defensive Rebounding): Currently ranked 305 of 365 in D1. Trending up moderately 🟢.
West Georgia
Record: 15-17 | Elo: 1400.5 (ranked 300 of 365) | Efficiency Margin: -16.72 (ranked 310 of 365)
Offensive Trends:
- Shooting (Shooting): Currently ranked 260 of 365 in D1. Trending up moderately 🟢.
- Off Reb Pct (Offensive Rebounding): Currently ranked 141 of 365 in D1. Trending down moderately 🔴.
Defensive Trends:
- Opp Shooting (Opp Shooting): Currently ranked 282 of 365 in D1. Trending down strongly 🟢.
- Def Reb Pct (Defensive Rebounding): Currently ranked 54 of 365 in D1. Trending up strongly 🟢.

Figure 2: Offensive Four Factors comparison across Atlantic Sun teams. The radar chart shows each team’s shooting efficiency (eFG%), ball security (TOV%), offensive rebounding (OREB%), and free throw generation (FT Rate).

Figure 3: Defensive Four Factors comparison across Atlantic Sun teams. The radar chart shows each team’s opponent shooting defense (Opp eFG%), ball disruption (forcing TOV%), defensive rebounding (DREB%), and opponent free throw prevention (Opp FT Rate).

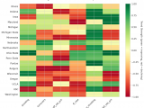
Figure 4: MACD trends heatmap showing which metrics are improving (green) or declining (red) for each team. Stronger colors indicate more pronounced trends.
Looking Ahead
Atlantic Sun Week 18 Review: Trends and Insights
As the Atlantic Sun Conference continues its season, several teams are showcasing notable trends that could impact their performance moving forward. By analyzing these momentum indicators, we can gain a deeper understanding of which teams are improving sustainably versus those experiencing fleeting success.
Offensive Trends to Highlight
- FGCU Shooting Efficiency Struggling: The Eagles’ shooting percentage is trending downward, with a significant decline in recent games. This struggle in shooting efficiency could hinder FGCU’s offense.
- Jacksonville Ball Control Improving: Jacksonville has seen a notable decrease in turnovers per game, indicating improved ball control and a more efficient attack.
- Lipscomb Offensive Rebounding Percentage Worsening: The Bisons’ ability to secure offensive rebounds is trending downward, with a season average that is below their earlier trend.
Defensive Trends to Highlight
- FGCU Defensive Rebounding Percentage Improving: The Eagles have seen an uptrend in defensive rebounding percentage, with a strong increase in recent games. This improvement suggests they are becoming more effective at securing defensive boards.
- Jacksonville Opponent Turnovers Worsening: Jacksonville’s opponents are committing fewer turnovers per game, which could be attributed to improved defense rather than better ball control from the Dolphins.
- Lipscomb Defensive Rebounding Percentage Worsening: The Bisons’ defensive rebounding percentage is trending downward, with a season average that is below their earlier trend.
These trends will be crucial for teams as they move forward into the second half of the season. By monitoring these momentum indicators, coaches can make informed decisions about strategy and player development.
Metrics Glossary
Four Factors (Dean Oliver’s framework for basketball success):
- eFG% (Effective Field Goal %): Field goal percentage adjusted for 3-pointers being worth more (FGM + 0.5×3PM) / FGA. Higher is better offensively, lower is better defensively.
- TOV% (Turnover Rate): Turnovers per 100 possessions. Lower is better offensively (taking care of the ball), higher is better defensively (forcing turnovers).
- OREB% / DREB% (Offensive/Defensive Rebound Rate): Percentage of available rebounds grabbed. Offensive rebounds create second-chance points; defensive rebounds end opponent possessions.
- FTR (Free Throw Rate): Free throws made per field goal attempt (FTM/FGA). Measures ability to get to the line AND convert. Higher is better offensively, lower is better defensively.
Other Metrics:
- Elo Rating: Chess-style rating system that updates based on game results and opponent strength. Higher Elo indicates stronger team.
- Efficiency Margin: Point differential per 100 possessions (Offensive Efficiency – Defensive Efficiency). Accounts for pace of play.
- MACD (Moving Average Convergence Divergence): Trend indicator comparing 12-game and 26-game exponential moving averages. Positive MACD = improving trend, Negative MACD = declining trend.
Analysis powered by HoopSci’s advanced metrics and MACD trending indicators.

