Big West Update: Week 18
March 10, 2026Strongest Offensive Trends
- CSU Fullerton, Shooting, Up, Trend Strength: 0.02 – CSU Fullerton’s offense has been hampered by persistent struggles with their overall shooting accuracy, which has hindered their scoring opportunities and limited their effectiveness in key games.
- CSU Fullerton, Off Reb Pct, Down, Trend Strength: -0.019 – CSU Fullerton’s inconsistent scoring output has been hindered by their persistent struggles on the glass, which have resulted in a significant disadvantage in securing rebounds, ultimately impacting their overall performance.
- Cal Poly, Turnovers, Down, Trend Strength: -0.014 – Cal Poly’s offense has struggled with turnovers, which has negatively impacted their scoring production and overall performance.
- CSU Northridge, Shooting, Down, Trend Strength: -0.012 – The team struggles with their inability to convert open three-point looks, ultimately contributing to scoring problems.
- CSU Fullerton, Turnovers, Down, Trend Strength: -0.01 – CSU Fullerton’s struggles with turnovers have begun to subside, allowing for a more cohesive team effort on both ends of the court as their improved performance demonstrates a clear correlation between reducing turnovers and enhanced overall play.
Strongest Defensive Trends
- Hawai’i, Opp Shooting, Up, Trend Strength: 0.022 – Hawai’i’s performance is being heavily impacted by their opponents’ struggles to convert on scoring opportunities, as a significant number of shots are going consistently wide of the mark.
- UCSB, Opp Shooting, Down, Trend Strength: -0.019 – UCSB’s improved shooting efficiency has stifled opponents’ offense, making it increasingly difficult for their defense to contain them effectively.
- Long Beach St, Def Reb Pct, Up, Trend Strength: 0.017 – The Long Beach St team has struggled to secure defensive rebounds, making it challenging for them to effectively stifle opponents on the court by preventing second-chance scoring opportunities and limiting their opponents’ field goal attempts.
- Long Beach St, Opp Shooting, Down, Trend Strength: -0.012 – Long Beach St’s defensive strategy has effectively stifled opponents’ shooting abilities, resulting in a significant struggle for opposing teams to maintain their high shooting values.
- Cal Poly, Opp Turnovers, Down, Trend Strength: -0.006 – Cal Poly’s inability to generate turnovers has stymied their offense, limiting their scoring opportunities and stifling momentum.

Figure 1: Efficiency margin trends for Big West teams throughout the season. Teams trending upward show improving performance, while downward trends indicate struggles.
Conference Snapshot
- Week Dates: March 02 – March 08, 2026
- Trending Up (Efficiency): CSU Fullerton, Hawai’i, Long Beach St, UC Irvine, CSU Bakersfield
- Trending Down (Efficiency): Cal Poly, CSU Northridge, UC Davis, UC Riverside, UCSB
Team-by-Team Analysis
CSU Bakersfield
Record: 8-24 | Elo: 1318.6 (ranked 355 of 365) | Efficiency Margin: -21.87 (ranked 336 of 365)
Offensive Trends:
- Off Reb Pct (Offensive Rebounding): Currently ranked 193 of 365 in D1. Trending down strongly 🔴.
- Turnovers (Turnovers): Currently ranked 326 of 365 in D1. Trending down moderately 🟢.
Defensive Trends:
- Opp Shooting (Opp Shooting): Currently ranked 300 of 365 in D1. Trending up strongly 🔴.
- Opp Turnovers (Opp Turnovers): Currently ranked 123 of 365 in D1. Trending down weakly 🔴.
CSU Fullerton
Record: 17-15 | Elo: 1465.7 (ranked 230 of 365) | Efficiency Margin: -5.90 (ranked 221 of 365)
Offensive Trends:
- Shooting (Shooting): Currently ranked 146 of 365 in D1. Trending up strongly 🟢.
- Turnovers (Turnovers): Currently ranked 73 of 365 in D1. Trending down strongly 🟢.
Defensive Trends:
- Opp Shooting (Opp Shooting): Currently ranked 329 of 365 in D1. Trending down moderately 🟢.
- Def Reb Pct (Defensive Rebounding): Currently ranked 73 of 365 in D1. Trending up moderately 🟢.
CSU Northridge
Record: 19-13 | Elo: 1538.9 (ranked 130 of 365) | Efficiency Margin: -8.96 (ranked 239 of 365)
Offensive Trends:
- Shooting (Shooting): Currently ranked 194 of 365 in D1. Trending down strongly 🔴.
- Turnovers (Turnovers): Currently ranked 265 of 365 in D1. Trending up moderately 🔴.
Defensive Trends:
- Opp Turnovers (Opp Turnovers): Currently ranked 188 of 365 in D1. Trending down moderately 🔴.
- Opp Shooting (Opp Shooting): Currently ranked 194 of 365 in D1. Trending up weakly 🔴.
Cal Poly
Record: 14-18 | Elo: 1448.7 (ranked 251 of 365) | Efficiency Margin: -11.52 (ranked 266 of 365)
Offensive Trends:
- Turnovers (Turnovers): Currently ranked 349 of 365 in D1. Trending down strongly 🟢.
- Off Reb Pct (Offensive Rebounding): Currently ranked 205 of 365 in D1. Trending down moderately 🔴.
Defensive Trends:
- Opp Turnovers (Opp Turnovers): Currently ranked 213 of 365 in D1. Trending down strongly 🔴.
- Opp Shooting (Opp Shooting): Currently ranked 289 of 365 in D1. Trending down moderately 🟢.
Hawai’i
Record: 22-8 | Elo: 1550.5 (ranked 119 of 365) | Efficiency Margin: +3.87 (ranked 123 of 365)
Offensive Trends:
- Turnovers (Turnovers): Currently ranked 324 of 365 in D1. Trending down strongly 🟢.
- Off Reb Pct (Offensive Rebounding): Currently ranked 185 of 365 in D1. Trending down strongly 🔴.
Defensive Trends:
- Opp Shooting (Opp Shooting): Currently ranked 20 of 365 in D1. Trending up strongly 🔴.
- Def Reb Pct (Defensive Rebounding): Currently ranked 17 of 365 in D1. Trending up moderately 🟢.
Long Beach St
Record: 10-22 | Elo: 1359.1 (ranked 331 of 365) | Efficiency Margin: -13.85 (ranked 286 of 365)
Offensive Trends:
- Shooting (Shooting): Currently ranked 208 of 365 in D1. Trending up strongly 🟢.
- Off Reb Pct (Offensive Rebounding): Currently ranked 333 of 365 in D1. Trending down strongly 🔴.
Defensive Trends:
- Opp Shooting (Opp Shooting): Currently ranked 295 of 365 in D1. Trending down strongly 🟢.
- Def Reb Pct (Defensive Rebounding): Currently ranked 67 of 365 in D1. Trending up strongly 🟢.
UC Davis
Record: 18-13 | Elo: 1508.0 (ranked 175 of 365) | Efficiency Margin: -5.36 (ranked 213 of 365)
Offensive Trends:
- Off Reb Pct (Offensive Rebounding): Currently ranked 318 of 365 in D1. Trending down strongly 🔴.
- Shooting (Shooting): Currently ranked 141 of 365 in D1. Trending down moderately 🔴.
Defensive Trends:
- Opp Turnovers (Opp Turnovers): Currently ranked 23 of 365 in D1. Trending up moderately 🟢.
- Opp Shooting (Opp Shooting): Currently ranked 248 of 365 in D1. Trending up weakly 🔴.
UC Irvine
Record: 22-10 | Elo: 1646.2 (ranked 49 of 365) | Efficiency Margin: +1.94 (ranked 143 of 365)
Offensive Trends:
- Shooting (Shooting): Currently ranked 269 of 365 in D1. Trending up moderately 🟢.
- Turnovers (Turnovers): Currently ranked 245 of 365 in D1. Trending down weakly 🟢.
Defensive Trends:
- Opp Shooting (Opp Shooting): Currently ranked 6 of 365 in D1. Trending up moderately 🔴.
- Opp Turnovers (Opp Turnovers): Currently ranked 49 of 365 in D1. Trending up moderately 🟢.
UC Riverside
Record: 10-22 | Elo: 1424.7 (ranked 276 of 365) | Efficiency Margin: -16.57 (ranked 306 of 365)
Offensive Trends:
- Turnovers (Turnovers): Currently ranked 328 of 365 in D1. Trending down strongly 🟢.
- Shooting (Shooting): Currently ranked 287 of 365 in D1. Trending down moderately 🔴.
Defensive Trends:
- Opp Shooting (Opp Shooting): Currently ranked 252 of 365 in D1. Trending down moderately 🟢.
- Opp Turnovers (Opp Turnovers): Currently ranked 242 of 365 in D1. Trending down weakly 🔴.
UC San Diego
Record: 22-10 | Elo: 1620.2 (ranked 62 of 365) | Efficiency Margin: +0.96 (ranked 151 of 365)
Offensive Trends:
- Off Reb Pct (Offensive Rebounding): Currently ranked 312 of 365 in D1. Trending down moderately 🔴.
- Shooting (Shooting): Currently ranked 107 of 365 in D1. Trending down weakly 🔴.
Defensive Trends:
- Opp Shooting (Opp Shooting): Currently ranked 47 of 365 in D1. Trending up moderately 🔴.
- Opp Turnovers (Opp Turnovers): Currently ranked 150 of 365 in D1. Trending up moderately 🟢.
UCSB
Record: 18-13 | Elo: 1519.5 (ranked 155 of 365) | Efficiency Margin: -1.96 (ranked 173 of 365)
Offensive Trends:
- Turnovers (Turnovers): Currently ranked 323 of 365 in D1. Trending up strongly 🔴.
- Off Reb Pct (Offensive Rebounding): Currently ranked 108 of 365 in D1. Trending down strongly 🔴.
Defensive Trends:
- Opp Shooting (Opp Shooting): Currently ranked 257 of 365 in D1. Trending down strongly 🟢.
- Opp Turnovers (Opp Turnovers): Currently ranked 136 of 365 in D1. Trending down strongly 🔴.

Figure 2: Offensive Four Factors comparison across Big West teams. The radar chart shows each team’s shooting efficiency (eFG%), ball security (TOV%), offensive rebounding (OREB%), and free throw generation (FT Rate).

Figure 3: Defensive Four Factors comparison across Big West teams. The radar chart shows each team’s opponent shooting defense (Opp eFG%), ball disruption (forcing TOV%), defensive rebounding (DREB%), and opponent free throw prevention (Opp FT Rate).

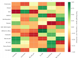
Figure 4: MACD trends heatmap showing which metrics are improving (green) or declining (red) for each team. Stronger colors indicate more pronounced trends.
Looking Ahead
Big West Teams Show Improvement and Decline in Key Areas
As the Big West season continues, we take a data-driven look at the trends unfolding across the conference. This week’s analysis focuses on the teams that are genuinely improving versus those struggling.
Offensive Trends to Watch:
Cal Poly has been effective in reducing turnovers, with their trend down strongly indicating improvement. CSU Fullerton is showing a strong uptick in shooting percentages, with their trend up strongly. As this value increases, CSU Fullerton’s offense becomes more potent. Long Beach St has seen improvements on both ends of the court.
Defensive Trends to Watch:
Cal Poly is experiencing a decline on the defensive end, specifically in forcing opponent turnovers. Their trend is down strongly, indicating a decrease in defensive effectiveness. Long Beach St has seen improvements on both ends of the court.
UCSB has been struggling with an uptick in allowing opponents to shoot effectively (trend up strongly). This worsening of their defense makes it harder for them to protect the paint. UC Davis and CSU Bakersfield have maintained consistent performance.
By examining these trends, we can identify which teams are genuinely improving and which ones may be experiencing a temporary resurgence in success. To further illuminate the story unfolding across the Big West conference, keep an eye out for next week’s analysis as we delve into the moving average convergence divergence (MACD) momentum indicators. The MACD is used to determine whether there is a trend reversal or continuation based on past price movements.
Metrics Glossary
Four Factors (Dean Oliver’s framework for basketball success):
- eFG% (Effective Field Goal %): Field goal percentage adjusted for 3-pointers being worth more (FGM + 0.5×3PM) / FGA. Higher is better offensively, lower is better defensively.
- TOV% (Turnover Rate): Turnovers per 100 possessions. Lower is better offensively (taking care of the ball), higher is better defensively (forcing turnovers).
- OREB% / DREB% (Offensive/Defensive Rebound Rate): Percentage of available rebounds grabbed. Offensive rebounds create second-chance points; defensive rebounds end opponent possessions.
- FTR (Free Throw Rate): Free throws made per field goal attempt (FTM/FGA). Measures ability to get to the line AND convert. Higher is better offensively, lower is better defensively.
Other Metrics:
- Elo Rating: Chess-style rating system that updates based on game results and opponent strength. Higher Elo indicates stronger team.
- Efficiency Margin: Point differential per 100 possessions (Offensive Efficiency – Defensive Efficiency). Accounts for pace of play.
- MACD (Moving Average Convergence Divergence): Trend indicator comparing 12-game and 26-game exponential moving averages. Positive MACD = improving trend, Negative MACD = declining trend.
Analysis powered by HoopSci’s advanced metrics and MACD trending indicators.

