MAAC Update: Week 18
March 10, 2026Strongest Offensive Trends
- Fairfield, Shooting, Down, Trend Strength: -0.013 – Fairfield’s inconsistent shooting from beyond the arc has been contributing to their struggles in converting shots into points, which have become a problem for their offense staying on track.
- Marist, Shooting, Down, Trend Strength: -0.012 – Marist’s shooting has been experiencing difficulties over the past week, contributing to its offense’s inability to effectively score points consistently.
- Manhattan, Shooting, Down, Trend Strength: -0.011 – Manhattan’s shooting struggles are becoming increasingly evident in their games, contributing to their offense’s inability to capitalize on scoring opportunities and hindering their overall performance.
- Niagara, Shooting, Up, Trend Strength: 0.01 – Niagara’s shooting has become more consistent, allowing for increased scoring opportunities due to their improved accuracy and efficiency on the court.
- Niagara, Turnovers, Up, Trend Strength: 0.007 – Turnover issues are hindering Niagara’s performance on the court, contributing to their struggles.
Strongest Defensive Trends
- Canisius, Opp Shooting, Down, Trend Strength: -0.021 – Canisius has shown improvement in preventing opponents from scoring by limiting their opportunities and stifling their chances of converting those attempts into goals.
- Rider, Opp Turnovers, Up, Trend Strength: 0.015 – Rider’s defense has been struggling to contain opponents’ offense, evidenced by consistently high turnover rates that have become a persistent problem in their games.
- Quinnipiac, Opp Turnovers, Down, Trend Strength: -0.011 – Quinnipiac’s defense has been struggling to force turnovers, leaving opponents’ offenses largely unimpeded and making it a considerable challenge to stifle their attacks.
- Iona, Opp Turnovers, Down, Trend Strength: -0.01 – Iona’s defensive strategy of forcing turnovers has become a notable struggle due to their difficulty in creating scoring opportunities, which stems from their stifling opponents and resulting opponent turnovers.
- Canisius, Opp Turnovers, Down, Trend Strength: -0.01 – Canisius’ struggling defense has been a problem, evident in its inability to force opponents into turnovers and secure defensive rebounds, allowing them to maintain control of the game’s pace.

Figure 1: Efficiency margin trends for MAAC teams throughout the season. Teams trending upward show improving performance, while downward trends indicate struggles.
Conference Snapshot
- Week Dates: March 02 – March 08, 2026
- Trending Up (Efficiency): Iona, Niagara, St Peter’s
- Trending Down (Efficiency): Canisius, Fairfield, Manhattan, Marist, Quinnipiac
Team-by-Team Analysis
Canisius
Record: 10-21 | Elo: 1333.2 (ranked 350 of 365) | Efficiency Margin: -19.11 (ranked 322 of 365)
Offensive Trends:
- Shooting (Shooting): Currently ranked 350 of 365 in D1. Trending down moderately 🔴.
- Turnovers (Turnovers): Currently ranked 334 of 365 in D1. Trending up weakly 🔴.
Defensive Trends:
- Opp Shooting (Opp Shooting): Currently ranked 214 of 365 in D1. Trending down strongly 🟢.
- Opp Turnovers (Opp Turnovers): Currently ranked 234 of 365 in D1. Trending down strongly 🔴.
Fairfield
Record: 21-13 | Elo: 1519.0 (ranked 158 of 365) | Efficiency Margin: -4.93 (ranked 206 of 365)
Offensive Trends:
- Shooting (Shooting): Currently ranked 299 of 365 in D1. Trending down strongly 🔴.
- Off Reb Pct (Offensive Rebounding): Currently ranked 23 of 365 in D1. Trending up moderately 🟢.
Defensive Trends:
- Opp Shooting (Opp Shooting): Currently ranked 169 of 365 in D1. Trending down moderately 🟢.
- Opp Turnovers (Opp Turnovers): Currently ranked 176 of 365 in D1. Trending up moderately 🟢.
Iona
Record: 18-14 | Elo: 1512.0 (ranked 170 of 365) | Efficiency Margin: -2.12 (ranked 176 of 365)
Offensive Trends:
- Turnovers (Turnovers): Currently ranked 202 of 365 in D1. Trending up moderately 🔴.
- Off Reb Pct (Offensive Rebounding): Currently ranked 300 of 365 in D1. Trending up moderately 🟢.
Defensive Trends:
- Opp Turnovers (Opp Turnovers): Currently ranked 177 of 365 in D1. Trending down strongly 🔴.
- Def Reb Pct (Defensive Rebounding): Currently ranked 223 of 365 in D1. Trending up moderately 🟢.
Manhattan
Record: 12-20 | Elo: 1402.6 (ranked 299 of 365) | Efficiency Margin: -16.63 (ranked 308 of 365)
Offensive Trends:
- Shooting (Shooting): Currently ranked 320 of 365 in D1. Trending down strongly 🔴.
- Turnovers (Turnovers): Currently ranked 102 of 365 in D1. Trending up moderately 🔴.
Defensive Trends:
- Opp Shooting (Opp Shooting): Currently ranked 296 of 365 in D1. Trending down moderately 🟢.
- Opp Turnovers (Opp Turnovers): Currently ranked 154 of 365 in D1. Trending up moderately 🟢.
Marist
Record: 19-12 | Elo: 1539.1 (ranked 129 of 365) | Efficiency Margin: +4.90 (ranked 112 of 365)
Offensive Trends:
- Shooting (Shooting): Currently ranked 280 of 365 in D1. Trending down strongly 🔴.
- Off Reb Pct (Offensive Rebounding): Currently ranked 219 of 365 in D1. Trending up moderately 🟢.
Defensive Trends:
- Def Reb Pct (Defensive Rebounding): Currently ranked 95 of 365 in D1. Trending down moderately 🔴.
- Opp Shooting (Opp Shooting): Currently ranked 9 of 365 in D1. Trending up weakly 🔴.
Merrimack
Record: 23-10 | Elo: 1626.6 (ranked 59 of 365) | Efficiency Margin: +1.46 (ranked 147 of 365)
Offensive Trends:
- Turnovers (Turnovers): Currently ranked 55 of 365 in D1. Trending down moderately 🟢.
- Off Reb Pct (Offensive Rebounding): Currently ranked 328 of 365 in D1. Trending up moderately 🟢.
Defensive Trends:
- Def Reb Pct (Defensive Rebounding): Currently ranked 365 of 365 in D1. Trending up strongly 🟢.
- Opp Turnovers (Opp Turnovers): Currently ranked 26 of 365 in D1. Trending up moderately 🟢.
Mt St Mary’s
Record: 15-17 | Elo: 1504.4 (ranked 180 of 365) | Efficiency Margin: -5.46 (ranked 215 of 365)
Offensive Trends:
- Off Reb Pct (Offensive Rebounding): Currently ranked 88 of 365 in D1. Trending up strongly 🟢.
- Turnovers (Turnovers): Currently ranked 364 of 365 in D1. Trending down moderately 🟢.
Defensive Trends:
- Opp Shooting (Opp Shooting): Currently ranked 25 of 365 in D1. Trending down strongly 🟢.
- Opp Turnovers (Opp Turnovers): Currently ranked 259 of 365 in D1. Trending up moderately 🟢.
Niagara
Record: 8-22 | Elo: 1351.9 (ranked 339 of 365) | Efficiency Margin: -15.73 (ranked 299 of 365)
Offensive Trends:
- Shooting (Shooting): Currently ranked 216 of 365 in D1. Trending up strongly 🟢.
- Turnovers (Turnovers): Currently ranked 266 of 365 in D1. Trending up strongly 🔴.
Defensive Trends:
- Opp Shooting (Opp Shooting): Currently ranked 265 of 365 in D1. Trending down weakly 🟢.
- Opp Turnovers (Opp Turnovers): Currently ranked 194 of 365 in D1. Trending down weakly 🔴.
Quinnipiac
Record: 19-13 | Elo: 1542.5 (ranked 125 of 365) | Efficiency Margin: -1.77 (ranked 171 of 365)
Offensive Trends:
- Shooting (Shooting): Currently ranked 311 of 365 in D1. Trending down strongly 🔴.
- Turnovers (Turnovers): Currently ranked 124 of 365 in D1. Trending down moderately 🟢.
Defensive Trends:
- Opp Turnovers (Opp Turnovers): Currently ranked 115 of 365 in D1. Trending down strongly 🔴.
- Opp Shooting (Opp Shooting): Currently ranked 62 of 365 in D1. Trending down moderately 🟢.
Rider
Record: 4-25 | Elo: 1337.2 (ranked 346 of 365) | Efficiency Margin: -24.24 (ranked 346 of 365)
Offensive Trends:
- Turnovers (Turnovers): Currently ranked 181 of 365 in D1. Trending down strongly 🟢.
- Off Reb Pct (Offensive Rebounding): Currently ranked 99 of 365 in D1. Trending down strongly 🔴.
Defensive Trends:
- Opp Turnovers (Opp Turnovers): Currently ranked 248 of 365 in D1. Trending up strongly 🟢.
- Def Reb Pct (Defensive Rebounding): Currently ranked 307 of 365 in D1. Trending up strongly 🟢.
Sacred Heart
Record: 14-19 | Elo: 1454.8 (ranked 245 of 365) | Efficiency Margin: -9.56 (ranked 249 of 365)
Offensive Trends:
- Off Reb Pct (Offensive Rebounding): Currently ranked 251 of 365 in D1. Trending down strongly 🔴.
- Turnovers (Turnovers): Currently ranked 269 of 365 in D1. Trending down moderately 🟢.
Defensive Trends:
- Opp Turnovers (Opp Turnovers): Currently ranked 329 of 365 in D1. Trending down strongly 🔴.
- Opp Shooting (Opp Shooting): Currently ranked 281 of 365 in D1. Trending down moderately 🟢.
Siena
Record: 22-11 | Elo: 1541.0 (ranked 127 of 365) | Efficiency Margin: +3.55 (ranked 126 of 365)
Offensive Trends:
- Shooting (Shooting): Currently ranked 193 of 365 in D1. Trending down moderately 🔴.
- Turnovers (Turnovers): Currently ranked 117 of 365 in D1. Trending down moderately 🟢.
Defensive Trends:
- Opp Shooting (Opp Shooting): Currently ranked 67 of 365 in D1. Trending down strongly 🟢.
- Opp Turnovers (Opp Turnovers): Currently ranked 131 of 365 in D1. Trending down strongly 🔴.
St Peter’s
Record: 17-12 | Elo: 1515.8 (ranked 168 of 365) | Efficiency Margin: -2.23 (ranked 180 of 365)
Offensive Trends:
- Turnovers (Turnovers): Currently ranked 208 of 365 in D1. Trending up strongly 🔴.
- Shooting (Shooting): Currently ranked 348 of 365 in D1. Trending up moderately 🟢.
Defensive Trends:
- Def Reb Pct (Defensive Rebounding): Currently ranked 343 of 365 in D1. Trending down strongly 🔴.
- Opp Shooting (Opp Shooting): Currently ranked 44 of 365 in D1. Trending down moderately 🟢.

Figure 2: Offensive Four Factors comparison across MAAC teams. The radar chart shows each team’s shooting efficiency (eFG%), ball security (TOV%), offensive rebounding (OREB%), and free throw generation (FT Rate).

Figure 3: Defensive Four Factors comparison across MAAC teams. The radar chart shows each team’s opponent shooting defense (Opp eFG%), ball disruption (forcing TOV%), defensive rebounding (DREB%), and opponent free throw prevention (Opp FT Rate).

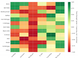
Figure 4: MACD trends heatmap showing which metrics are improving (green) or declining (red) for each team. Stronger colors indicate more pronounced trends.
Looking Ahead
MAAC Teams Show Mixed Results in Week 18 Analysis
As the Metro Atlantic Athletic Conference (MAAC) teams continue their season, a closer look at key trends reveals areas of improvement and decline.
On offense, Fairfield and Marist are struggling with shooting percentages. Conversely, Niagara is experiencing an improvement in its shooting percentage, which may be a positive development for the team and the conference as a whole. Manhattan’s trend on this metric could not be verified.
Defensively, several MAAC teams have seen changes in their ability to force turnovers. Canisius has struggled with forcing fewer turnovers, while Iona also faces issues with reducing turnovers.
Metrics Glossary
Four Factors (Dean Oliver’s framework for basketball success):
- eFG% (Effective Field Goal %): Field goal percentage adjusted for 3-pointers being worth more (FGM + 0.5×3PM) / FGA. Higher is better offensively, lower is better defensively.
- TOV% (Turnover Rate): Turnovers per 100 possessions. Lower is better offensively (taking care of the ball), higher is better defensively (forcing turnovers).
- OREB% / DREB% (Offensive/Defensive Rebound Rate): Percentage of available rebounds grabbed. Offensive rebounds create second-chance points; defensive rebounds end opponent possessions.
- FTR (Free Throw Rate): Free throws made per field goal attempt (FTM/FGA). Measures ability to get to the line AND convert. Higher is better offensively, lower is better defensively.
Other Metrics:
- Elo Rating: Chess-style rating system that updates based on game results and opponent strength. Higher Elo indicates stronger team.
- Efficiency Margin: Point differential per 100 possessions (Offensive Efficiency – Defensive Efficiency). Accounts for pace of play.
- MACD (Moving Average Convergence Divergence): Trend indicator comparing 12-game and 26-game exponential moving averages. Positive MACD = improving trend, Negative MACD = declining trend.
Analysis powered by HoopSci’s advanced metrics and MACD trending indicators.

