Big West Update: Week 3
November 25, 2025The Big West enters Week 3 with teams showing diverse trending patterns. This analysis examines each team’s performance trends using MACD (Moving Average Convergence Divergence) indicators to identify not just where teams stand, but where they’re headed.

Figure 1: Efficiency margin trends for Big West teams throughout the season. Teams trending upward show improving performance, while downward trends indicate struggles.
Conference Snapshot
- Week Dates: November 17 – November 23, 2025
- Trending Up (Efficiency): Cal Poly, CSU Fullerton, CSU Northridge, UC Davis, UC Riverside
- Trending Down (Efficiency): Hawai’i, Long Beach St, UC Irvine, UCSB, CSU Bakersfield
Team-by-Team Analysis
CSU Bakersfield
Record: 3-3 | Elo: 1432.2 (ranked 276 of 365) | Efficiency Margin: -0.83 (ranked 244 of 365)
Offensive Trends:
- FT Rate (FTA/FGA (%)): Currently ranked 25 of 365 in D1. Trending up strongly.
- Adj Off Eff (Adjusted Offensive Efficiency): Currently ranked 257 of 365 in D1. Trending down strongly.
Defensive Trends:
- Opp Turnovers (Opp Turnovers): Currently ranked 215 of 365 in D1. Trending down strongly.
- Opp 2Pt Rate (Opp 2 Point Attempts/FGA (%)): Currently ranked 358 of 365 in D1. Trending up strongly.
CSU Fullerton
Record: 2-5 | Elo: 1360.2 (ranked 349 of 365) | Efficiency Margin: -6.59 (ranked 298 of 365)
Offensive Trends:
- Turnovers (Turnovers): Currently ranked 42 of 365 in D1. Trending down strongly.
- FGM Per Poss (Field Goal Makes Per Possession (%)): Currently ranked 255 of 365 in D1. Trending up strongly.
Defensive Trends:
- Def Reb Pct (Defensive Rebounding): Currently ranked 45 of 365 in D1. Trending up strongly.
- Opp FTM Per Poss (Opp Free Throw Makes Per Possession (%)): Currently ranked 288 of 365 in D1. Trending up strongly.
CSU Northridge
Record: 3-2 | Elo: 1537.8 (ranked 125 of 365) | Efficiency Margin: -1.84 (ranked 259 of 365)
Offensive Trends:
- Turnovers (Turnovers): Currently ranked 354 of 365 in D1. Trending up strongly.
- Adj Off Eff (Adjusted Offensive Efficiency): Currently ranked 245 of 365 in D1. Trending down strongly.
Defensive Trends:
- Opp Turnovers (Opp Turnovers): Currently ranked 347 of 365 in D1. Trending down strongly.
- Opp FT Rate (Opp FTA/FGA (%)): Currently ranked 46 of 365 in D1. Trending down strongly.
Cal Poly
Record: 3-4 | Elo: 1447.9 (ranked 262 of 365) | Efficiency Margin: +0.45 (ranked 232 of 365)
Offensive Trends:
- Adj Off Eff (Adjusted Offensive Efficiency): Currently ranked 261 of 365 in D1. Trending down strongly.
- FT Pct (FTM/FTA (%)): Currently ranked 253 of 365 in D1. Trending down strongly.
Defensive Trends:
- Def Reb Pct (Defensive Rebounding): Currently ranked 81 of 365 in D1. Trending up strongly.
- Opp FGA Per Poss (Opp FG Attempts Per Possession (%)): Currently ranked 104 of 365 in D1. Trending down strongly.
Hawai’i
Record: 5-2 | Elo: 1480.9 (ranked 212 of 365) | Efficiency Margin: +15.92 (ranked 112 of 365)
Offensive Trends:
- Off Reb Pct (Offensive Rebounding): Currently ranked 101 of 365 in D1. Trending up strongly.
- FT Rate (FTA/FGA (%)): Currently ranked 6 of 365 in D1. Trending up strongly.
Defensive Trends:
- Opp Shooting (Opp Shooting): Currently ranked 47 of 365 in D1. Trending down strongly.
- Def Reb Pct (Defensive Rebounding): Currently ranked 71 of 365 in D1. Trending up strongly.
Long Beach St
Record: 1-5 | Elo: 1365.4 (ranked 345 of 365) | Efficiency Margin: -9.24 (ranked 319 of 365)
Offensive Trends:
- Off Reb Pct (Offensive Rebounding): Currently ranked 215 of 365 in D1. Trending up strongly.
- Adj Off Eff (Adjusted Offensive Efficiency): Currently ranked 328 of 365 in D1. Trending down strongly.
Defensive Trends:
- Opp Shooting (Opp Shooting): Currently ranked 146 of 365 in D1. Trending down strongly.
- Opp Turnovers (Opp Turnovers): Currently ranked 224 of 365 in D1. Trending down strongly.
UC Davis
Record: 5-2 | Elo: 1500.3 (ranked 181 of 365) | Efficiency Margin: +12.91 (ranked 132 of 365)
Offensive Trends:
- Shooting (Shooting): Currently ranked 54 of 365 in D1. Trending up strongly.
- FGM Per Poss (Field Goal Makes Per Possession (%)): Currently ranked 188 of 365 in D1. Trending up strongly.
Defensive Trends:
- Opp Turnovers (Opp Turnovers): Currently ranked 129 of 365 in D1. Trending down moderately.
- Def Reb Pct (Defensive Rebounding): Currently ranked 200 of 365 in D1. Trending up moderately.
UC Irvine
Record: 3-3 | Elo: 1614.5 (ranked 55 of 365) | Efficiency Margin: +16.10 (ranked 110 of 365)
Offensive Trends:
- Off Reb Pct (Offensive Rebounding): Currently ranked 31 of 365 in D1. Trending up strongly.
- Adj Off Eff (Adjusted Offensive Efficiency): Currently ranked 206 of 365 in D1. Trending down strongly.
Defensive Trends:
- Opp Shooting (Opp Shooting): Currently ranked 6 of 365 in D1. Trending down strongly.
- Opp Turnovers (Opp Turnovers): Currently ranked 333 of 365 in D1. Trending down strongly.
UC Riverside
Record: 4-3 | Elo: 1535.7 (ranked 128 of 365) | Efficiency Margin: +4.31 (ranked 203 of 365)
Offensive Trends:
- Shooting (Shooting): Currently ranked 84 of 365 in D1. Trending up strongly.
- Turnovers (Turnovers): Currently ranked 337 of 365 in D1. Trending up strongly.
Defensive Trends:
- Opp 2PA Per Poss (Opp 2 Point Attempts Per Possession (%)): Currently ranked 295 of 365 in D1. Trending up strongly.
- Opp FTA Per Poss (Opp Free Throw Attempts Per Possession (%)): Currently ranked 186 of 365 in D1. Trending up strongly.
UC San Diego
Record: 5-0 | Elo: 1647.5 (ranked 28 of 365) | Efficiency Margin: +20.59 (ranked 84 of 365)
Offensive Trends:
- Shooting (Shooting): Currently ranked 14 of 365 in D1. Trending up strongly.
- Adj Off Eff (Adjusted Offensive Efficiency): Currently ranked 93 of 365 in D1. Trending down strongly.
Defensive Trends:
- Opp Turnovers (Opp Turnovers): Currently ranked 238 of 365 in D1. Trending down strongly.
- Opp FT Pct (Opp FTM/FTA (%)): Currently ranked 26 of 365 in D1. Trending down strongly.
UCSB
Record: 4-2 | Elo: 1521.4 (ranked 155 of 365) | Efficiency Margin: +2.09 (ranked 224 of 365)
Offensive Trends:
- Off Reb Pct (Offensive Rebounding): Currently ranked 29 of 365 in D1. Trending up strongly.
- 2Pt Rate (2 Point Attempts/FGA (%)): Currently ranked 173 of 365 in D1. Trending up strongly.
Defensive Trends:
- Opp Shooting (Opp Shooting): Currently ranked 52 of 365 in D1. Trending down strongly.
- Opp Turnovers (Opp Turnovers): Currently ranked 299 of 365 in D1. Trending down strongly.

Figure 2: Offensive Four Factors comparison across Big West teams. The radar chart shows each team’s shooting efficiency (eFG%), ball security (TOV%), offensive rebounding (OREB%), and free throw generation (FT Rate).

Figure 3: Defensive Four Factors comparison across Big West teams. The radar chart shows each team’s opponent shooting defense (Opp eFG%), ball disruption (forcing TOV%), defensive rebounding (DREB%), and opponent free throw prevention (Opp FT Rate).

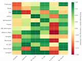
Figure 4: MACD trends heatmap showing which metrics are improving (green) or declining (red) for each team. Stronger colors indicate more pronounced trends.
Looking Ahead
As Big West teams continue their season, the MACD trending indicators will help identify which teams are genuinely improving versus those riding unsustainable momentum. Check back next week for updated analysis.
Metrics Glossary
Four Factors (Dean Oliver’s framework for basketball success):
- eFG% (Effective Field Goal %): Field goal percentage adjusted for 3-pointers being worth more (FGM + 0.5×3PM) / FGA. Higher is better offensively, lower is better defensively.
- TOV% (Turnover Rate): Turnovers per 100 possessions. Lower is better offensively (taking care of the ball), higher is better defensively (forcing turnovers).
- OREB% / DREB% (Offensive/Defensive Rebound Rate): Percentage of available rebounds grabbed. Offensive rebounds create second-chance points; defensive rebounds end opponent possessions.
- FTR (Free Throw Rate): Free throws made per field goal attempt (FTM/FGA). Measures ability to get to the line AND convert. Higher is better offensively, lower is better defensively.
Other Metrics:
- Elo Rating: Chess-style rating system that updates based on game results and opponent strength. Higher Elo indicates stronger team.
- Efficiency Margin: Point differential per 100 possessions (Offensive Efficiency – Defensive Efficiency). Accounts for pace of play.
- MACD (Moving Average Convergence Divergence): Trend indicator comparing 12-game and 26-game exponential moving averages. Positive MACD = improving trend, Negative MACD = declining trend.
Analysis powered by HoopSci’s advanced metrics and MACD trending indicators.

