Coastal Update: Week 3
November 25, 2025The Colonial enters Week 3 with teams showing diverse trending patterns. This analysis examines each team’s performance trends using MACD (Moving Average Convergence Divergence) indicators to identify not just where teams stand, but where they’re headed.

Figure 1: Efficiency margin trends for Colonial teams throughout the season. Teams trending upward show improving performance, while downward trends indicate struggles.
Conference Snapshot
- Week Dates: November 17 – November 23, 2025
- Trending Up (Efficiency): Elon, Hofstra, UNC Wilmington, William & Mary, NC A&T
- Trending Down (Efficiency): Charleston, Drexel, Northeastern, Towson, Hampton
Team-by-Team Analysis
Campbell
Record: 3-3 | Elo: 1464.0 (ranked 234 of 365) | Efficiency Margin: +6.63 (ranked 185 of 365)
Offensive Trends:
- Turnovers (Turnovers): Currently ranked 325 of 365 in D1. Trending up strongly.
- Off Reb Pct (Offensive Rebounding): Currently ranked 108 of 365 in D1. Trending up strongly.
Defensive Trends:
- Opp Shooting (Opp Shooting): Currently ranked 133 of 365 in D1. Trending down strongly.
- Opp FGM Per Poss (Opp FG Makes Per Possession (%)): Currently ranked 186 of 365 in D1. Trending down strongly.
Charleston
Record: 4-4 | Elo: 1596.9 (ranked 64 of 365) | Efficiency Margin: +6.45 (ranked 189 of 365)
Offensive Trends:
- Shooting (Shooting): Currently ranked 301 of 365 in D1. Trending down strongly.
- FT Rate (FTA/FGA (%)): Currently ranked 116 of 365 in D1. Trending up strongly.
Defensive Trends:
- Def Reb Pct (Defensive Rebounding): Currently ranked 88 of 365 in D1. Trending up strongly.
- Opp FT Pct (Opp FTM/FTA (%)): Currently ranked 8 of 365 in D1. Trending down strongly.
Drexel
Record: 3-4 | Elo: 1496.1 (ranked 190 of 365) | Efficiency Margin: +0.01 (ranked 235 of 365)
Offensive Trends:
- FT Rate (FTA/FGA (%)): Currently ranked 307 of 365 in D1. Trending up strongly.
- Adj Off Eff (Adjusted Offensive Efficiency): Currently ranked 249 of 365 in D1. Trending down strongly.
Defensive Trends:
- Opp FT Rate (Opp FTA/FGA (%)): Currently ranked 266 of 365 in D1. Trending up strongly.
- Opp FGA Per Poss (Opp FG Attempts Per Possession (%)): Currently ranked 147 of 365 in D1. Trending down strongly.
Elon
Record: 4-2 | Elo: 1473.5 (ranked 220 of 365) | Efficiency Margin: +15.69 (ranked 116 of 365)
Offensive Trends:
- Shooting (Shooting): Currently ranked 44 of 365 in D1. Trending up strongly.
- Turnovers (Turnovers): Currently ranked 27 of 365 in D1. Trending down strongly.
Defensive Trends:
- Opp FT Rate (Opp FTA/FGA (%)): Currently ranked 127 of 365 in D1. Trending up strongly.
- Opp FGA Per Poss (Opp FG Attempts Per Possession (%)): Currently ranked 155 of 365 in D1. Trending down strongly.
Hampton
Record: 2-5 | Elo: 1432.7 (ranked 275 of 365) | Efficiency Margin: -4.01 (ranked 277 of 365)
Offensive Trends:
- Shooting (Shooting): Currently ranked 319 of 365 in D1. Trending down strongly.
- FGM Per Poss (Field Goal Makes Per Possession (%)): Currently ranked 243 of 365 in D1. Trending down strongly.
Defensive Trends:
- Opp Shooting (Opp Shooting): Currently ranked 198 of 365 in D1. Trending down moderately.
- Opp FT Rate (Opp FTA/FGA (%)): Currently ranked 187 of 365 in D1. Trending down moderately.
Hofstra
Record: 2-3 | Elo: 1484.8 (ranked 205 of 365) | Efficiency Margin: +12.68 (ranked 135 of 365)
Offensive Trends:
- Off Reb Pct (Offensive Rebounding): Currently ranked 68 of 365 in D1. Trending up strongly.
- Off Tempo (Offensive Possessions Per Game): Currently ranked 172 of 365 in D1. Trending up strongly.
Defensive Trends:
- Def Reb Pct (Defensive Rebounding): Currently ranked 124 of 365 in D1. Trending up strongly.
- Opp FGM Per Poss (Opp FG Makes Per Possession (%)): Currently ranked 67 of 365 in D1. Trending down strongly.
Monmouth
Record: 2-3 | Elo: 1481.5 (ranked 211 of 365) | Efficiency Margin: +5.23 (ranked 201 of 365)
Offensive Trends:
- Turnovers (Turnovers): Currently ranked 343 of 365 in D1. Trending up strongly.
- Off Reb Pct (Offensive Rebounding): Currently ranked 98 of 365 in D1. Trending up strongly.
Defensive Trends:
- Opp Shooting (Opp Shooting): Currently ranked 50 of 365 in D1. Trending down strongly.
- Opp FGM Per Poss (Opp FG Makes Per Possession (%)): Currently ranked 88 of 365 in D1. Trending down strongly.
NC A&T
Record: 2-1 | Elo: 1378.2 (ranked 332 of 365) | Efficiency Margin: +3.67 (ranked 210 of 365)
Offensive Trends:
- Turnovers (Turnovers): Currently ranked 287 of 365 in D1. Trending up strongly.
- FT Rate (FTA/FGA (%)): Currently ranked 31 of 365 in D1. Trending up strongly.
Defensive Trends:
- Def Reb Pct (Defensive Rebounding): Currently ranked 122 of 365 in D1. Trending up strongly.
- Opp 2PM Per Poss (Opp 2 Point Makes Per Possession (%)): Currently ranked 257 of 365 in D1. Trending down strongly.
Northeastern
Record: 3-3 | Elo: 1496.2 (ranked 189 of 365) | Efficiency Margin: +5.76 (ranked 196 of 365)
Offensive Trends:
- FT Rate (FTA/FGA (%)): Currently ranked 114 of 365 in D1. Trending up strongly.
- Adj Off Eff (Adjusted Offensive Efficiency): Currently ranked 247 of 365 in D1. Trending down strongly.
Defensive Trends:
- Opp Turnovers (Opp Turnovers): Currently ranked 29 of 365 in D1. Trending up strongly.
- Opp FT Rate (Opp FTA/FGA (%)): Currently ranked 327 of 365 in D1. Trending up strongly.
Stony Brook
Record: 4-2 | Elo: 1420.3 (ranked 290 of 365) | Efficiency Margin: -7.18 (ranked 302 of 365)
Offensive Trends:
- Shooting (Shooting): Currently ranked 167 of 365 in D1. Trending up strongly.
- Off Reb Pct (Offensive Rebounding): Currently ranked 56 of 365 in D1. Trending up strongly.
Defensive Trends:
- Def Reb Pct (Defensive Rebounding): Currently ranked 19 of 365 in D1. Trending up strongly.
- Opp FGM Per Poss (Opp FG Makes Per Possession (%)): Currently ranked 46 of 365 in D1. Trending down strongly.
Towson
Record: 4-2 | Elo: 1589.1 (ranked 71 of 365) | Efficiency Margin: +12.89 (ranked 133 of 365)
Offensive Trends:
- Off Reb Pct (Offensive Rebounding): Currently ranked 69 of 365 in D1. Trending up strongly.
- Adj Off Eff (Adjusted Offensive Efficiency): Currently ranked 280 of 365 in D1. Trending down strongly.
Defensive Trends:
- Opp Shooting (Opp Shooting): Currently ranked 64 of 365 in D1. Trending down strongly.
- Def Reb Pct (Defensive Rebounding): Currently ranked 44 of 365 in D1. Trending up strongly.
UNC Wilmington
Record: 4-1 | Elo: 1623.8 (ranked 46 of 365) | Efficiency Margin: +15.01 (ranked 119 of 365)
Offensive Trends:
- FT Rate (FTA/FGA (%)): Currently ranked 67 of 365 in D1. Trending up strongly.
- 2PM Per Poss (2 Point Makes Per Possession (%)): Currently ranked 140 of 365 in D1. Trending down strongly.
Defensive Trends:
- Opp Shooting (Opp Shooting): Currently ranked 79 of 365 in D1. Trending down strongly.
- Opp FGM Per Poss (Opp FG Makes Per Possession (%)): Currently ranked 57 of 365 in D1. Trending down strongly.
William & Mary
Record: 5-2 | Elo: 1490.2 (ranked 200 of 365) | Efficiency Margin: +9.93 (ranked 159 of 365)
Offensive Trends:
- Turnovers (Turnovers): Currently ranked 319 of 365 in D1. Trending up strongly.
- Off Reb Pct (Offensive Rebounding): Currently ranked 55 of 365 in D1. Trending up strongly.
Defensive Trends:
- Opp Shooting (Opp Shooting): Currently ranked 25 of 365 in D1. Trending down strongly.
- Opp FT Rate (Opp FTA/FGA (%)): Currently ranked 175 of 365 in D1. Trending down strongly.

Figure 2: Offensive Four Factors comparison across Colonial teams. The radar chart shows each team’s shooting efficiency (eFG%), ball security (TOV%), offensive rebounding (OREB%), and free throw generation (FT Rate).

Figure 3: Defensive Four Factors comparison across Colonial teams. The radar chart shows each team’s opponent shooting defense (Opp eFG%), ball disruption (forcing TOV%), defensive rebounding (DREB%), and opponent free throw prevention (Opp FT Rate).

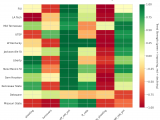
Figure 4: MACD trends heatmap showing which metrics are improving (green) or declining (red) for each team. Stronger colors indicate more pronounced trends.
Looking Ahead
As Colonial teams continue their season, the MACD trending indicators will help identify which teams are genuinely improving versus those riding unsustainable momentum. Check back next week for updated analysis.
Metrics Glossary
Four Factors (Dean Oliver’s framework for basketball success):
- eFG% (Effective Field Goal %): Field goal percentage adjusted for 3-pointers being worth more (FGM + 0.5×3PM) / FGA. Higher is better offensively, lower is better defensively.
- TOV% (Turnover Rate): Turnovers per 100 possessions. Lower is better offensively (taking care of the ball), higher is better defensively (forcing turnovers).
- OREB% / DREB% (Offensive/Defensive Rebound Rate): Percentage of available rebounds grabbed. Offensive rebounds create second-chance points; defensive rebounds end opponent possessions.
- FTR (Free Throw Rate): Free throws made per field goal attempt (FTM/FGA). Measures ability to get to the line AND convert. Higher is better offensively, lower is better defensively.
Other Metrics:
- Elo Rating: Chess-style rating system that updates based on game results and opponent strength. Higher Elo indicates stronger team.
- Efficiency Margin: Point differential per 100 possessions (Offensive Efficiency – Defensive Efficiency). Accounts for pace of play.
- MACD (Moving Average Convergence Divergence): Trend indicator comparing 12-game and 26-game exponential moving averages. Positive MACD = improving trend, Negative MACD = declining trend.
Analysis powered by HoopSci’s advanced metrics and MACD trending indicators.

