Northeast Update: Week 3

Northeast Update: Week 3

November 25, 2025 0 By Neill White

The Northeast enters Week 3 with teams showing diverse trending patterns. This analysis examines each team’s performance trends using MACD (Moving Average Convergence Divergence) indicators to identify not just where teams stand, but where they’re headed.


Figure 1: Efficiency margin trends for Northeast teams throughout the season. Teams trending upward show improving performance, while downward trends indicate struggles.

Conference Snapshot


Team-by-Team Analysis

Brooklyn

Record: 4-3 | Elo: 1458.2 (ranked 248 of 365) | Efficiency Margin: +3.70 (ranked 209 of 365)

Offensive Trends:

  • Shooting (Shooting): Currently ranked 166 of 365 in D1. Trending up strongly.
  • FGA Per Poss (Field Goal Attempts Per Possession (%)): Currently ranked 313 of 365 in D1. Trending down strongly.

Defensive Trends:

  • Opp Shooting (Opp Shooting): Currently ranked 330 of 365 in D1. Trending up strongly.
  • Def Reb Pct (Defensive Rebounding): Currently ranked 354 of 365 in D1. Trending down strongly.

Cent Conn St

Record: 4-2 | Elo: 1564.5 (ranked 95 of 365) | Efficiency Margin: +10.00 (ranked 158 of 365)

Offensive Trends:

  • Off Reb Pct (Offensive Rebounding): Currently ranked 157 of 365 in D1. Trending up strongly.
  • FT Rate (FTA/FGA (%)): Currently ranked 283 of 365 in D1. Trending up strongly.

Defensive Trends:

  • Opp FGA Per Poss (Opp FG Attempts Per Possession (%)): Currently ranked 206 of 365 in D1. Trending down strongly.
  • Opp FTM Per Poss (Opp Free Throw Makes Per Possession (%)): Currently ranked 20 of 365 in D1. Trending up strongly.

Chicago State

Record: 0-6 | Elo: 1318.0 (ranked 362 of 365) | Efficiency Margin: -13.80 (ranked 340 of 365)

Offensive Trends:

  • 2Pt Rate (2 Point Attempts/FGA (%)): Currently ranked 5 of 365 in D1. Trending up strongly.
  • 2PM Per Poss (2 Point Makes Per Possession (%)): Currently ranked 178 of 365 in D1. Trending up strongly.

Defensive Trends:

  • Def Reb Pct (Defensive Rebounding): Currently ranked 356 of 365 in D1. Trending down strongly.
  • Opp FT Rate (Opp FTA/FGA (%)): Currently ranked 358 of 365 in D1. Trending up strongly.

Fair Dickinson

Record: 1-5 | Elo: 1389.7 (ranked 324 of 365) | Efficiency Margin: -12.97 (ranked 335 of 365)

Offensive Trends:

  • Turnovers (Turnovers): Currently ranked 335 of 365 in D1. Trending up strongly.
  • Off Reb Pct (Offensive Rebounding): Currently ranked 142 of 365 in D1. Trending up strongly.

Defensive Trends:

  • Def Reb Pct (Defensive Rebounding): Currently ranked 128 of 365 in D1. Trending up strongly.
  • Opp FGM Per Poss (Opp FG Makes Per Possession (%)): Currently ranked 262 of 365 in D1. Trending down strongly.

Le Moyne

Record: 2-4 | Elo: 1371.7 (ranked 339 of 365) | Efficiency Margin: -4.70 (ranked 285 of 365)

Offensive Trends:

  • Off Reb Pct (Offensive Rebounding): Currently ranked 163 of 365 in D1. Trending up strongly.
  • Assists per FGM (Assists/FGM (%)): Currently ranked 30 of 365 in D1. Trending up strongly.

Defensive Trends:

  • Opp Turnovers (Opp Turnovers): Currently ranked 326 of 365 in D1. Trending down strongly.
  • Opp FT Rate (Opp FTA/FGA (%)): Currently ranked 42 of 365 in D1. Trending down strongly.

Mercyhurst

Record: 3-4 | Elo: 1392.6 (ranked 322 of 365) | Efficiency Margin: +3.55 (ranked 211 of 365)

Offensive Trends:

  • Off Reb Pct (Offensive Rebounding): Currently ranked 196 of 365 in D1. Trending up strongly.
  • FGM Per Poss (Field Goal Makes Per Possession (%)): Currently ranked 148 of 365 in D1. Trending up strongly.

Defensive Trends:

  • Opp Shooting (Opp Shooting): Currently ranked 87 of 365 in D1. Trending down strongly.
  • Opp FGM Per Poss (Opp FG Makes Per Possession (%)): Currently ranked 52 of 365 in D1. Trending down strongly.

New Haven

Record: 3-4 | Elo: 1503.2 (ranked 179 of 365) | Efficiency Margin: -8.66 (ranked 315 of 365)

Offensive Trends:

  • Shooting (Shooting): Currently ranked 280 of 365 in D1. Trending up strongly.
  • Off Reb Pct (Offensive Rebounding): Currently ranked 284 of 365 in D1. Trending up strongly.

Defensive Trends:

  • Opp Shooting (Opp Shooting): Currently ranked 172 of 365 in D1. Trending down strongly.
  • Opp Turnovers (Opp Turnovers): Currently ranked 210 of 365 in D1. Trending down strongly.

St Francis (PA)

Record: 0-5 | Elo: 1397.9 (ranked 318 of 365) | Efficiency Margin: -20.42 (ranked 355 of 365)

Offensive Trends:

  • Shooting (Shooting): Currently ranked 355 of 365 in D1. Trending down strongly.
  • Off Reb Pct (Offensive Rebounding): Currently ranked 352 of 365 in D1. Trending down strongly.

Defensive Trends:

  • Opp Shooting (Opp Shooting): Currently ranked 365 of 365 in D1. Trending up strongly.
  • Opp Turnovers (Opp Turnovers): Currently ranked 51 of 365 in D1. Trending up strongly.

Stonehill

Record: 1-5 | Elo: 1383.0 (ranked 328 of 365) | Efficiency Margin: -4.12 (ranked 279 of 365)

Offensive Trends:

  • Turnovers (Turnovers): Currently ranked 359 of 365 in D1. Trending up strongly.
  • Adj Off Eff (Adjusted Offensive Efficiency): Currently ranked 1 of 365 in D1. Trending up strongly.

Defensive Trends:

  • Opp Turnovers (Opp Turnovers): Currently ranked 354 of 365 in D1. Trending down strongly.
  • Opp 2PA Per Poss (Opp 2 Point Attempts Per Possession (%)): Currently ranked 118 of 365 in D1. Trending down strongly.

Wagner

Record: 0-4 | Elo: 1407.8 (ranked 306 of 365) | Efficiency Margin: -4.27 (ranked 281 of 365)

Offensive Trends:

  • Assists per FGM (Assists/FGM (%)): Currently ranked 301 of 365 in D1. Trending down strongly.
  • Off Tempo (Offensive Possessions Per Game): Currently ranked 169 of 365 in D1. Trending up strongly.

Defensive Trends:

  • Def Reb Pct (Defensive Rebounding): Currently ranked 302 of 365 in D1. Trending down strongly.
  • Opp FTM Per Poss (Opp Free Throw Makes Per Possession (%)): Currently ranked 356 of 365 in D1. Trending up strongly.


Figure 2: Offensive Four Factors comparison across Northeast teams. The radar chart shows each team’s shooting efficiency (eFG%), ball security (TOV%), offensive rebounding (OREB%), and free throw generation (FT Rate).


Figure 3: Defensive Four Factors comparison across Northeast teams. The radar chart shows each team’s opponent shooting defense (Opp eFG%), ball disruption (forcing TOV%), defensive rebounding (DREB%), and opponent free throw prevention (Opp FT Rate).


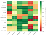
Figure 4: MACD trends heatmap showing which metrics are improving (green) or declining (red) for each team. Stronger colors indicate more pronounced trends.


Looking Ahead

As Northeast teams continue their season, the MACD trending indicators will help identify which teams are genuinely improving versus those riding unsustainable momentum. Check back next week for updated analysis.


Metrics Glossary

Four Factors (Dean Oliver’s framework for basketball success):

  • eFG% (Effective Field Goal %): Field goal percentage adjusted for 3-pointers being worth more (FGM + 0.5×3PM) / FGA. Higher is better offensively, lower is better defensively.
  • TOV% (Turnover Rate): Turnovers per 100 possessions. Lower is better offensively (taking care of the ball), higher is better defensively (forcing turnovers).
  • OREB% / DREB% (Offensive/Defensive Rebound Rate): Percentage of available rebounds grabbed. Offensive rebounds create second-chance points; defensive rebounds end opponent possessions.
  • FTR (Free Throw Rate): Free throws made per field goal attempt (FTM/FGA). Measures ability to get to the line AND convert. Higher is better offensively, lower is better defensively.

Other Metrics:

  • Elo Rating: Chess-style rating system that updates based on game results and opponent strength. Higher Elo indicates stronger team.
  • Efficiency Margin: Point differential per 100 possessions (Offensive Efficiency – Defensive Efficiency). Accounts for pace of play.
  • MACD (Moving Average Convergence Divergence): Trend indicator comparing 12-game and 26-game exponential moving averages. Positive MACD = improving trend, Negative MACD = declining trend.

Analysis powered by HoopSci’s advanced metrics and MACD trending indicators.