Ohio Valley Update: Week 3
November 25, 2025The Ohio Valley enters Week 3 with teams showing diverse trending patterns. This analysis examines each team’s performance trends using MACD (Moving Average Convergence Divergence) indicators to identify not just where teams stand, but where they’re headed.

Figure 1: Efficiency margin trends for Ohio Valley teams throughout the season. Teams trending upward show improving performance, while downward trends indicate struggles.
Conference Snapshot
- Week Dates: November 17 – November 23, 2025
- Trending Up (Efficiency): Morehead State, SE Missouri St, UT Martin, Tenn Tech, Southern Indiana
- Trending Down (Efficiency): E Illinois, SIUE, Tennessee St, Lindenwood, Little Rock
Team-by-Team Analysis
E Illinois
Record: 1-3 | Elo: 1400.4 (ranked 317 of 365) | Efficiency Margin: -0.53 (ranked 241 of 365)
Offensive Trends:
- Shooting (Shooting): Currently ranked 361 of 365 in D1. Trending down strongly.
- Off Reb Pct (Offensive Rebounding): Currently ranked 349 of 365 in D1. Trending down strongly.
Defensive Trends:
- Def Reb Pct (Defensive Rebounding): Currently ranked 360 of 365 in D1. Trending down strongly.
- Opp FGM Per Poss (Opp FG Makes Per Possession (%)): Currently ranked 318 of 365 in D1. Trending up strongly.
Lindenwood
Record: 3-4 | Elo: 1416.4 (ranked 295 of 365) | Efficiency Margin: -13.09 (ranked 336 of 365)
Offensive Trends:
- Adj Off Eff (Adjusted Offensive Efficiency): Currently ranked 356 of 365 in D1. Trending down strongly.
- Assists per FGM (Assists/FGM (%)): Currently ranked 195 of 365 in D1. Trending up strongly.
Defensive Trends:
- Opp Assists per FGM (Opp Assists/FGM (%)): Currently ranked 313 of 365 in D1. Trending up strongly.
- Opp Off Tempo (Opp Offensive Possessions Per Game): Currently ranked 8 of 365 in D1. Trending up strongly.
Little Rock
Record: 2-4 | Elo: 1474.2 (ranked 218 of 365) | Efficiency Margin: -7.55 (ranked 306 of 365)
Offensive Trends:
- Turnovers (Turnovers): Currently ranked 363 of 365 in D1. Trending up strongly.
- Off Reb Pct (Offensive Rebounding): Currently ranked 70 of 365 in D1. Trending up strongly.
Defensive Trends:
- Opp Shooting (Opp Shooting): Currently ranked 282 of 365 in D1. Trending up strongly.
- Opp FGM Per Poss (Opp FG Makes Per Possession (%)): Currently ranked 247 of 365 in D1. Trending up strongly.
Morehead State
Record: 3-4 | Elo: 1461.9 (ranked 242 of 365) | Efficiency Margin: -7.66 (ranked 307 of 365)
Offensive Trends:
- Off Reb Pct (Offensive Rebounding): Currently ranked 18 of 365 in D1. Trending up strongly.
- FGM Per Poss (Field Goal Makes Per Possession (%)): Currently ranked 90 of 365 in D1. Trending up strongly.
Defensive Trends:
- Opp Shooting (Opp Shooting): Currently ranked 54 of 365 in D1. Trending down strongly.
- Def Reb Pct (Defensive Rebounding): Currently ranked 273 of 365 in D1. Trending down strongly.
SE Missouri St
Record: 1-4 | Elo: 1459.1 (ranked 246 of 365) | Efficiency Margin: -3.56 (ranked 274 of 365)
Offensive Trends:
- Turnovers (Turnovers): Currently ranked 168 of 365 in D1. Trending up strongly.
- Off Reb Pct (Offensive Rebounding): Currently ranked 153 of 365 in D1. Trending up strongly.
Defensive Trends:
- Opp Shooting (Opp Shooting): Currently ranked 315 of 365 in D1. Trending up strongly.
- Opp FT Rate (Opp FTA/FGA (%)): Currently ranked 341 of 365 in D1. Trending up strongly.
SIUE
Record: 4-3 | Elo: 1515.3 (ranked 165 of 365) | Efficiency Margin: +5.12 (ranked 202 of 365)
Offensive Trends:
- Adj Off Eff (Adjusted Offensive Efficiency): Currently ranked 281 of 365 in D1. Trending down strongly.
- Assists per FGM (Assists/FGM (%)): Currently ranked 344 of 365 in D1. Trending down strongly.
Defensive Trends:
- Opp Turnovers (Opp Turnovers): Currently ranked 320 of 365 in D1. Trending down strongly.
- Def Reb Pct (Defensive Rebounding): Currently ranked 195 of 365 in D1. Trending down strongly.
Southern Indiana
Record: 1-5 | Elo: 1330.9 (ranked 356 of 365) | Efficiency Margin: -4.23 (ranked 280 of 365)
Offensive Trends:
- 2Pt Rate (2 Point Attempts/FGA (%)): Currently ranked 214 of 365 in D1. Trending down strongly.
- 2Pt Pct (2 Point FGM/FGA (%)): Currently ranked 255 of 365 in D1. Trending up strongly.
Defensive Trends:
- Opp Shooting (Opp Shooting): Currently ranked 113 of 365 in D1. Trending down strongly.
- Opp FGM Per Poss (Opp FG Makes Per Possession (%)): Currently ranked 119 of 365 in D1. Trending down strongly.
Tenn Tech
Record: 3-3 | Elo: 1404.9 (ranked 311 of 365) | Efficiency Margin: -2.24 (ranked 262 of 365)
Offensive Trends:
- Turnovers (Turnovers): Currently ranked 353 of 365 in D1. Trending up strongly.
- Off Reb Pct (Offensive Rebounding): Currently ranked 37 of 365 in D1. Trending up strongly.
Defensive Trends:
- Opp Shooting (Opp Shooting): Currently ranked 15 of 365 in D1. Trending down strongly.
- Def Reb Pct (Defensive Rebounding): Currently ranked 46 of 365 in D1. Trending up strongly.
Tennessee St
Record: 2-3 | Elo: 1458.0 (ranked 250 of 365) | Efficiency Margin: -1.44 (ranked 251 of 365)
Offensive Trends:
- Off Reb Pct (Offensive Rebounding): Currently ranked 12 of 365 in D1. Trending up strongly.
- FGM Per Poss (Field Goal Makes Per Possession (%)): Currently ranked 260 of 365 in D1. Trending down strongly.
Defensive Trends:
- Opp Shooting (Opp Shooting): Currently ranked 20 of 365 in D1. Trending down strongly.
- Opp FGM Per Poss (Opp FG Makes Per Possession (%)): Currently ranked 13 of 365 in D1. Trending down strongly.
UT Martin
Record: 4-2 | Elo: 1462.4 (ranked 240 of 365) | Efficiency Margin: +7.13 (ranked 182 of 365)
Offensive Trends:
- Shooting (Shooting): Currently ranked 56 of 365 in D1. Trending up strongly.
- Turnovers (Turnovers): Currently ranked 362 of 365 in D1. Trending up strongly.
Defensive Trends:
- Opp Shooting (Opp Shooting): Currently ranked 78 of 365 in D1. Trending down strongly.
- Opp Turnovers (Opp Turnovers): Currently ranked 255 of 365 in D1. Trending down strongly.
W Illinois
Record: 1-6 | Elo: 1376.4 (ranked 333 of 365) | Efficiency Margin: -8.01 (ranked 310 of 365)
Offensive Trends:
- Off Reb Pct (Offensive Rebounding): Currently ranked 203 of 365 in D1. Trending up strongly.
- FGA Per Poss (Field Goal Attempts Per Possession (%)): Currently ranked 280 of 365 in D1. Trending down strongly.
Defensive Trends:
- Opp Shooting (Opp Shooting): Currently ranked 179 of 365 in D1. Trending down strongly.
- Opp FGM Per Poss (Opp FG Makes Per Possession (%)): Currently ranked 232 of 365 in D1. Trending down strongly.

Figure 2: Offensive Four Factors comparison across Ohio Valley teams. The radar chart shows each team’s shooting efficiency (eFG%), ball security (TOV%), offensive rebounding (OREB%), and free throw generation (FT Rate).

Figure 3: Defensive Four Factors comparison across Ohio Valley teams. The radar chart shows each team’s opponent shooting defense (Opp eFG%), ball disruption (forcing TOV%), defensive rebounding (DREB%), and opponent free throw prevention (Opp FT Rate).

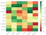
Figure 4: MACD trends heatmap showing which metrics are improving (green) or declining (red) for each team. Stronger colors indicate more pronounced trends.
Looking Ahead
As Ohio Valley teams continue their season, the MACD trending indicators will help identify which teams are genuinely improving versus those riding unsustainable momentum. Check back next week for updated analysis.
Metrics Glossary
Four Factors (Dean Oliver’s framework for basketball success):
- eFG% (Effective Field Goal %): Field goal percentage adjusted for 3-pointers being worth more (FGM + 0.5×3PM) / FGA. Higher is better offensively, lower is better defensively.
- TOV% (Turnover Rate): Turnovers per 100 possessions. Lower is better offensively (taking care of the ball), higher is better defensively (forcing turnovers).
- OREB% / DREB% (Offensive/Defensive Rebound Rate): Percentage of available rebounds grabbed. Offensive rebounds create second-chance points; defensive rebounds end opponent possessions.
- FTR (Free Throw Rate): Free throws made per field goal attempt (FTM/FGA). Measures ability to get to the line AND convert. Higher is better offensively, lower is better defensively.
Other Metrics:
- Elo Rating: Chess-style rating system that updates based on game results and opponent strength. Higher Elo indicates stronger team.
- Efficiency Margin: Point differential per 100 possessions (Offensive Efficiency – Defensive Efficiency). Accounts for pace of play.
- MACD (Moving Average Convergence Divergence): Trend indicator comparing 12-game and 26-game exponential moving averages. Positive MACD = improving trend, Negative MACD = declining trend.
Analysis powered by HoopSci’s advanced metrics and MACD trending indicators.

