Patriot League Update: Week 3

Patriot League Update: Week 3

November 25, 2025 0 By Neill White

The Patriot League enters Week 3 with teams showing diverse trending patterns. This analysis examines each team’s performance trends using MACD (Moving Average Convergence Divergence) indicators to identify not just where teams stand, but where they’re headed.


Figure 1: Efficiency margin trends for Patriot League teams throughout the season. Teams trending upward show improving performance, while downward trends indicate struggles.

Conference Snapshot


Team-by-Team Analysis

American

Record: 3-3 | Elo: 1497.2 (ranked 187 of 365) | Efficiency Margin: -5.53 (ranked 292 of 365)

Offensive Trends:

  • Shooting (Shooting): Currently ranked 96 of 365 in D1. Trending up strongly.
  • Off Reb Pct (Offensive Rebounding): Currently ranked 62 of 365 in D1. Trending up strongly.

Defensive Trends:

  • Opp Shooting (Opp Shooting): Currently ranked 57 of 365 in D1. Trending down strongly.
  • Opp Turnovers (Opp Turnovers): Currently ranked 309 of 365 in D1. Trending down strongly.

Army

Record: 1-5 | Elo: 1409.8 (ranked 304 of 365) | Efficiency Margin: -15.79 (ranked 345 of 365)

Offensive Trends:

  • Shooting (Shooting): Currently ranked 345 of 365 in D1. Trending down strongly.
  • Adj Off Eff (Adjusted Offensive Efficiency): Currently ranked 332 of 365 in D1. Trending down strongly.

Defensive Trends:

  • Opp FG Pct (%) (Opp FGM/FGA (%)): Currently ranked 345 of 365 in D1. Trending up strongly.
  • Opp 2Pt Pct (Opp 2 Point FGM/FGA (%)): Currently ranked 349 of 365 in D1. Trending up strongly.

Boston U

Record: 3-3 | Elo: 1471.6 (ranked 224 of 365) | Efficiency Margin: -1.14 (ranked 248 of 365)

Offensive Trends:

  • Shooting (Shooting): Currently ranked 95 of 365 in D1. Trending up strongly.
  • Off Reb Pct (Offensive Rebounding): Currently ranked 323 of 365 in D1. Trending down strongly.

Defensive Trends:

  • Opp Shooting (Opp Shooting): Currently ranked 352 of 365 in D1. Trending up strongly.
  • Opp FGM Per Poss (Opp FG Makes Per Possession (%)): Currently ranked 353 of 365 in D1. Trending up strongly.

Bucknell

Record: 2-5 | Elo: 1471.8 (ranked 223 of 365) | Efficiency Margin: -6.68 (ranked 299 of 365)

Offensive Trends:

  • Shooting (Shooting): Currently ranked 330 of 365 in D1. Trending down strongly.
  • Turnovers (Turnovers): Currently ranked 323 of 365 in D1. Trending up strongly.

Defensive Trends:

  • Opp Shooting (Opp Shooting): Currently ranked 326 of 365 in D1. Trending up strongly.
  • Opp Turnovers (Opp Turnovers): Currently ranked 55 of 365 in D1. Trending up strongly.

Colgate

Record: 2-4 | Elo: 1493.2 (ranked 193 of 365) | Efficiency Margin: +10.05 (ranked 157 of 365)

Offensive Trends:

  • Off Reb Pct (Offensive Rebounding): Currently ranked 362 of 365 in D1. Trending down strongly.
  • 2Pt Rate (2 Point Attempts/FGA (%)): Currently ranked 39 of 365 in D1. Trending up strongly.

Defensive Trends:

  • Def Reb Pct (Defensive Rebounding): Currently ranked 349 of 365 in D1. Trending down strongly.
  • Opp FT Rate (Opp FTA/FGA (%)): Currently ranked 292 of 365 in D1. Trending up strongly.

Holy Cross

Record: 1-6 | Elo: 1370.0 (ranked 340 of 365) | Efficiency Margin: -10.78 (ranked 326 of 365)

Offensive Trends:

  • Adj Off Eff (Adjusted Offensive Efficiency): Currently ranked 296 of 365 in D1. Trending down strongly.
  • FGA Per Poss (Field Goal Attempts Per Possession (%)): Currently ranked 257 of 365 in D1. Trending down strongly.

Defensive Trends:

  • Opp Shooting (Opp Shooting): Currently ranked 354 of 365 in D1. Trending up strongly.
  • Opp FGM Per Poss (Opp FG Makes Per Possession (%)): Currently ranked 363 of 365 in D1. Trending up strongly.

Lafayette

Record: 1-4 | Elo: 1381.3 (ranked 329 of 365) | Efficiency Margin: -9.78 (ranked 322 of 365)

Offensive Trends:

  • Turnovers (Turnovers): Currently ranked 297 of 365 in D1. Trending up strongly.
  • Off Reb Pct (Offensive Rebounding): Currently ranked 161 of 365 in D1. Trending up strongly.

Defensive Trends:

  • Opp Turnovers (Opp Turnovers): Currently ranked 332 of 365 in D1. Trending down strongly.
  • Def Reb Pct (Defensive Rebounding): Currently ranked 326 of 365 in D1. Trending down strongly.

Lehigh

Record: 2-4 | Elo: 1404.8 (ranked 312 of 365) | Efficiency Margin: -2.72 (ranked 270 of 365)

Offensive Trends:

  • Turnovers (Turnovers): Currently ranked 267 of 365 in D1. Trending up strongly.
  • Off Reb Pct (Offensive Rebounding): Currently ranked 266 of 365 in D1. Trending up strongly.

Defensive Trends:

  • Def Reb Pct (Defensive Rebounding): Currently ranked 282 of 365 in D1. Trending down strongly.
  • Opp FGA Per Poss (Opp FG Attempts Per Possession (%)): Currently ranked 127 of 365 in D1. Trending down strongly.

Loyola (MD)

Record: 2-5 | Elo: 1369.6 (ranked 341 of 365) | Efficiency Margin: -18.43 (ranked 351 of 365)

Offensive Trends:

  • Adj Off Eff (Adjusted Offensive Efficiency): Currently ranked 2 of 365 in D1. Trending up strongly.
  • 2Pt Rate (2 Point Attempts/FGA (%)): Currently ranked 279 of 365 in D1. Trending down strongly.

Defensive Trends:

  • Def Reb Pct (Defensive Rebounding): Currently ranked 297 of 365 in D1. Trending down strongly.
  • Opp FGM Per Poss (Opp FG Makes Per Possession (%)): Currently ranked 284 of 365 in D1. Trending up strongly.

Navy

Record: 3-3 | Elo: 1462.8 (ranked 239 of 365) | Efficiency Margin: +7.95 (ranked 174 of 365)

Offensive Trends:

  • Off Reb Pct (Offensive Rebounding): Currently ranked 162 of 365 in D1. Trending up strongly.
  • FT Rate (FTA/FGA (%)): Currently ranked 78 of 365 in D1. Trending up strongly.

Defensive Trends:

  • Opp Shooting (Opp Shooting): Currently ranked 110 of 365 in D1. Trending down strongly.
  • Opp FGM Per Poss (Opp FG Makes Per Possession (%)): Currently ranked 123 of 365 in D1. Trending down strongly.


Figure 2: Offensive Four Factors comparison across Patriot League teams. The radar chart shows each team’s shooting efficiency (eFG%), ball security (TOV%), offensive rebounding (OREB%), and free throw generation (FT Rate).


Figure 3: Defensive Four Factors comparison across Patriot League teams. The radar chart shows each team’s opponent shooting defense (Opp eFG%), ball disruption (forcing TOV%), defensive rebounding (DREB%), and opponent free throw prevention (Opp FT Rate).


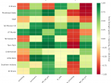
Figure 4: MACD trends heatmap showing which metrics are improving (green) or declining (red) for each team. Stronger colors indicate more pronounced trends.


Looking Ahead

As Patriot League teams continue their season, the MACD trending indicators will help identify which teams are genuinely improving versus those riding unsustainable momentum. Check back next week for updated analysis.


Metrics Glossary

Four Factors (Dean Oliver’s framework for basketball success):

  • eFG% (Effective Field Goal %): Field goal percentage adjusted for 3-pointers being worth more (FGM + 0.5×3PM) / FGA. Higher is better offensively, lower is better defensively.
  • TOV% (Turnover Rate): Turnovers per 100 possessions. Lower is better offensively (taking care of the ball), higher is better defensively (forcing turnovers).
  • OREB% / DREB% (Offensive/Defensive Rebound Rate): Percentage of available rebounds grabbed. Offensive rebounds create second-chance points; defensive rebounds end opponent possessions.
  • FTR (Free Throw Rate): Free throws made per field goal attempt (FTM/FGA). Measures ability to get to the line AND convert. Higher is better offensively, lower is better defensively.

Other Metrics:

  • Elo Rating: Chess-style rating system that updates based on game results and opponent strength. Higher Elo indicates stronger team.
  • Efficiency Margin: Point differential per 100 possessions (Offensive Efficiency – Defensive Efficiency). Accounts for pace of play.
  • MACD (Moving Average Convergence Divergence): Trend indicator comparing 12-game and 26-game exponential moving averages. Positive MACD = improving trend, Negative MACD = declining trend.

Analysis powered by HoopSci’s advanced metrics and MACD trending indicators.