Sun Belt Update: Week 3
November 25, 2025The Sun Belt enters Week 3 with teams showing diverse trending patterns. This analysis examines each team’s performance trends using MACD (Moving Average Convergence Divergence) indicators to identify not just where teams stand, but where they’re headed.

Figure 1: Efficiency margin trends for Sun Belt teams throughout the season. Teams trending upward show improving performance, while downward trends indicate struggles.
Conference Snapshot
- Week Dates: November 17 – November 23, 2025
- Trending Up (Efficiency): South Alabama, Texas State, UL Monroe, James Madison, Marshall
- Trending Down (Efficiency): Appalachian St, Arkansas State, C. Carolina, Ga Southern, Georgia State
Team-by-Team Analysis
Appalachian St
Record: 4-3 | Elo: 1516.3 (ranked 164 of 365) | Efficiency Margin: -2.33 (ranked 264 of 365)
Offensive Trends:
- FT Rate (FTA/FGA (%)): Currently ranked 106 of 365 in D1. Trending up strongly.
- 2Pt Rate (2 Point Attempts/FGA (%)): Currently ranked 303 of 365 in D1. Trending down strongly.
Defensive Trends:
- Opp Shooting (Opp Shooting): Currently ranked 140 of 365 in D1. Trending up strongly.
- Def Reb Pct (Defensive Rebounding): Currently ranked 266 of 365 in D1. Trending down strongly.
Arkansas State
Record: 3-3 | Elo: 1576.8 (ranked 82 of 365) | Efficiency Margin: +1.40 (ranked 229 of 365)
Offensive Trends:
- Turnovers (Turnovers): Currently ranked 357 of 365 in D1. Trending up strongly.
- Adj Off Eff (Adjusted Offensive Efficiency): Currently ranked 239 of 365 in D1. Trending down strongly.
Defensive Trends:
- Opp Shooting (Opp Shooting): Currently ranked 333 of 365 in D1. Trending up strongly.
- Opp FT Rate (Opp FTA/FGA (%)): Currently ranked 330 of 365 in D1. Trending up strongly.
C. Carolina
Record: 4-3 | Elo: 1391.1 (ranked 323 of 365) | Efficiency Margin: -0.92 (ranked 245 of 365)
Offensive Trends:
- Shooting (Shooting): Currently ranked 260 of 365 in D1. Trending down strongly.
- Turnovers (Turnovers): Currently ranked 104 of 365 in D1. Trending down strongly.
Defensive Trends:
- Opp Shooting (Opp Shooting): Currently ranked 67 of 365 in D1. Trending down strongly.
- Opp FGM Per Poss (Opp FG Makes Per Possession (%)): Currently ranked 72 of 365 in D1. Trending down strongly.
Ga Southern
Record: 3-4 | Elo: 1463.4 (ranked 236 of 365) | Efficiency Margin: +9.43 (ranked 165 of 365)
Offensive Trends:
- FGM Per Poss (Field Goal Makes Per Possession (%)): Currently ranked 242 of 365 in D1. Trending down strongly.
- FTM Per Poss (Free Throw Makes Per Possession (%)): Currently ranked 170 of 365 in D1. Trending up strongly.
Defensive Trends:
- Opp Shooting (Opp Shooting): Currently ranked 165 of 365 in D1. Trending down strongly.
- Opp FT Rate (Opp FTA/FGA (%)): Currently ranked 232 of 365 in D1. Trending down strongly.
Georgia State
Record: 1-5 | Elo: 1415.9 (ranked 296 of 365) | Efficiency Margin: -9.01 (ranked 318 of 365)
Offensive Trends:
- Shooting (Shooting): Currently ranked 353 of 365 in D1. Trending down strongly.
- Adj Off Eff (Adjusted Offensive Efficiency): Currently ranked 348 of 365 in D1. Trending down strongly.
Defensive Trends:
- Opp FGM Per Poss (Opp FG Makes Per Possession (%)): Currently ranked 220 of 365 in D1. Trending down strongly.
- Opp FGA Per Poss (Opp FG Attempts Per Possession (%)): Currently ranked 156 of 365 in D1. Trending down strongly.
James Madison
Record: 4-3 | Elo: 1535.1 (ranked 130 of 365) | Efficiency Margin: -1.93 (ranked 261 of 365)
Offensive Trends:
- Adj Off Eff (Adjusted Offensive Efficiency): Currently ranked 171 of 365 in D1. Trending down strongly.
- Steals Per Poss (Steals Per Possession): Currently ranked 331 of 365 in D1. Trending down strongly.
Defensive Trends:
- Def Reb Pct (Defensive Rebounding): Currently ranked 261 of 365 in D1. Trending down strongly.
- Opp FT Rate (Opp FTA/FGA (%)): Currently ranked 326 of 365 in D1. Trending up strongly.
Louisiana
Record: 1-6 | Elo: 1429.5 (ranked 279 of 365) | Efficiency Margin: -17.01 (ranked 346 of 365)
Offensive Trends:
- Shooting (Shooting): Currently ranked 349 of 365 in D1. Trending down strongly.
- Turnovers (Turnovers): Currently ranked 245 of 365 in D1. Trending up strongly.
Defensive Trends:
- Opp Shooting (Opp Shooting): Currently ranked 343 of 365 in D1. Trending up strongly.
- Opp Turnovers (Opp Turnovers): Currently ranked 160 of 365 in D1. Trending down strongly.
Marshall
Record: 5-1 | Elo: 1546.4 (ranked 112 of 365) | Efficiency Margin: +15.73 (ranked 114 of 365)
Offensive Trends:
- Shooting (Shooting): Currently ranked 29 of 365 in D1. Trending up strongly.
- 2Pt Rate (2 Point Attempts/FGA (%)): Currently ranked 350 of 365 in D1. Trending down strongly.
Defensive Trends:
- Opp 3Pt Pct (Opp 3 Point FGM/FGA (%)): Currently ranked 67 of 365 in D1. Trending down strongly.
- Opp Off Tempo (Opp Offensive Possessions Per Game): Currently ranked 89 of 365 in D1. Trending up strongly.
Old Dominion
Record: 3-4 | Elo: 1430.4 (ranked 278 of 365) | Efficiency Margin: -0.39 (ranked 240 of 365)
Offensive Trends:
- Shooting (Shooting): Currently ranked 220 of 365 in D1. Trending up strongly.
- FG Pct (Field Goal Percentage (FGM/FGA)): Currently ranked 209 of 365 in D1. Trending up strongly.
Defensive Trends:
- Opp Shooting (Opp Shooting): Currently ranked 127 of 365 in D1. Trending down strongly.
- Def Reb Pct (Defensive Rebounding): Currently ranked 277 of 365 in D1. Trending down strongly.
South Alabama
Record: 6-1 | Elo: 1565.8 (ranked 93 of 365) | Efficiency Margin: +6.29 (ranked 191 of 365)
Offensive Trends:
- Turnovers (Turnovers): Currently ranked 10 of 365 in D1. Trending down strongly.
- FT Rate (FTA/FGA (%)): Currently ranked 153 of 365 in D1. Trending up strongly.
Defensive Trends:
- Opp FT Pct (Opp FTM/FTA (%)): Currently ranked 27 of 365 in D1. Trending down strongly.
- Opp Assists per FGM (Opp Assists/FGM (%)): Currently ranked 365 of 365 in D1. Trending up strongly.
Southern Miss
Record: 4-3 | Elo: 1418.3 (ranked 292 of 365) | Efficiency Margin: +2.61 (ranked 217 of 365)
Offensive Trends:
- Shooting (Shooting): Currently ranked 106 of 365 in D1. Trending up strongly.
- Turnovers (Turnovers): Currently ranked 115 of 365 in D1. Trending down strongly.
Defensive Trends:
- Def Reb Pct (Defensive Rebounding): Currently ranked 22 of 365 in D1. Trending up strongly.
- Opp FGM Per Poss (Opp FG Makes Per Possession (%)): Currently ranked 59 of 365 in D1. Trending down strongly.
Texas State
Record: 6-2 | Elo: 1499.4 (ranked 183 of 365) | Efficiency Margin: +7.85 (ranked 175 of 365)
Offensive Trends:
- Turnovers (Turnovers): Currently ranked 341 of 365 in D1. Trending up strongly.
- Off Reb Pct (Offensive Rebounding): Currently ranked 36 of 365 in D1. Trending up strongly.
Defensive Trends:
- Opp Shooting (Opp Shooting): Currently ranked 32 of 365 in D1. Trending down strongly.
- Def Reb Pct (Defensive Rebounding): Currently ranked 32 of 365 in D1. Trending up strongly.
Troy
Record: 4-4 | Elo: 1573.5 (ranked 84 of 365) | Efficiency Margin: +10.62 (ranked 152 of 365)
Offensive Trends:
- FT Pct (FTM/FTA (%)): Currently ranked 62 of 365 in D1. Trending up strongly.
- Balls Blocked Per FGA (Balls Blocked Per Shot Attempt): Currently ranked 319 of 365 in D1. Trending up strongly.
Defensive Trends:
- Opp Shooting (Opp Shooting): Currently ranked 193 of 365 in D1. Trending up strongly.
- Opp FT Rate (Opp FTA/FGA (%)): Currently ranked 197 of 365 in D1. Trending up strongly.
UL Monroe
Record: 1-6 | Elo: 1320.2 (ranked 360 of 365) | Efficiency Margin: -21.38 (ranked 359 of 365)
Offensive Trends:
- 2Pt Rate (2 Point Attempts/FGA (%)): Currently ranked 208 of 365 in D1. Trending down strongly.
- 2PA Per Poss (2 Point Attempts Per Possession (%)): Currently ranked 240 of 365 in D1. Trending down strongly.
Defensive Trends:
- Def Reb Pct (Defensive Rebounding): Currently ranked 346 of 365 in D1. Trending down strongly.
- Opp FGM Per Poss (Opp FG Makes Per Possession (%)): Currently ranked 329 of 365 in D1. Trending up strongly.

Figure 2: Offensive Four Factors comparison across Sun Belt teams. The radar chart shows each team’s shooting efficiency (eFG%), ball security (TOV%), offensive rebounding (OREB%), and free throw generation (FT Rate).

Figure 3: Defensive Four Factors comparison across Sun Belt teams. The radar chart shows each team’s opponent shooting defense (Opp eFG%), ball disruption (forcing TOV%), defensive rebounding (DREB%), and opponent free throw prevention (Opp FT Rate).

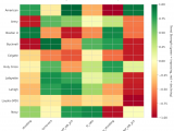
Figure 4: MACD trends heatmap showing which metrics are improving (green) or declining (red) for each team. Stronger colors indicate more pronounced trends.
Looking Ahead
As Sun Belt teams continue their season, the MACD trending indicators will help identify which teams are genuinely improving versus those riding unsustainable momentum. Check back next week for updated analysis.
Metrics Glossary
Four Factors (Dean Oliver’s framework for basketball success):
- eFG% (Effective Field Goal %): Field goal percentage adjusted for 3-pointers being worth more (FGM + 0.5×3PM) / FGA. Higher is better offensively, lower is better defensively.
- TOV% (Turnover Rate): Turnovers per 100 possessions. Lower is better offensively (taking care of the ball), higher is better defensively (forcing turnovers).
- OREB% / DREB% (Offensive/Defensive Rebound Rate): Percentage of available rebounds grabbed. Offensive rebounds create second-chance points; defensive rebounds end opponent possessions.
- FTR (Free Throw Rate): Free throws made per field goal attempt (FTM/FGA). Measures ability to get to the line AND convert. Higher is better offensively, lower is better defensively.
Other Metrics:
- Elo Rating: Chess-style rating system that updates based on game results and opponent strength. Higher Elo indicates stronger team.
- Efficiency Margin: Point differential per 100 possessions (Offensive Efficiency – Defensive Efficiency). Accounts for pace of play.
- MACD (Moving Average Convergence Divergence): Trend indicator comparing 12-game and 26-game exponential moving averages. Positive MACD = improving trend, Negative MACD = declining trend.
Analysis powered by HoopSci’s advanced metrics and MACD trending indicators.

