MAAC Update: Week 9
January 5, 2026The MAAC enters Week 9 with teams showing diverse trending patterns. This analysis examines each team’s performance trends using MACD (Moving Average Convergence Divergence) indicators to identify not just where teams stand, but where they’re headed.

Figure 1: Efficiency margin trends for MAAC teams throughout the season. Teams trending upward show improving performance, while downward trends indicate struggles.
Conference Snapshot
- Week Dates: December 29 – January 04, 2026
- Trending Up (Efficiency): Fairfield, Niagara, St Peter’s, Merrimack
- Trending Down (Efficiency): Canisius, Iona, Manhattan, Marist, Quinnipiac
Team-by-Team Analysis
Canisius
Record: 7-8 | Elo: 1380.3 (ranked 323 of 365) | Efficiency Margin: -22.87 (ranked 337 of 365)
Offensive Trends:
- FT Rate (FTA/FGA (%)): Currently ranked 103 of 365 in D1. Trending up strongly 🟢.
- FGM Per Poss (Field Goal Makes Per Possession (%)): Currently ranked 348 of 365 in D1. Trending down strongly 🔴.
Defensive Trends:
- Def Reb Pct (Defensive Rebounding): Currently ranked 223 of 365 in D1. Trending up strongly 🟢.
- Opp FGM Per Poss (Opp FG Makes Per Possession (%)): Currently ranked 245 of 365 in D1. Trending down strongly 🟢.
Fairfield
Record: 9-7 | Elo: 1470.5 (ranked 233 of 365) | Efficiency Margin: -9.40 (ranked 243 of 365)
Offensive Trends:
- Shooting (Shooting): Currently ranked 271 of 365 in D1. Trending up strongly 🟢.
- Turnovers (Turnovers): Currently ranked 74 of 365 in D1. Trending down strongly 🟢.
Defensive Trends:
- Opp Turnovers (Opp Turnovers): Currently ranked 327 of 365 in D1. Trending down strongly 🟢.
- Opp FGM Per Poss (Opp FG Makes Per Possession (%)): Currently ranked 292 of 365 in D1. Trending up strongly 🔴.
Iona
Record: 10-6 | Elo: 1548.5 (ranked 118 of 365) | Efficiency Margin: -3.37 (ranked 187 of 365)
Offensive Trends:
- Shooting (Shooting): Currently ranked 159 of 365 in D1. Trending down strongly 🔴.
- Turnovers (Turnovers): Currently ranked 181 of 365 in D1. Trending up strongly 🔴.
Defensive Trends:
- Opp Turnovers (Opp Turnovers): Currently ranked 185 of 365 in D1. Trending down strongly 🟢.
- Def Reb Pct (Defensive Rebounding): Currently ranked 183 of 365 in D1. Trending up strongly 🟢.
Manhattan
Record: 7-9 | Elo: 1450.7 (ranked 250 of 365) | Efficiency Margin: -18.92 (ranked 316 of 365)
Offensive Trends:
- FGA Per Poss (Field Goal Attempts Per Possession (%)): Currently ranked 222 of 365 in D1. Trending up strongly 🟢.
- 2Pt Rate (2 Point Attempts/FGA (%)): Currently ranked 99 of 365 in D1. Trending up strongly 🟢.
Defensive Trends:
- Opp Turnovers (Opp Turnovers): Currently ranked 157 of 365 in D1. Trending up moderately 🔴.
- Def Reb Pct (Defensive Rebounding): Currently ranked 357 of 365 in D1. Trending down moderately 🔴.
Marist
Record: 9-5 | Elo: 1536.4 (ranked 129 of 365) | Efficiency Margin: +11.81 (ranked 77 of 365)
Offensive Trends:
- Turnovers (Turnovers): Currently ranked 209 of 365 in D1. Trending down strongly 🟢.
- 3Pt Pct (3 Point FGM/FGA (%)): Currently ranked 289 of 365 in D1. Trending down strongly 🔴.
Defensive Trends:
- Opp Shooting (Opp Shooting): Currently ranked 5 of 365 in D1. Trending down strongly 🟢.
- Opp Turnovers (Opp Turnovers): Currently ranked 15 of 365 in D1. Trending up strongly 🔴.
Merrimack
Record: 9-7 | Elo: 1551.8 (ranked 114 of 365) | Efficiency Margin: -8.06 (ranked 230 of 365)
Offensive Trends:
- FT Rate (FTA/FGA (%)): Currently ranked 125 of 365 in D1. Trending up strongly 🟢.
- FGA Per Poss (Field Goal Attempts Per Possession (%)): Currently ranked 300 of 365 in D1. Trending down strongly 🔴.
Defensive Trends:
- Opp Turnovers (Opp Turnovers): Currently ranked 84 of 365 in D1. Trending down strongly 🟢.
- Opp FGA Per Poss (Opp FG Attempts Per Possession (%)): Currently ranked 292 of 365 in D1. Trending up strongly 🔴.
Mt St Mary’s
Record: 5-11 | Elo: 1482.8 (ranked 214 of 365) | Efficiency Margin: -12.60 (ranked 265 of 365)
Offensive Trends:
- Shooting (Shooting): Currently ranked 214 of 365 in D1. Trending down strongly 🔴.
- Off Reb Pct (Offensive Rebounding): Currently ranked 203 of 365 in D1. Trending up strongly 🟢.
Defensive Trends:
- Opp Turnovers (Opp Turnovers): Currently ranked 292 of 365 in D1. Trending up strongly 🔴.
- Opp FT Rate (Opp FTA/FGA (%)): Currently ranked 308 of 365 in D1. Trending up strongly 🔴.
Niagara
Record: 4-10 | Elo: 1384.1 (ranked 319 of 365) | Efficiency Margin: -21.98 (ranked 334 of 365)
Offensive Trends:
- Turnovers (Turnovers): Currently ranked 147 of 365 in D1. Trending down strongly 🟢.
- Off Reb Pct (Offensive Rebounding): Currently ranked 357 of 365 in D1. Trending up strongly 🟢.
Defensive Trends:
- Def Reb Pct (Defensive Rebounding): Currently ranked 285 of 365 in D1. Trending down strongly 🔴.
- Opp 2Pt Rate (Opp 2 Point Attempts/FGA (%)): Currently ranked 111 of 365 in D1. Trending down strongly 🟢.
Quinnipiac
Record: 11-5 | Elo: 1582.8 (ranked 86 of 365) | Efficiency Margin: +2.63 (ranked 141 of 365)
Offensive Trends:
- Adj Off Eff (Adjusted Offensive Efficiency): Currently ranked 185 of 365 in D1. Trending up strongly 🟢.
- Balls Stolen Per Poss (Balls Stolen Per Possession): Currently ranked 124 of 365 in D1. Trending down strongly 🔴.
Defensive Trends:
- Def Reb Pct (Defensive Rebounding): Currently ranked 319 of 365 in D1. Trending down strongly 🔴.
- Opp FT Pct (Opp FTM/FTA (%)): Currently ranked 97 of 365 in D1. Trending up strongly 🔴.
Rider
Record: 1-12 | Elo: 1390.9 (ranked 310 of 365) | Efficiency Margin: -23.87 (ranked 341 of 365)
Offensive Trends:
- FT Rate (FTA/FGA (%)): Currently ranked 323 of 365 in D1. Trending down strongly 🔴.
- Adj Off Eff (Adjusted Offensive Efficiency): Currently ranked 346 of 365 in D1. Trending down strongly 🔴.
Defensive Trends:
- Def Reb Pct (Defensive Rebounding): Currently ranked 311 of 365 in D1. Trending down strongly 🔴.
- Opp 2Pt Rate (Opp 2 Point Attempts/FGA (%)): Currently ranked 240 of 365 in D1. Trending up strongly 🔴.
Sacred Heart
Record: 5-11 | Elo: 1424.6 (ranked 281 of 365) | Efficiency Margin: -11.85 (ranked 260 of 365)
Offensive Trends:
- FGM Per Poss (Field Goal Makes Per Possession (%)): Currently ranked 243 of 365 in D1. Trending down strongly 🔴.
- FGA Per Poss (Field Goal Attempts Per Possession (%)): Currently ranked 92 of 365 in D1. Trending down strongly 🔴.
Defensive Trends:
- Def Reb Pct (Defensive Rebounding): Currently ranked 233 of 365 in D1. Trending up strongly 🟢.
- Opp FT Rate (Opp FTA/FGA (%)): Currently ranked 131 of 365 in D1. Trending up strongly 🔴.
Siena
Record: 10-5 | Elo: 1489.1 (ranked 206 of 365) | Efficiency Margin: +4.30 (ranked 133 of 365)
Offensive Trends:
- FGA Per Poss (Field Goal Attempts Per Possession (%)): Currently ranked 115 of 365 in D1. Trending up strongly 🟢.
- 2PA Per Poss (2 Point Attempts Per Possession (%)): Currently ranked 14 of 365 in D1. Trending up strongly 🟢.
Defensive Trends:
- Opp Turnovers (Opp Turnovers): Currently ranked 65 of 365 in D1. Trending down strongly 🟢.
- Opp 2Pt Rate (Opp 2 Point Attempts/FGA (%)): Currently ranked 298 of 365 in D1. Trending down strongly 🟢.
St Peter’s
Record: 7-5 | Elo: 1487.6 (ranked 208 of 365) | Efficiency Margin: -7.38 (ranked 224 of 365)
Offensive Trends:
- Shooting (Shooting): Currently ranked 353 of 365 in D1. Trending up strongly 🟢.
- Turnovers (Turnovers): Currently ranked 86 of 365 in D1. Trending down strongly 🟢.
Defensive Trends:
- Opp Shooting (Opp Shooting): Currently ranked 128 of 365 in D1. Trending down strongly 🟢.
- Opp FGM Per Poss (Opp FG Makes Per Possession (%)): Currently ranked 41 of 365 in D1. Trending down strongly 🟢.

Figure 2: Offensive Four Factors comparison across MAAC teams. The radar chart shows each team’s shooting efficiency (eFG%), ball security (TOV%), offensive rebounding (OREB%), and free throw generation (FT Rate).

Figure 3: Defensive Four Factors comparison across MAAC teams. The radar chart shows each team’s opponent shooting defense (Opp eFG%), ball disruption (forcing TOV%), defensive rebounding (DREB%), and opponent free throw prevention (Opp FT Rate).

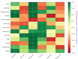
Figure 4: MACD trends heatmap showing which metrics are improving (green) or declining (red) for each team. Stronger colors indicate more pronounced trends.
Looking Ahead
As MAAC teams continue their season, the MACD trending indicators will help identify which teams are genuinely improving versus those riding unsustainable momentum. Check back next week for updated analysis.
Metrics Glossary
Four Factors (Dean Oliver’s framework for basketball success):
- eFG% (Effective Field Goal %): Field goal percentage adjusted for 3-pointers being worth more (FGM + 0.5×3PM) / FGA. Higher is better offensively, lower is better defensively.
- TOV% (Turnover Rate): Turnovers per 100 possessions. Lower is better offensively (taking care of the ball), higher is better defensively (forcing turnovers).
- OREB% / DREB% (Offensive/Defensive Rebound Rate): Percentage of available rebounds grabbed. Offensive rebounds create second-chance points; defensive rebounds end opponent possessions.
- FTR (Free Throw Rate): Free throws made per field goal attempt (FTM/FGA). Measures ability to get to the line AND convert. Higher is better offensively, lower is better defensively.
Other Metrics:
- Elo Rating: Chess-style rating system that updates based on game results and opponent strength. Higher Elo indicates stronger team.
- Efficiency Margin: Point differential per 100 possessions (Offensive Efficiency – Defensive Efficiency). Accounts for pace of play.
- MACD (Moving Average Convergence Divergence): Trend indicator comparing 12-game and 26-game exponential moving averages. Positive MACD = improving trend, Negative MACD = declining trend.
Analysis powered by HoopSci’s advanced metrics and MACD trending indicators.

