Mid-American Update: Week 9
January 5, 2026The Mid-American enters Week 9 with teams showing diverse trending patterns. This analysis examines each team’s performance trends using MACD (Moving Average Convergence Divergence) indicators to identify not just where teams stand, but where they’re headed.

Figure 1: Efficiency margin trends for Mid-American teams throughout the season. Teams trending upward show improving performance, while downward trends indicate struggles.
Conference Snapshot
- Week Dates: December 29 – January 04, 2026
- Trending Up (Efficiency): Akron, Ball State, Bowling Green, Buffalo, Miami (OH)
- Trending Down (Efficiency): Cent Michigan, E Michigan, Kent State, N Illinois, Toledo
Team-by-Team Analysis
Akron
Record: 10-4 | Elo: 1637.7 (ranked 43 of 365) | Efficiency Margin: +18.28 (ranked 44 of 365)
Offensive Trends:
- Off Reb Pct (Offensive Rebounding): Currently ranked 67 of 365 in D1. Trending up strongly 🟢.
- Adj Off Eff (Adjusted Offensive Efficiency): Currently ranked 9 of 365 in D1. Trending up strongly 🟢.
Defensive Trends:
- Opp FT Rate (Opp FTA/FGA (%)): Currently ranked 133 of 365 in D1. Trending up strongly 🔴.
- Opp 2Pt Rate (Opp 2 Point Attempts/FGA (%)): Currently ranked 46 of 365 in D1. Trending down strongly 🟢.
Ball State
Record: 4-10 | Elo: 1390.2 (ranked 311 of 365) | Efficiency Margin: -17.52 (ranked 305 of 365)
Offensive Trends:
- Turnovers (Turnovers): Currently ranked 125 of 365 in D1. Trending down strongly 🟢.
- Off Reb Pct (Offensive Rebounding): Currently ranked 290 of 365 in D1. Trending up strongly 🟢.
Defensive Trends:
- Opp Shooting (Opp Shooting): Currently ranked 288 of 365 in D1. Trending up strongly 🔴.
- Opp Turnovers (Opp Turnovers): Currently ranked 63 of 365 in D1. Trending up strongly 🔴.
Bowling Green
Record: 11-4 | Elo: 1492.4 (ranked 204 of 365) | Efficiency Margin: +8.64 (ranked 101 of 365)
Offensive Trends:
- Shooting (Shooting): Currently ranked 128 of 365 in D1. Trending up strongly 🟢.
- Turnovers (Turnovers): Currently ranked 165 of 365 in D1. Trending down strongly 🟢.
Defensive Trends:
- Opp Turnovers (Opp Turnovers): Currently ranked 8 of 365 in D1. Trending up strongly 🔴.
- Opp FT Rate (Opp FTA/FGA (%)): Currently ranked 328 of 365 in D1. Trending up strongly 🔴.
Buffalo
Record: 13-2 | Elo: 1470.5 (ranked 232 of 365) | Efficiency Margin: +8.55 (ranked 102 of 365)
Offensive Trends:
- Shooting (Shooting): Currently ranked 38 of 365 in D1. Trending up strongly 🟢.
- Off Reb Pct (Offensive Rebounding): Currently ranked 198 of 365 in D1. Trending up strongly 🟢.
Defensive Trends:
- Opp Shooting (Opp Shooting): Currently ranked 184 of 365 in D1. Trending down strongly 🟢.
- Opp FGM Per Poss (Opp FG Makes Per Possession (%)): Currently ranked 176 of 365 in D1. Trending down strongly 🟢.
Cent Michigan
Record: 4-11 | Elo: 1394.0 (ranked 309 of 365) | Efficiency Margin: -15.42 (ranked 286 of 365)
Offensive Trends:
- Off Reb Pct (Offensive Rebounding): Currently ranked 248 of 365 in D1. Trending down strongly 🔴.
- 3Pt Pct (3 Point FGM/FGA (%)): Currently ranked 359 of 365 in D1. Trending down strongly 🔴.
Defensive Trends:
- Opp Turnovers (Opp Turnovers): Currently ranked 314 of 365 in D1. Trending down strongly 🟢.
- Def Reb Pct (Defensive Rebounding): Currently ranked 315 of 365 in D1. Trending down strongly 🔴.
E Michigan
Record: 7-8 | Elo: 1454.9 (ranked 244 of 365) | Efficiency Margin: -0.14 (ranked 162 of 365)
Offensive Trends:
- Turnovers (Turnovers): Currently ranked 213 of 365 in D1. Trending down strongly 🟢.
- FT Rate (FTA/FGA (%)): Currently ranked 200 of 365 in D1. Trending up strongly 🟢.
Defensive Trends:
- Opp 2PM Per Poss (Opp 2 Point Makes Per Possession (%)): Currently ranked 294 of 365 in D1. Trending up strongly 🔴.
- Opp 3PM Per Poss (Opp 3 Point Makes Per Possession (%)): Currently ranked 101 of 365 in D1. Trending down strongly 🟢.
Kent State
Record: 11-3 | Elo: 1604.7 (ranked 69 of 365) | Efficiency Margin: -1.78 (ranked 174 of 365)
Offensive Trends:
- Turnovers (Turnovers): Currently ranked 315 of 365 in D1. Trending up strongly 🔴.
- FT Rate (FTA/FGA (%)): Currently ranked 13 of 365 in D1. Trending up strongly 🟢.
Defensive Trends:
- Opp Shooting (Opp Shooting): Currently ranked 280 of 365 in D1. Trending up strongly 🔴.
- Opp FGA Per Poss (Opp FG Attempts Per Possession (%)): Currently ranked 66 of 365 in D1. Trending down strongly 🟢.
Miami (OH)
Record: 15-0 | Elo: 1633.0 (ranked 46 of 365) | Efficiency Margin: +12.02 (ranked 76 of 365)
Offensive Trends:
- Shooting (Shooting): Currently ranked 10 of 365 in D1. Trending up strongly 🟢.
- Off Reb Pct (Offensive Rebounding): Currently ranked 318 of 365 in D1. Trending up strongly 🟢.
Defensive Trends:
- Opp 2Pt Pct (Opp 2 Point FGM/FGA (%)): Currently ranked 200 of 365 in D1. Trending up strongly 🔴.
- Opp 3Pt Pct (Opp 3 Point FGM/FGA (%)): Currently ranked 85 of 365 in D1. Trending down strongly 🟢.
N Illinois
Record: 5-9 | Elo: 1339.0 (ranked 354 of 365) | Efficiency Margin: -18.92 (ranked 317 of 365)
Offensive Trends:
- Turnovers (Turnovers): Currently ranked 354 of 365 in D1. Trending up strongly 🔴.
- Off Reb Pct (Offensive Rebounding): Currently ranked 88 of 365 in D1. Trending up strongly 🟢.
Defensive Trends:
- Def Reb Pct (Defensive Rebounding): Currently ranked 313 of 365 in D1. Trending down strongly 🔴.
- Opp 2PM Per Poss (Opp 2 Point Makes Per Possession (%)): Currently ranked 323 of 365 in D1. Trending up strongly 🔴.
Ohio
Record: 8-7 | Elo: 1506.2 (ranked 180 of 365) | Efficiency Margin: -6.91 (ranked 216 of 365)
Offensive Trends:
- Off Reb Pct (Offensive Rebounding): Currently ranked 232 of 365 in D1. Trending up strongly 🟢.
- 2Pt Pct (2 Point FGM/FGA (%)): Currently ranked 79 of 365 in D1. Trending up strongly 🟢.
Defensive Trends:
- Opp Shooting (Opp Shooting): Currently ranked 195 of 365 in D1. Trending down strongly 🟢.
- Opp FGM Per Poss (Opp FG Makes Per Possession (%)): Currently ranked 255 of 365 in D1. Trending down strongly 🟢.
Toledo
Record: 8-6 | Elo: 1535.2 (ranked 132 of 365) | Efficiency Margin: -2.37 (ranked 181 of 365)
Offensive Trends:
- Off Reb Pct (Offensive Rebounding): Currently ranked 130 of 365 in D1. Trending up strongly 🟢.
- 3Pt Pct (3 Point FGM/FGA (%)): Currently ranked 213 of 365 in D1. Trending down strongly 🔴.
Defensive Trends:
- Opp Assists per FGM (Opp Assists/FGM (%)): Currently ranked 194 of 365 in D1. Trending up strongly 🔴.
- Opp Shooting (Opp Shooting): Currently ranked 336 of 365 in D1. Trending down moderately 🟢.
UMass
Record: 9-6 | Elo: 1451.0 (ranked 249 of 365) | Efficiency Margin: +1.25 (ranked 148 of 365)
Offensive Trends:
- Shooting (Shooting): Currently ranked 150 of 365 in D1. Trending up strongly 🟢.
- Off Reb Pct (Offensive Rebounding): Currently ranked 122 of 365 in D1. Trending up strongly 🟢.
Defensive Trends:
- Def Reb Pct (Defensive Rebounding): Currently ranked 28 of 365 in D1. Trending up strongly 🟢.
- Opp FT Rate (Opp FTA/FGA (%)): Currently ranked 351 of 365 in D1. Trending up strongly 🔴.
W Michigan
Record: 6-8 | Elo: 1426.2 (ranked 279 of 365) | Efficiency Margin: -14.43 (ranked 282 of 365)
Offensive Trends:
- Off Reb Pct (Offensive Rebounding): Currently ranked 241 of 365 in D1. Trending up strongly 🟢.
- FTA Per Poss (Free Throw Attempts Per Possession (%)): Currently ranked 303 of 365 in D1. Trending down strongly 🔴.
Defensive Trends:
- Opp Turnovers (Opp Turnovers): Currently ranked 351 of 365 in D1. Trending down strongly 🟢.
- Def Reb Pct (Defensive Rebounding): Currently ranked 167 of 365 in D1. Trending down strongly 🔴.

Figure 2: Offensive Four Factors comparison across Mid-American teams. The radar chart shows each team’s shooting efficiency (eFG%), ball security (TOV%), offensive rebounding (OREB%), and free throw generation (FT Rate).

Figure 3: Defensive Four Factors comparison across Mid-American teams. The radar chart shows each team’s opponent shooting defense (Opp eFG%), ball disruption (forcing TOV%), defensive rebounding (DREB%), and opponent free throw prevention (Opp FT Rate).

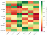
Figure 4: MACD trends heatmap showing which metrics are improving (green) or declining (red) for each team. Stronger colors indicate more pronounced trends.
Looking Ahead
As Mid-American teams continue their season, the MACD trending indicators will help identify which teams are genuinely improving versus those riding unsustainable momentum. Check back next week for updated analysis.
Metrics Glossary
Four Factors (Dean Oliver’s framework for basketball success):
- eFG% (Effective Field Goal %): Field goal percentage adjusted for 3-pointers being worth more (FGM + 0.5×3PM) / FGA. Higher is better offensively, lower is better defensively.
- TOV% (Turnover Rate): Turnovers per 100 possessions. Lower is better offensively (taking care of the ball), higher is better defensively (forcing turnovers).
- OREB% / DREB% (Offensive/Defensive Rebound Rate): Percentage of available rebounds grabbed. Offensive rebounds create second-chance points; defensive rebounds end opponent possessions.
- FTR (Free Throw Rate): Free throws made per field goal attempt (FTM/FGA). Measures ability to get to the line AND convert. Higher is better offensively, lower is better defensively.
Other Metrics:
- Elo Rating: Chess-style rating system that updates based on game results and opponent strength. Higher Elo indicates stronger team.
- Efficiency Margin: Point differential per 100 possessions (Offensive Efficiency – Defensive Efficiency). Accounts for pace of play.
- MACD (Moving Average Convergence Divergence): Trend indicator comparing 12-game and 26-game exponential moving averages. Positive MACD = improving trend, Negative MACD = declining trend.
Analysis powered by HoopSci’s advanced metrics and MACD trending indicators.

